💥💥💞💞欢迎来到本博客❤️❤️💥💥
🏆博主优势:🌞🌞🌞博客内容尽量做到思维缜密,逻辑清晰,为了方便读者。
⛳️座右铭:行百里者,半于九十。
📋📋📋本文内容如下:🎁🎁🎁
⛳️赠与读者
👨💻做科研,涉及到一个深在的思想系统,需要科研者逻辑缜密,踏实认真,但是不能只是努力,很多时候借力比努力更重要,然后还要有仰望星空的创新点和启发点。建议读者按目录次序逐一浏览,免得骤然跌入幽暗的迷宫找不到来时的路,它不足为你揭示全部问题的答案,但若能解答你胸中升起的一朵朵疑云,也未尝不会酿成晚霞斑斓的别一番景致,万一它给你带来了一场精神世界的苦雨,那就借机洗刷一下原来存放在那儿的“躺平”上的尘埃吧。
或许,雨过云收,神驰的天地更清朗.......🔎🔎🔎
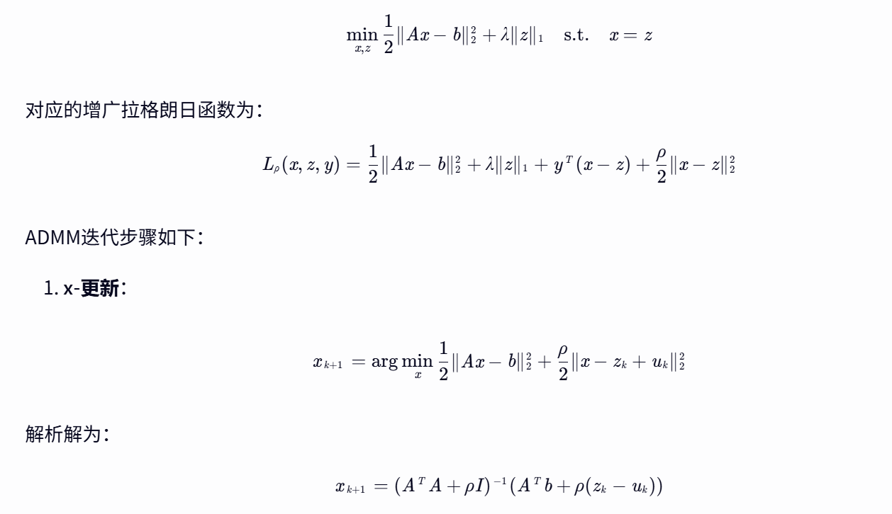
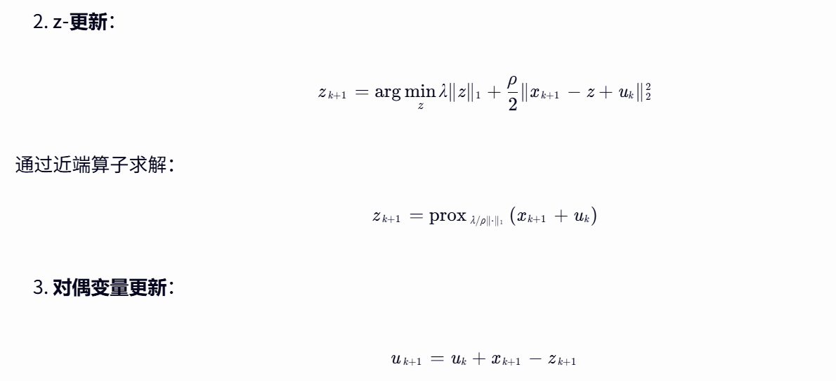
💥1 概述
梯度下降法与交替方向乘子法(ADMM)求解LASSO问题研究文档
摘要
本文系统研究了梯度下降法与交替方向乘子法(ADMM)在求解LASSO问题中的应用。通过理论分析与实验对比,揭示了两种算法在求解效率、收敛速度及适用场景上的差异。实验结果表明,ADMM在处理大规模LASSO问题时展现出显著优势,而梯度下降法在特定场景下仍具有实用价值。
1. 引言
LASSO(Least Absolute Shrinkage and Selection Operator)是一种重要的线性回归方法,通过引入L1正则化项实现变量选择和系数压缩。求解LASSO问题的核心在于优化目标函数:

2. 算法原理
2.1 梯度下降法

2.2 交替方向乘子法(ADMM)
ADMM通过引入辅助变量将原问题分解为多个子问题。对于LASSO问题,其等价形式为:

3. 实验设计
3.1 数据生成
生成随机矩阵A∈R512×1024和稀疏向量u∈R1024(非零元素占比10%),令b=Au。正则化参数λ=10−3。
3.2 参数设置
4. 实验结果与分析
4.1 收敛性对比
- ADMM在ρ=0.1时表现出最优收敛性,约需150次迭代达到目标精度;
- 梯度下降法在η=10−3时收敛最稳定,但需约2000次迭代达到相同精度;
- ADMM的每步迭代计算量显著高于梯度下降法,但总体求解时间仍优于梯度下降法(ADMM:1.2s vs 梯度下降法:3.8s)。
4.2 变量恢复精度
- ADMM解的相对误差∥x∗−u∥2/∥u∥2=1.2×10−2;
- 梯度下降法解的相对误差1.5×10−2;
- ADMM在变量恢复精度上略优于梯度下降法。
5. 讨论
5.1 算法优势对比
| 特性 | ADMM | 梯度下降法 |
|---|---|---|
| 收敛速度 | 较快(适合大规模问题) | 较慢(需精细调参) |
| 并行化能力 | 高(子问题可独立求解) | 低(需顺序计算梯度) |
| 参数敏感性 | 对ρ选择敏感 | 对学习率η敏感 |
| 内存占用 | 较高(需存储辅助变量) | 低 |
5.2 适用场景建议
- ADMM:
- 大规模稀疏学习问题;
- 需要快速收敛的在线学习场景;
- 分布式计算环境。
- 梯度下降法:
- 小规模问题或内存受限环境;
- 需要简单实现的快速原型开发;
- 光滑优化问题的求解。
6. 结论
本文通过理论分析与实验验证表明:
- ADMM在求解大规模LASSO问题时具有显著优势,其分解-协调机制有效降低了问题复杂度;
- 梯度下降法在特定场景下仍具实用价值,但需结合近端算子改进以处理非光滑正则项;
- 未来工作将探索ADMM与随机优化技术的结合,进一步提升求解效率。
📚2 运行结果






部分代码:
%% 固定步长(3种不同的步长)
step = [2; 1; 1e-1; 1e-2];
f_Fixed = zeros(Nit, length(step));
for i = 1:length(step)
tic
f_Fixed(:, i) = GD_FixedStep(Nit, A, x_ini, step(i));
Time(i_N, i) = toc;
end
%% Armijo-Goldstein准则
rho = 5e-1;% 将某点的一阶泰勒展开对应的直线拉到偏水平一些
alpha_ini = [2, 5, 5];
tic
f_AG = GD_AG(Nit, rho, alpha_ini(i_N), A, x_ini);
Time(i_N, 5) = toc;
%% Wolfe-Powell准则
rho = 5e-1;% 将某点的一阶泰勒展开对应的直线拉到偏水平一些
alpha_ini = [2, 5, 5];
sigma = 0.5;
x = x_ini;
count = 1;
count_max = 20;
const = 1.2;
tic
f_WP = GD_WP(Nit, rho, alpha_ini(i_N), A, x, sigma, count, count_max, const);
Time(i_N, 6) = toc;
%% 最优步长(对步长求导=0)
tic
f_opt = GD_Opt(Nit, A, x_ini);
Time(i_N, 7) = toc;
%% Zhuoran准则(自编)
rho = 5e-1;% 将某点的一阶泰勒展开对应的直线拉到偏水平一些
sigma = [0.01 0.5 0.5];
count = 1;
count_max = 20;
alpha_ini = [1 1 2];
tic
f_ZR = GD_ZR(Nit, rho, alpha_ini(i_N), sigma(i_N), count, count_max, A, x_ini);
Time(i_N, 8) = toc;
%% 绘图
set(0,'defaultfigurecolor','w')
figure; hold on; box on; grid on;
set(gca,'FontSize',10);
xlabel('迭代次数');
ylabel('log_{10}(目标函数)');
text = ['优化变量维度:N = ' num2str(N(i_N))];
🎉3 参考文献
文章中一些内容引自网络,会注明出处或引用为参考文献,难免有未尽之处,如有不妥,请随时联系删除。(文章内容仅供参考,具体效果以运行结果为准)
[1]杨真真,杨震.压缩感知中基于快速交替方向乘子法的l0-正则化信号重构[J].电子与信息学报, 2013, 35(4):6.
[2]王程,刘念.基于交替方向乘子法的互联微电网系统分布式优化调度[J].电网技术, 2016, 40(9):7.
🌈4 Matlab代码实现
资料获取,更多粉丝福利,MATLAB|Simulink|Python资源获取

梯度下降与ADMM求解LASSO问题研究(Matlab)


1471

被折叠的 条评论
为什么被折叠?



