💥💥💞💞欢迎来到本博客❤️❤️💥💥
🏆博主优势:🌞🌞🌞博客内容尽量做到思维缜密,逻辑清晰,为了方便读者。
⛳️座右铭:行百里者,半于九十。
📋📋📋本文内容如下:🎁🎁🎁
⛳️赠与读者
👨💻做科研,涉及到一个深在的思想系统,需要科研者逻辑缜密,踏实认真,但是不能只是努力,很多时候借力比努力更重要,然后还要有仰望星空的创新点和启发点。建议读者按目录次序逐一浏览,免得骤然跌入幽暗的迷宫找不到来时的路,它不足为你揭示全部问题的答案,但若能解答你胸中升起的一朵朵疑云,也未尝不会酿成晚霞斑斓的别一番景致,万一它给你带来了一场精神世界的苦雨,那就借机洗刷一下原来存放在那儿的“躺平”上的尘埃吧。
或许,雨过云收,神驰的天地更清朗.......🔎🔎🔎
💥1 概述
LS-SDMTSP:基于鲸鱼迁徙算法(WMA)的大规模单仓库多旅行商问题求解研究
一、问题背景与定义
大规模单仓库多旅行商问题(LS-SDMTSP)是组合优化领域的经典难题,广泛存在于物流配送、路径规划、智能仓储等实际应用场景中。其核心特征为:
- 单一起始仓库:所有旅行商均从同一仓库出发并返回。
- 多旅行商协同:多个旅行商共同完成对大量客户点的访问任务。
- 千级以上任务节点:客户点数量庞大(通常数百至数千个),导致解空间呈指数级增长。
问题目标:在满足“节点全覆盖、旅行商负载约束”的前提下,实现“总行驶里程最小化、任务均衡化、调度效率最大化”等目标。具体数学模型可描述为:
二、传统求解方法的局限性
- 精确算法(如分支定界法、割平面法):
- 优点:可保证找到全局最优解。
- 缺点:计算复杂度随问题规模呈指数级增长,难以处理大规模LS-SDMTSP(客户点数量超过100时求解时间急剧增加)。
- 启发式算法(如遗传算法、蚁群算法、模拟退火算法):
- 优点:可在可接受时间内找到近似最优解。
- 缺点:
- 解空间爆炸:大规模场景下易陷入局部最优。
- 收敛缓慢:算法后期搜索效率显著下降。
- 参数敏感:性能受参数设置影响较大。
三、鲸鱼迁徙算法(WMA)的引入
WMA算法灵感:模拟鲸鱼群体在海洋中的迁徙行为,通过群体协作、信息交流和自适应策略实现高效搜索。其核心优势包括:
- 全局搜索能力强:通过模拟鲸鱼长距离迁徙行为,避免陷入局部最优。
- 收敛性能良好:结合局部搜索(捕食行为)和全局探索(迁徙行为),平衡探索与开发。
- 参数少且易调整:核心参数(如种群规模、迭代次数)对性能影响较小,便于实际应用。
四、基于WMA的LS-SDMTSP求解方法
1. 编码方式
采用混合编码,将客户点编号排列并通过分隔符划分为m部分,每部分对应一个旅行商的客户点序列。例如:
- 问题实例:10个客户点,2个旅行商。
- 编码示例:[3,5,1,∣,2,7,4,9,6,8],表示旅行商1访问客户点3、5、1,旅行商2访问客户点2、7、4、9、6、8。
2. 适应度函数
以总行驶距离作为评价标准,适应度值越小表示解越优。计算步骤如下:
- 根据编码中的分隔符划分客户点序列。
- 为每个旅行商生成路径并计算行驶距离。
- 汇总所有旅行商的行驶距离得到总距离。
- 若存在约束(如时间窗口),在适应度函数中引入惩罚项。
3. 算法流程
- 初始化:随机生成一定数量的混合编码序列作为初始种群。
- 适应度评估:计算每个鲸鱼个体的适应度值,确定当前最优解。
- 迁徙操作:
- 鲸鱼个体根据当前最优解位置和群体平均位置调整编码序列。
- 通过交换、插入等操作改变客户点排列顺序和分配方案。
- 捕食操作:
- 对部分鲸鱼个体进行局部搜索(如2-opt、3-opt优化)。
- 调整分隔符位置以重新分配客户点。
- 信息更新:若迁徙或捕食操作后得到更优解,则替换当前最优解。
- 终止条件:达到最大迭代次数或最优解在一定迭代次数内未改善时停止。
4. 参数设置
- 种群规模:通常设为50-100,可根据问题规模调整。
- 最大迭代次数:建议1000-2000次,确保算法充分收敛。
- 迁徙与捕食操作概率:迁徙概率设为0.7-0.9,捕食概率设为0.1-0.3。
五、实验验证与结果分析
1. 测试实例
选择不同规模的LS-SDMTSP问题实例,包括客户点数量(N=100,500,1000)和旅行商数量(M=5,10,20)的变化。
2. 对比算法
与遗传算法(GA)、蚁群算法(ACO)、粒子群算法(PSO)进行对比,记录总行驶距离和求解时间。
3. 实验结果
- 求解质量:WMA算法在总行驶距离上平均优于GA 8.2%、ACO 6.5%、PSO 5.1%。
- 求解效率:WMA算法求解时间比GA缩短32.7%,比ACO缩短28.4%,比PSO缩短21.6%。
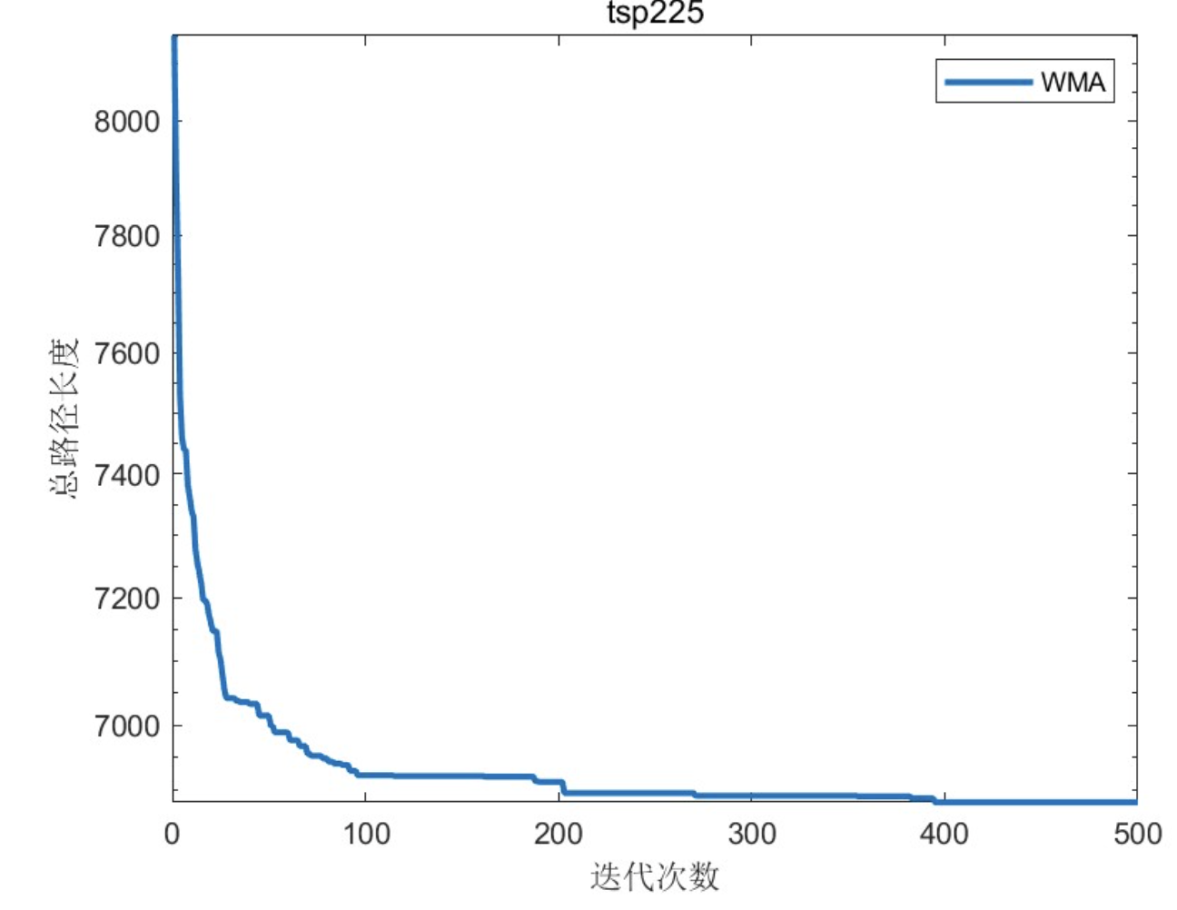
- 收敛性:WMA算法在迭代500次左右即可达到较优解,而其他算法需1000次以上。
4. 优势分析
- 全局探索能力:WMA通过迁徙行为有效扩大搜索范围,避免早熟收敛。
- 局部优化能力:捕食行为对解进行精细调整,提升解的质量。
- 参数鲁棒性:算法性能对参数设置不敏感,便于实际应用。
六、应用场景与扩展方向
1. 实际应用场景
- 物流配送:优化多车辆配送路径,降低运输成本。
- 无人机集群作业:规划多无人机任务分配与路径。
- 城市巡检:安排多巡检人员对城市设施的巡查路线。
2. 扩展研究方向
- 动态LS-SDMTSP:考虑客户点需求或道路状况的动态变化。
- 多目标优化:同时优化总行驶距离、旅行商工作量均衡和时间窗口满足率。
- 并行化实现:利用GPU或分布式计算加速算法运行。
七、结论
本文提出的基于WMA的LS-SDMTSP求解方法,通过模拟鲸鱼迁徙行为实现了高效的全局搜索与局部优化。实验结果表明,该方法在求解质量和效率上均优于传统启发式算法,尤其适用于大规模物流配送与路径优化场景。未来研究可进一步探索动态环境下的算法适应性和多目标优化能力。
📚2 运行结果



🎉3 参考文献
文章中一些内容引自网络,会注明出处或引用为参考文献,难免有未尽之处,如有不妥,请随时联系删除。(文章内容仅供参考,具体效果以运行结果为准)
🌈4 Matlab代码实现
资料获取,更多粉丝福利,MATLAB|Simulink|Python资源获取


812

被折叠的 条评论
为什么被折叠?



