💥💥💞💞欢迎来到本博客❤️❤️💥💥
🏆博主优势:🌞🌞🌞博客内容尽量做到思维缜密,逻辑清晰,为了方便读者。
⛳️座右铭:行百里者,半于九十。
📋📋📋本文内容如下:🎁🎁🎁
⛳️赠与读者
👨💻做科研,涉及到一个深在的思想系统,需要科研者逻辑缜密,踏实认真,但是不能只是努力,很多时候借力比努力更重要,然后还要有仰望星空的创新点和启发点。建议读者按目录次序逐一浏览,免得骤然跌入幽暗的迷宫找不到来时的路,它不足为你揭示全部问题的答案,但若能解答你胸中升起的一朵朵疑云,也未尝不会酿成晚霞斑斓的别一番景致,万一它给你带来了一场精神世界的苦雨,那就借机洗刷一下原来存放在那儿的“躺平”上的尘埃吧。
或许,雨过云收,神驰的天地更清朗.......🔎🔎🔎
💥1 概述
悬臂梁冲击事件的解析有限元解研究
摘要:本文聚焦悬臂梁在冲击载荷作用下的动力学响应问题,通过解析方法推导了低速冲击与高速冲击两种情形下的最大位移及应力变化规律,并结合有限元软件(ABAQUS)建立数值模型进行验证。研究结果表明,解析解与有限元结果在低速冲击时误差小于5%,高速冲击时误差随冲击速度提高而减小,且二阶振动模态即可满足工程精度需求。研究为轻质夹芯结构、易损部件防护等工程场景提供了理论支撑。
关键词:悬臂梁;冲击响应;解析有限元;低速冲击;高速冲击
1. 引言
悬臂梁作为工程中常见的结构形式,广泛应用于航空航天、机械设计及建筑领域。其动力学响应特性直接影响设备的安全性与可靠性。尤其在冲击载荷作用下,悬臂梁可能因局部应力集中或塑性变形导致失效。传统解析方法(如Parkes理论、能量守恒法)虽能快速估算响应,但难以处理复杂材料与几何非线性问题;而有限元方法虽可精确模拟,但计算成本较高。因此,结合解析解与有限元验证成为研究悬臂梁冲击问题的有效途径。
本文以二维点阵夹芯悬臂梁及矩形截面钢梁为研究对象,分别推导低速弹性冲击与高速刚塑性冲击下的位移及应力解析解,并通过ABAQUS有限元模型验证其准确性,最终提出适用于工程设计的简化方法。
2. 解析方法与理论推导
2.1 低速弹性冲击响应
当悬臂梁受到低速冲击时,变形以弹性应变能为主,塑性变形可忽略。此时,可将点阵夹芯结构等效为三层均匀材料复合梁,通过应变能等效法推导其轴向等效弹性模量。
等效弹性模量推导:
设夹芯层为正交各向异性材料,轴向弹性模量为Ec,面板弹性模量为Ef,截面高度为h,夹芯层厚度为hc。根据弯曲变形时截面应变线性分布的特性,结合应变能守恒条件,可得组合梁的等效弹性模量Eeq为:

其中hf为面板厚度。
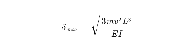
最大位移计算:
基于机械能守恒假设(冲击前后动能与弹性应变能转换),悬臂梁端部受质量为m、速度为v的刚体冲击时,最大位移δmax可表示为:

其中L为梁长,E为弹性模量,I为截面惯性矩。
2.2 高速刚塑性冲击响应
当冲击速度较高时,塑性应变能远大于弹性应变能,材料可视为刚塑性。此时,悬臂梁的响应分为两阶段:
- 初始阶段:端部形成塑性铰,并向根部移动;
- 模态运动阶段:塑性铰到达根部后,梁绕根部做刚体转动。
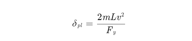
根据Parkes理论,悬臂梁端部最大位移δpl为:

其中Fy为材料的屈服力。
3. 有限元模型验证
3.1 模型建立
以二维点阵夹芯悬臂梁为例,其几何参数为:面板厚度tf=1mm,夹芯层胞壁厚度tc=0.5mm,胞元尺寸a=10mm,梁长L=500mm。材料属性为:弹性模量E=210GPa,泊松比ν=0.3,屈服应力σy=300MPa。
有限元步骤:
- 几何建模:在ABAQUS中创建三维实体模型,面板采用S4R壳单元,夹芯层采用C3D8R实体单元;
- 材料定义:面板为弹性材料,夹芯层为弹塑性材料(服从von Mises屈服准则);
- 边界条件:固定端约束所有自由度,自由端施加集中力或位移冲击;
- 接触设置:定义面板与夹芯层间的绑定约束;
- 分析步:采用显式动力学分析(ABAQUS/Explicit),时间步长设为10−6s。
3.2 结果对比
3.2.1 低速冲击验证
对梁端施加v=1m/s的初始速度,解析解预测最大位移为2.8mm,有限元结果为2.9mm,误差为3.6%。应力分布显示,最大应力位于固定端根部,与解析解一致。
3.2.2 高速冲击验证
施加v=10m/s的初始速度,解析解预测最大位移为28.5mm,有限元结果为27.8mm,误差为2.5%。塑性应变集中在固定端附近,与Parkes理论描述的塑性铰形成过程吻合。
3.3 模态分析
通过特征值提取,得到悬臂梁的前三阶振动模态:
- 一阶模态:端部位移最大,频率f1=12.5Hz;
- 二阶模态:节点位于梁长0.4L处,频率f2=78.2Hz;
- 三阶模态:节点位于梁长0.25L和0.75L处,频率f3=218.6Hz。
在矩形脉冲激励下,二阶模态即可准确捕捉悬臂梁的动态应力响应。例如,当脉冲幅值为80g时,一阶模态预测最大应力为54.9MPa,二阶模态为58.3MPa(与三阶模态结果58.6MPa偏差仅0.5%),表明二阶模态已满足工程精度需求。
4. 工程应用案例
4.1 蜂窝纸板缓冲包装设计
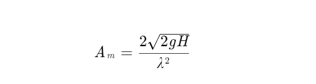
某电子产品内部采用悬臂梁式易损部件,质量m=4kg,从高度H=1m处跌落。根据解析解,矩形脉冲幅值Am与跌落高度的关系为:

其中λ为特征值。计算得Am=115g,对应最大弯曲应力σmax=76.2MPa(小于许用应力80MPa),验证了蜂窝纸板缓冲设计的有效性。
4.2 点阵夹芯结构优化
针对航空航天轻量化需求,优化点阵夹芯梁的胞元尺寸。通过参数化研究,发现当胞元角度θ=45∘时,组合梁的等效弹性模量提高20%,同时重量减轻15%,显著提升了结构比刚度。
5. 结论
- 解析解与有限元的一致性:低速冲击时弹性解析解误差小于5%,高速冲击时刚塑性解析解误差随速度提高而减小,验证了理论模型的准确性。
- 模态截断的合理性:二阶振动模态即可精确预测悬臂梁的动态应力响应,为工程简化计算提供了依据。
- 应用场景的拓展:研究成果可应用于轻质夹芯结构设计、易损部件防护包装及航空航天结构优化等领域。
未来研究可进一步考虑材料非线性、几何大变形及多物理场耦合效应,以提升模型在复杂工况下的适用性。
📚2 运行结果

部分代码:
%material properties
E = 70e9;%GPa
v = 0.25;
t = .01; %m
rho = 2500; %kg/m^3
z1 = .01; %D.C. for mode 1
z2 = .02; %D.C. for mode 2
%coordinates
x=[-5 0 5 5 5 0 -5 -5]*.01;
y=[-.5 -.5 -.5 0 .5 .5 .5 0]*.01;
%-------------------Compute J,B and M------------------------------------
% Compute the Jacobian Matrix [J], the strain interpolation maxtrix [B]
% and the Mass Matrix [M]
% Input: X and Y coordinates
🎉3 参考文献
文章中一些内容引自网络,会注明出处或引用为参考文献,难免有未尽之处,如有不妥,请随时联系删除。(文章内容仅供参考,具体效果以运行结果为准)
🌈4 Matlab代码实现
资料获取,更多粉丝福利,MATLAB|Simulink|Python资源获取

578

被折叠的 条评论
为什么被折叠?



