前言
在深度学习的训练过程中,优化算法扮演着至关重要的角色。然而,在深入探讨各种优化算法之前,我们首先需要理解两个基础且核心的概念:梯度下降与反向传播算法。

梯度下降
梯度下降的目的,是为了改变神经网络每个神经元中权重(w_i)和偏置(b_i)的大小,从而达到让每次网络模型输出的预测值和真实值更加接近,梯度(gradient)则是损失函数对w_i或者b_i求偏导得到的。
BP算法
bp算法就是反向传播,他的作用是通过链式法则,从最后一层逐步向第一层(反向),对损失函数进行求偏导,计算每个神经元的梯度(传播)。然后这些梯度会作用于梯度下降。
优化算法
SGD(随机梯度下降)是梯度下降思想的一种具体实现,也是最基础的优化算法。
w新=w旧-学习率*梯度
由于这种算法会出现一些问题

所以优化算法是基于梯度下降思想的不同实现策略,旨在解决训练过程中的各种挑战,如果把梯度下降当作思想指导,那么优化算法则是基于这个思想做出的不同实现方式。
SGD

这个就是w新=w旧-学习率*梯度,也就是最基本的梯度下降。
对于改法的采样大小不一样,还有三种分类
BGD每轮以全部样本为一批次求梯度平均,稳定但慢,内存要求高;
SGD每轮以一个样本为一批次求梯度(也就是单个样本),快但震荡大;
mini-batch就是每轮以小部分样本为一批次求梯度平均,平衡;

Momentum算法
原理
Momentum(动量法)是基于指数移动加权平均实现的。
比如说问你明天的天气怎么样,你肯定回去想今天,昨天或者前几天的天气,而对于上个月的天气不会过多参考,这个思想就是把以往所有的输出都进行了参考,但是权重不一样(β小于1越乘越小),越往之前的权重越小,影响也就越小。
那么Momentum算法就长这样
s_t就是基于指数移动加权平均对梯度二次加工得到的新参数,然后基于梯度下降去更新w。
import torch
import torch.nn as nn
import torch.optim as optim
# 设定w
w=torch.tensor([2.1],requires_grad=True,dtype=torch.float)
# 定义损失函数
criterion = ((w ** 2) / 2.0)
# 优化器 lr是学习率
optimizer=optim.SGD(params=[w],lr=0.01,momentum=0.9) #momentum默认为0,0的话就是普通的SGD了
# 清空梯度,避免累加
optimizer.zero_grad()
# 反向传播,计算梯度
criterion.backward()
# 梯度下降 参数更新
optimizer.step()
print(w.grad)
#模拟第二次
criterion = ((w ** 2) / 2.0)
optimizer.zero_grad()
criterion.backward()
optimizer.step()
print(w.grad)
代码的简单模拟,w的参数在正常开发中是需要再模型中初始化的,这里直接设置了个标量用于模拟,优化器中momentum默认为0,为0就是普通的SGD了。
优化方面
由于Momentum加入了以往参数的影响,所以就避免了某个梯度为0时的鞍点。让参数可以继续更新。
由于 mini-batch 普通的梯度下降算法,每次选取少数的样本梯度确定前进方向,可能会出现震荡,使得训练时间变长。Momentum 使用移动加权平均,平滑了梯度的变化,使得前进方向更加平缓,有利于加快训练过程。
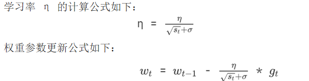
AdaGrad算法
AdaGrad采取的策略是对于不同梯度采用不同的学习率,通过动态调整学习率来更新参数。
![]()

对于累加平方梯度小的学习率就会调大学习率,梯度大的就会调小学习率(学习率_有效 = 学习率 / sqrt(累积平方梯度 + ε)),这样就会让不同参数有适用于自己的学习率,但是会发现AdaGrad的学习率整体会变小,这也就意味着,后期学习率会很低,这也就是其他优化算法解决的问题了。
import torch
import torch.nn as nn
import torch.optim as optim
# 设定w
w=torch.tensor([2.1],requires_grad=True,dtype=torch.float)
# 定义损失函数
criterion = ((w ** 2) / 2.0)
# 优化器
optimizer = optim.Adagrad(params=[w], lr=0.01)
# 清空梯度,避免累加
optimizer.zero_grad()
# 反向传播,计算梯度
criterion.backward()
# 梯度下降 参数更新
optimizer.step()
print(w.grad)
#模拟第二次
criterion = ((w ** 2) / 2.0)
optimizer.zero_grad()
criterion.backward()
optimizer.step()
print(w.grad)
代码简单实现
RMSprop算法
这个算法是对AdaGrad算法的优化,不同的是他采用的是指数加权平均去累加历史梯度。

这样就解决了AdaGrad无限累加梯度学习率消失的问题了
import torch
import torch.nn as nn
import torch.optim as optim
# 设定w
w=torch.tensor([1.0],requires_grad=True,dtype=torch.float)
# 定义损失函数
criterion = ((w ** 2) / 2.0)
# 优化器
optimizer = optim.RMSprop([w], lr=0.01,alpha=0.9) #alpha就是β
# 清空梯度,避免累加
optimizer.zero_grad()
# 反向传播,计算梯度
criterion.backward()
# 梯度下降 参数更新
optimizer.step()
print(w.grad)
#模拟第二次
criterion = ((w ** 2) / 2.0)
optimizer.zero_grad()
criterion.backward()
optimizer.step()
print(w.grad)
代码的简单实现
Adam算法
adam算法算是Momentum和RMSprop二者的结合

import torch
import torch.nn as nn
import torch.optim as optim
# 设定w
w=torch.tensor([1.0],requires_grad=True,dtype=torch.float)
# 定义损失函数
criterion = ((w ** 2) / 2.0)
# 优化器
optimizer = optim.Adam(params=[w], lr=0.01, betas=(0.9, 0.999)) # betas=(梯度用的 衰减系数, 学习率用的 衰减系数)
# 清空梯度,避免累加
optimizer.zero_grad()
# 反向传播,计算梯度
criterion.backward()
# 梯度下降 参数更新
optimizer.step()
print(w.grad)
#模拟第二次
criterion = ((w ** 2) / 2.0)
optimizer.zero_grad()
criterion.backward()
optimizer.step()
print(w.grad)
代码的简单实现
总结
| 优化算法 | 核心思想 | 优点 | 缺点 | 适用场景 |
|---|---|---|---|---|
| SGD | 基础梯度下降 | 简单直接 | 容易震荡 | 理论分析 |
| Momentum | 梯度方向惯性 | 减少震荡,加速收敛 | 超参数敏感 | 一般任务 |
| AdaGrad | 自适应学习率 | 适合稀疏数据 | 学习率消失 | NLP任务 |
| RMSprop | 改进的自适应 | 解决学习率消失 | - | RNN等 |
| Adam | 动量+自适应 | 通常效果最好 | 可能泛化稍差 | 大多数任务 |
2443

被折叠的 条评论
为什么被折叠?



