约数个数
对于一个正整数N,他的约数个数d(N) = N所有的质因数的指数+1后的乘积
例:求12的约数个数
解
先对12分解质因数,得到2 2 3,即
2
2
+
3
1
2^2+3^1
22+31。
2的指数个数为2,3的指数个数为2,根据公式可得
d
(
12
)
=
(
2
+
1
)
∗
(
1
+
1
)
=
6
d(12) = (2+1)*(1+1) = 6
d(12)=(2+1)∗(1+1)=6
代码实现
#include<bits/stdc++.h>
using namespace std;
const int N=1005;
unordered_map<int, int> primes;//哈希表,元素排列无序
void find(int n)
{
int cnt=0;
for(int i=2;i<=n/i;i++)
{
while(n%i==0)
{
n /=i;
primes[i]++;
}
}
if(n>1)
{
primes[n]++;
}
return;
}
int main()
{
int n;
cin>>n;
find(n);
int res = 1;
for(auto t:primes) res=(res*(t.second+1));//公式
cout<<res;
return 0;
}
约数之和
首先,对于一个大于1的正整数N,我们可以把它表示成:
N = p 1 a 1 p_1^{a1} p1a1 * p 2 a 2 p_2^{a2} p2a2 * p 3 a 3 p_3^{a3} p3a3 * … * p k a k p_k^{ak} pkak。
再根据上面所学的,
N的约数个数一共有 d ( n ) = ( p 1 + 1 ) ( p 2 + 1 ) ( p 3 + 1 ) . . . ( p k + 1 ) d(n) = (p_1+1) (p_2+1) (p_3+1)...(p_k+1) d(n)=(p1+1)(p2+1)(p3+1)...(pk+1)个。
实际上,N的约数个数是由
p
1
a
1
p_1^{a1}
p1a1 ,
p
2
a
2
p_2^{a2}
p2a2 ,
p
3
a
3
p_3^{a3}
p3a3…每一个数的约数挑一个相乘得来,一共有
(
p
1
+
1
)
(
p
2
+
1
)
(
p
3
+
1
)
.
.
.
(
p
k
+
1
)
(p_1+1) (p_2+1) (p_3+1)...(p_k+1)
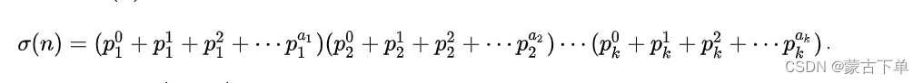
(p1+1)(p2+1)(p3+1)...(pk+1)种挑法,所以约数和即:

也可以表示为

举例:求360的约数和。
解
将360分解质因数可得
360 = 2 2 2 3 3 5
由约数和定理可知,360所有正约数的和为
(
2
0
+
2
1
+
2
2
+
2
3
)
×
(
3
0
+
3
1
+
3
2
)
×
(
5
0
+
5
1
)
(2^0 + 2^1+2^2+2^3)×(3^0+3^1+3^2)×(5^0+5^1)
(20+21+22+23)×(30+31+32)×(50+51)
=
(
1
+
2
+
4
+
8
)
(
1
+
3
+
9
)
(
1
+
5
)
=
15
×
13
×
6
=
1170
=(1+2+4+8)(1+3+9)(1+5)=15×13×6=1170
=(1+2+4+8)(1+3+9)(1+5)=15×13×6=1170
代码实现
#include<bits/stdc++.h>
using namespace std;
unordered_map<int,int> primes;
void find_2(int x){
for(int i = 2;i <= x/i;i++){
if(x % i==0){
while(x % i == 0){
primes[i]++;
x /= i;
}
}
}
if(x > 1) primes[x]++;
}
int main()
{
int n;
cin>>n;
find_2(n);
int res = 1;
for(auto t:primes){
int a = t.first,b = t.second;//first是底数,second是指数
int p = 1;
while(b--)
{
p = (p*a+1);//代入公式,求每一个质因子的约数和
}
res *= p;//将每一个质因子的求和再乘起来
}
cout<<res;
}
文章介绍了如何计算一个正整数的约数个数和约数和,通过分解质因数和公式(d(N)=(p_1+1)(p_2+1)...(p_k+1))进行计算,并给出了C++代码示例。
1869

被折叠的 条评论
为什么被折叠?



