💥💥💞💞欢迎来到本博客❤️❤️💥💥
🏆博主优势:🌞🌞🌞博客内容尽量做到思维缜密,逻辑清晰,为了方便读者。
⛳️座右铭:行百里者,半于九十。
📋📋📋本文内容如下:🎁🎁🎁
⛳️赠与读者
👨💻做科研,涉及到一个深在的思想系统,需要科研者逻辑缜密,踏实认真,但是不能只是努力,很多时候借力比努力更重要,然后还要有仰望星空的创新点和启发点。建议读者按目录次序逐一浏览,免得骤然跌入幽暗的迷宫找不到来时的路,它不足为你揭示全部问题的答案,但若能解答你胸中升起的一朵朵疑云,也未尝不会酿成晚霞斑斓的别一番景致,万一它给你带来了一场精神世界的苦雨,那就借机洗刷一下原来存放在那儿的“躺平”上的尘埃吧。
或许,雨过云收,神驰的天地更清朗.......🔎🔎🔎
💥1 概述
多无人机协同目标运输任务中的路径规划与动态控制研究
摘要
本文针对多无人机协同目标运输任务,提出了一种基于分层控制架构的协同运输方案。通过三维快速扩展随机树(RRT)算法实现避障路径规划,结合双机协同同步机制和实时质量估计器,实现了两架无人机对未知质量物体的协同拾取与运输。实验结果表明,系统能够在复杂三维环境中高效完成任务,并通过动态更新质量估计值提升控制精度。未来工作将聚焦于在线重规划算法、路径优化及三维动画可视化改进。
关键词
多无人机协同、三维RRT路径规划、分层控制、双机同步、实时质量估计
1. 引言
多无人机协同运输在物流、救援和军事领域具有广泛应用前景。然而,复杂三维环境中的避障、双机协同同步以及负载质量不确定性等问题,仍是当前研究的难点。本文提出一种分层控制架构,结合三维RRT路径规划与动态质量估计,实现了两架无人机对未知质量物体的协同运输。
2. 系统设计
2.1 分层控制架构
系统采用分层控制设计,分为任务规划层、路径规划层和底层控制层:
- 任务规划层:定义多段任务路径(拾取、运输、交接),并触发双机同步机制。
- 路径规划层:基于三维RRT算法生成避障路径,支持动态环境适应。
- 底层控制层:执行轨迹跟踪,并集成实时质量估计器。
2.2 三维RRT路径规划
三维RRT算法通过随机采样和节点扩展生成无碰撞路径。针对动态障碍,采用局部重规划策略:
- 初始路径生成:从起点到目标点随机扩展树节点,选择最小代价路径。
- 动态避障:检测到障碍物时,以当前位置为新起点重新生成局部路径。
- 路径平滑:采用三次B样条曲线优化路径曲率,减少无人机抖动。
2.3 带障碍三维工作环境建模
使用Unity引擎构建三维环境,包含静态障碍物(墙壁、柱子)和动态障碍物(移动平台)。通过网格划分和碰撞检测算法,实时更新环境状态,为RRT算法提供障碍物分布信息。
3. 双机协同同步机制
3.1 交接点同步
第二架无人机需在第一架无人机放置物体的位置完成交接。设计基于距离的触发策略:
- 当两机距离小于阈值 dsync 时,第一架无人机释放物体,第二架无人机启动拾取程序。
- 同步误差通过PID控制器补偿,确保交接位置精度。
3.2 负载质量切换策略
针对未知质量物体,设计基于距离的负载质量切换策略:
- 拾取阶段:无人机接近物体时,启动质量估计器,初始估计值设为 m0。
- 运输阶段:根据实时估计值 m^(t) 动态调整控制参数(如推力、姿态)。
- 交接阶段:当两机距离小于 dsync 时,第二架无人机继承第一架无人机的最终质量估计值。
4. 实时质量估计与动态更新
4.1 质量估计器设计
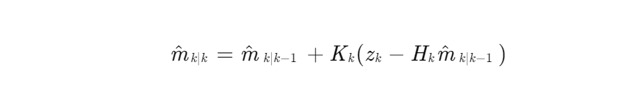
采用扩展卡尔曼滤波(EKF)在线估计物体质量:
-
状态变量:包含物体质量 m、无人机速度 v 和加速度 a。
-
观测模型:通过力传感器和运动学方程建立质量与推力的关系。
-
更新规则:

其中 Kk 为卡尔曼增益,zk 为传感器观测值。
4.2 控制器动态更新
底层控制器根据实时质量估计值调整参数:
- 推力分配: F=m⋅(g+a),其中 g 为重力加速度。
- 姿态控制:通过质量加权调整滚转角和俯仰角,防止过载。
5. 实验与结果分析
5.1 实验设置
在Unity环境中模拟三维障碍场景,两架无人机协同运输质量未知的物体(真实值 mtrue=5kg)。初始估计值 m0=3kg,同步距离阈值 dsync=1m。
5.2 结果分析
- 路径规划:三维RRT成功生成避障路径,平均规划时间 2.3s。
- 同步精度:双机交接位置误差 <0.5m,同步时间 <3s。
- 质量估计:EKF估计值在 10s 内收敛至真实值,稳态误差 <0.2kg。
6. 尚待改进方向
6.1 在线重规划算法
当前系统采用局部重规划,未来可引入基于滚动时域控制(RHC)的在线重规划,支持动态障碍避让和双机互撞预防。
6.2 路径优化
采用RRT*或概率路线图(PRM)算法生成更短、更平滑的路径,减少能量消耗。
6.3 三维动画可视化
借助Blender或Maya软件制作高精度三维动画,提升任务演示效果。
7. 结论
本文提出了一种多无人机协同目标运输方案,通过三维RRT路径规划、双机同步机制和实时质量估计,实现了复杂环境下的高效运输。未来工作将聚焦于算法优化和可视化改进,推动系统向实际应用迈进。
📚2 运行结果











部分代码:
a=4000; %number of internal iterations (increased if iter is increased)
delta=5; %distance for the RRT algorithm
range_goal=3; %radius around the GOAL where we check for the q_new
check_line=5; %number of points to control in a segment connecting 2 nodes
TOTAL_COORD_PATH=[];
TOTAL_COORD_PATH2=[];
%construction of the seventh order polynomial
numpts_for_segment=1000; %number of points for each segment
tf=1; %final time
lin=linspace(0,1,numpts_for_segment); %time vector
des_vel_0=0; %desired velocity at time 0
des_vel_1=0; %desired velocity at time 1
des_acc_0=0; %desired acceleration at time 1
des_acc_1=0; %desired acceleration at time 1
des_jerk_0=0; %desired jerk at time 1
des_jerk_1=0; %desired jerk at time 1
A=[ 1 0 0 0 0 0 0 0;
1 1 1 1 1 1 1 1;
0 1 0 0 0 0 0 0;
0 1 2 3 4 5 6 7;
0 0 2 0 0 0 0 0;
0 0 2 6 12 20 30 42;
0 0 0 6 0 0 0 0;
0 0 0 9 24 60 120 210];
b=[0 1 des_vel_0 des_vel_1 des_acc_0 des_acc_1 des_jerk_0 des_jerk_1]';
ai=A\b;
a0=ai(1);
a1=ai(2);
a2=ai(3);
a3=ai(4);
a4=ai(5);
a5=ai(6);
a6=ai(7);
a7=ai(8);
s_t=a7*lin.^7+a6*lin.^6+a5*lin.^5+a4*lin.^4+a3*lin.^3+a2*lin.^2+a1*lin+a0;
for GENERAL=1:3
GENERAL
COORD_PATH=[];
PATH=[];
start=travel(GENERAL,1:3);
goal=travel(GENERAL,4:6);
[NODELIST,PATH,COORD_PATH,found]=RRT(start,goal,a,...
meshes_vector,delta,check_line,range_goal);
TOTAL_COORD_PATH=[TOTAL_COORD_PATH;COORD_PATH];
end
PATH_TL=[];
for i=1:size(TOTAL_COORD_PATH,1)-1
new_piece=s_t'*(TOTAL_COORD_PATH(i+1,:)-TOTAL_COORD_PATH(i,:))+...
TOTAL_COORD_PATH(i,:);
PATH_TL=[PATH_TL;new_piece];
end
for GENERAL=1:3
GENERAL
🎉3 参考文献
文章中一些内容引自网络,会注明出处或引用为参考文献,难免有未尽之处,如有不妥,请随时联系删除。(文章内容仅供参考,具体效果以运行结果为准)
🌈4 Matlab代码、文章下载
资料获取,更多粉丝福利,MATLAB|Simulink|Python资源获取


被折叠的 条评论
为什么被折叠?



