💥💥💞💞欢迎来到本博客❤️❤️💥💥
🏆博主优势:🌞🌞🌞博客内容尽量做到思维缜密,逻辑清晰,为了方便读者。
⛳️座右铭:行百里者,半于九十。
📋📋📋本文目录如下:🎁🎁🎁
目录
⛳️赠与读者
👨💻做科研,涉及到一个深在的思想系统,需要科研者逻辑缜密,踏实认真,但是不能只是努力,很多时候借力比努力更重要,然后还要有仰望星空的创新点和启发点。当哲学课上老师问你什么是科学,什么是电的时候,不要觉得这些问题搞笑。哲学是科学之母,哲学就是追究终极问题,寻找那些不言自明只有小孩子会问的但是你却回答不出来的问题。建议读者按目录次序逐一浏览,免得骤然跌入幽暗的迷宫找不到来时的路,它不足为你揭示全部问题的答案,但若能让人胸中升起一朵朵疑云,也未尝不会酿成晚霞斑斓的别一番景致,万一它居然给你带来了一场精神世界的苦雨,那就借机洗刷一下原来存放在那儿的“躺平”上的尘埃吧。
或许,雨过云收,神驰的天地更清朗.......🔎🔎🔎
💥1 概述
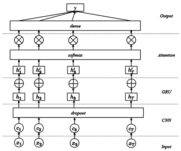
一、CPO-CNN-GRU-Attention模型核心原理
1. 模块协同架构
- CNN层:从多变量输入(风速、风向、温度等)中提取空间局部特征。通过卷积核滑动捕捉气象要素间的非线性关系(如风速突变与功率波动的关联)。

- GRU层:解决传统RNN的梯度消失问题,通过更新门(保留长期记忆)和重置门(过滤无关历史信息)建模时间序列依赖。比LSTM参数更少,适合高频风电数据。

- 注意力层:对GRU输出加权,公式为:
Attention=Softmax(F(Q,K))⋅V
其中Q/K/VQ/K/V分别表示查询向量、键向量和值向量,突出关键时间步(如风速骤升时段)的影响。
- CPO优化器:基于豪猪优化算法(Crested Porcupine Optimizer)动态调整CNN-GRU超参数(卷积核数量、GRU隐藏单元数等),避免人工调参的局部最优问题。
2. 多变量处理机制
- 并行特征融合:CNN与GRU以并联结构处理静态数据(风机参数)和动态数据(时序气象),再通过注意力层融合时空特征。
- 变量关系建模:引入全局token(清华大学SCFormer方法),通过图学习技术编码多变量间的物理关系(如风速-功率传递函数)。
清华大学多变量时序预测新工作,token表征高效建模图结构关系~机器学习 人工智能 清华大学

二、风电功率预测的现存挑战与模型针对性改进
1. 领域核心痛点
- 数据复杂性:低纬度高海拔地形导致风速无规律波动,NWP数据更新延迟(1-3小时)使超短期预测精度下降。
- 模型泛化不足:传统物理模型依赖精确风机参数,统计方法(如ARIMA)难以处理非线性;功率曲线误差在极端天气下放大。
- 预测形式单一:现有研究多聚焦点预测,缺乏概率预测与区间预测,异常天气(如台风)预测几乎空白。
2. CPO-CNN-GRU-Attention的创新应对
| 痛点 | 模型解决方案 |
|---|---|
| 多源数据异构性 | CNN提取空间特征 + GRU建模时序依赖 → 融合NWP与历史功率数据 |
| 极端天气预测失效 | 注意力机制加权异常时段特征 + CPO优化抗干扰参数 |
| 概率预测缺失 | 输出层设计为分位数回归模块,生成功率置信区间 |
三、多变量输入与超前多步预测关键技术
1. 多变量输入处理方法
- 特征重构策略:
- 采用时间滑动窗口分割多变量序列,窗口大小SS=历史步长,输入TT步预测PP步。

- Granger因果分析筛选关键变量(如剔除与功率无关的温度波动),降低冗余。
- 采用时间滑动窗口分割多变量序列,窗口大小SS=历史步长,输入TT步预测PP步。
- 数据增强技术:
- 对地形复杂区域,采用CEEMDAN分解(Complete Ensemble Empirical Mode Decomposition)将原始信号分解为固有模态,降低噪声。
2. 超前多步预测实现路径
| 策略 | 原理 | 风电场景适用性 |
|---|---|---|
| 直接多步法 | 独立训练hh个模型,分别预测第t+1到t+h步功率值 | 精度高,但计算成本大(适合短期预测) |
| 递归法 | 用tt步预测值作为t+1步输入,迭代至hh步 | 误差累积严重(山地风电慎用) |
| 混合法 | 先递归预测前kk步,再以kk步输出为起点直接预测剩余h−k步 | 平衡效率与精度(推荐超短期预测) |
- CPO-CNN-GRU-Attention优选方案:
采用混合法,由注意力机制动态选择递归与直接预测的切换点,公式:
SwitchPoint=argmax(AttentionWeights)SwitchPoint=argmax(AttentionWeights)
当注意力权重突变时(如风速爬坡事件),切换至直接预测减少累积误差。
四、创新点设计与领域突破方向
1. 核心创新点提炼
- 结构创新:首次将CPO优化器与CNN-GRU-Attention结合,解决风电场景的参数敏感性问题。
- 预测形式拓展:在输出层集成分位数损失函数,同步输出点预测与90%置信区间(如[0.05, 0.95]分位数)。
- 极端天气适应:设计气象异常检测模块,当输入数据标准差>阈值时,激活GRU遗忘门重置机制。
2. 待突破的研究方向
- 实时NWP修正:嵌入气象相似性分类器,根据历史相似天气模式在线校正NWP输入。
- 多尺度分解协作:参考AMDCnet模型,对输入进行多尺度分解(小时级/分钟级),分别提取特征后融合。
- 迁移学习应用:预训练模型于平坦地形风场,通过领域自适应迁移至复杂地形,解决数据稀缺问题。
五、实验设计与性能验证建议
-
数据准备
- 使用欧洲海上风电数据集(包含台风事件)与中国山地风场数据(云南高原场景)。
- 变量需包含:风速、风向、气压、温度、历史功率、风机转速(静态参数)。
-
对比模型设置
模型类型 代表方法 对比目的 统计模型 ARIMA-SVM混合 验证非线性建模优势 单一深度学习模型 LSTM-Attention 验证GRU效率与CPO优化效果 组合模型 CEEMDAN-CNN-BiLSTM 验证多变量并行结构有效性 -
评价指标
- 点预测:RMSE、MAE(衡量绝对误差)
- 区间预测:PICP(区间覆盖率)、PINAW(区间宽度)
- 极端事件:爬坡事件预测准确率(定义功率变化率>10%/min为爬坡)
结论
CPO-CNN-GRU-Attention模型通过多模块协同(空间-时序-优化-聚焦)解决了风电预测中的多变量耦合与长时程依赖问题。针对超前多步预测,推荐采用注意力门控的混合预测策略,在精度与效率间取得平衡。未来创新可聚焦概率预测框架构建与地形自适应迁移学习,推动风电功率预测从单点确定性向鲁棒概率型跨越。
📚2 运行结果





部分代码:
str={'真实值','CNN-GRU-Attention','优化后CNN-GRU-Attention'};
str1=str(2:end);
str2={'MAE','MAPE','MSE','RMSE','R2'};
data_out=array2table(Test_all);
data_out.Properties.VariableNames=str2;
data_out.Properties.RowNames=str1;
disp(data_out)
%% 柱状图 MAE MAPE RMSE 柱状图适合量纲差别不大的
color= [0.66669 0.1206 0.108
0.1339 0.7882 0.8588
0.1525 0.6645 0.1290
0.8549 0.9373 0.8275
0.1551 0.2176 0.8627
0.7843 0.1412 0.1373
0.2000 0.9213 0.8176
0.5569 0.8118 0.7882
1.0000 0.5333 0.5176];
figure('Units', 'pixels', ...
'Position', [300 300 660 375]);
plot_data_t=Test_all(:,[1,2,4])';
b=bar(plot_data_t,0.8);
hold on
for i = 1 : size(plot_data_t,2)
x_data(:, i) = b(i).XEndPoints';
end
for i =1:size(plot_data_t,2)
b(i).FaceColor = color(i,:);
b(i).EdgeColor=[0.6353 0.6314 0.6431];
b(i).LineWidth=1.2;
end
for i = 1 : size(plot_data_t,1)-1
xilnk=(x_data(i, end)+ x_data(i+1, 1))/2;
b1=xline(xilnk,'--','LineWidth',1.2);
hold on
end
ax=gca;
legend(b,str1,'Location','best')
ax.XTickLabels ={'MAE', 'MAPE', 'RMSE'};
set(gca,"FontSize",12,"LineWidth",2)
box off
legend box off
%% 二维图
figure
plot_data_t1=Test_all(:,[1,5])';
MarkerType={'s','o','pentagram','^','v'};
for i = 1 : size(plot_data_t1,2)
scatter(plot_data_t1(1,i),plot_data_t1(2,i),120,MarkerType{i},"filled")
hold on
end
set(gca,"FontSize",12,"LineWidth",2)
box off
legend box off
legend(str1,'Location','best')
xlabel('MAE')
ylabel('R2')
grid on
%% 雷达图
figure('Units', 'pixels', ...
'Position', [150 150 520 500]);
Test_all1=Test_all./sum(Test_all); %把各个指标归一化到一个量纲
Test_all1(:,end)=1-Test_all(:,end);
RC=radarChart(Test_all1);
str3={'A-MAE','A-MAPE','A-MSE','A-RMSE','1-R2'};
RC.PropName=str3;
RC.ClassName=str1;
RC=RC.draw();
RC.legend();
colorList=[12 13 167;
66 124 231;
136 12 20;
231 188 198;
253 207 158;
239 164 132;
182 118 108]./255;
for n=1:RC.ClassNum
RC.setPatchN(n,'Color',colorList(n,:),'MarkerFaceColor',colorList(n,:))
end
%%
figure('Units', 'pixels', ...
'Position', [150 150 920 600]);
t = tiledlayout('flow','TileSpacing','compact');
for i=1:length(Test_all(:,1))
nexttile
th1 = linspace(2*pi/length(Test_all(:,1))/2,2*pi-2*pi/length(Test_all(:,1))/2,length(Test_all(:,1)));
r1 = Test_all(:,i)';
[u1,v1] = pol2cart(th1,r1);
M=compass(u1,v1);
for j=1:length(Test_all(:,1))
M(j).LineWidth = 2;
M(j).Color = colorList(j,:);
end
title(str2{i})
set(gca,"FontSize",10,"LineWidth",1)
end
legend(M,str1,"FontSize",10,"LineWidth",1,'Box','off','Location','southoutside')
🎉3 参考文献
文章中一些内容引自网络,会注明出处或引用为参考文献,难免有未尽之处,如有不妥,请随时联系删除。
[1]李婷婷.城市公共自行车租赁点选址规划研究[D].北京交通大学,2010.DOI:10.7666/d.y1961114.
[2]陆朕.公共自行车租赁点车辆数的预测方法研究[D].南京师范大学,2015.DOI:10.7666/d.Y2857359.
[3]韩军红,魏越,侯礼兴.公共自行车租赁点规模优化[J].山西建筑, 2023, 49(22):57-61.
🌈4 Matlab代码、数据
资料获取,更多粉丝福利,MATLAB|Simulink|Python资源获取

&spm=1001.2101.3001.5002&articleId=149196034&d=1&t=3&u=9f2e0d1b46194bd0858d741f1d09ca54)
957

被折叠的 条评论
为什么被折叠?



