Datawhale分享
编辑:泽南,来源:机器之心
「不幸的是,一切都结束了。」
迄今为止,有关韩国室温超导的复现研究很多呈现的一个关键指标是:观察到常温常压条件下材料在永磁体磁场中有半悬浮现象。
虽然观察表明部分样品存在室温迈斯纳效应,但这种悬浮只能被认为是悬浮起来「一半」,因为部分样品仍然与支撑表面接触。事实上,超导体的两个最重要的特性,即迈斯纳效应和零电阻,尚未在已知的定量测量中得到充分证明和再现,这增加了验证 LK-99 是否为真正的室温超导体的不确定性。
今天,北京大学量子材料科学中心(ICQM)郭凯臻、贾爽等人提交到预印版平台 arXiv 的一篇论文认为,其团队尝试合成的 LK-99 样品不具有超导性。
长期跟进室温超导的 Twitter 博主 Alex Kaplan 今天上午关注到了这篇论文,认为此次室温超导的结果基本已经落定,「根据北京大学的最新研究,LK-99 很可能只是一种铁磁材料,这解释了它的悬浮特性。」

同时,美国马里兰大学凝聚态理论中心 CMTC 也表态,「怀着极大的悲伤,我们现在相信游戏已经结束了。LK-99 不是超导体,即使在室温(或非常低的温度)下也是如此。它是一种电阻非常高的劣质材料。与事实抗争是没有意义的。数据说话。」

接下来,让我们看下论文都说了什么。

论文:《 Ferromagnetic half levitation of LK-99-like synthetic samples 》
论文链接:https://arxiv.org/abs/2308.03110
论文详情
在这项工作中,研究人员成功合成了类 LK-99 多晶样品,并在一些小片中观察到磁半悬浮现象,使用粉末 X 射线衍射和能量色散 X 射线光谱,验证了样品成分与韩国团队工作一致。国内团队人员对生长的样品进行了磁化强度和电阻测量,并在无假设的情况下分析了它们的特性。
北大研究人员表示,尽管一些磁化测量表明样品在小磁场中可能具有抗磁性,但这种抗磁性响应随着磁场的增加(达到对抗重力的悬浮程度)而增加尚未得到证实。应该指出的是,抗磁性在许多绝缘体中普遍存在,并不等同于迈斯纳效应。在一些铁磁系统中,当外部磁场的方向与材料内部磁化方向相反时,在很小的磁场下就可能检测到看似反磁的信号。
研究人员在对不同成品进行的磁化测量表明软铁磁成分无处不在,其特征是场相关磁化中存在小的磁滞回线。具体来说,在 100 K 下大块上测量的场相关磁化强度曲线(不显示半悬浮)可以被视为铁磁和线性抗磁行为的叠加。
然而,在确实显示出半悬浮状态的小而薄的样品中,虽然仍能观察到 10 Oe 下的小抗磁信号(与其他工作的报道一致,但抗磁响应很快就被更高强度下的铁磁响应所淹没。基于这一观察和对与小样品相关的形状各向异性的分析,研究人员将半悬浮归因于样品对强外部场的铁磁响应。
此外,正如之前其他研究所报告的一样,北大试图复现的样品电阻没有显示出任何超导特征,相反能观察到与其他报告一致的半导体性状。
鉴于对铁磁成分和半导体特性的观察,该研究认为 LK-99 中室温超导性的存在仍有待严格验证。作者特别指出,对各向异性形状样品的半悬浮观察应该通过对铁磁性的仔细审查来解释。除了追求超导性之外,这种 Pb-Cu-P-O 体系中的室温铁磁性性质可能值得物理学家进一步了解。

图 1:样品的 X 射线衍射图。可见峰值位置与韩国研究几乎相同。

图片 S1:北大制成的 Pb10−xCux (PO4) 6O 生长产物。
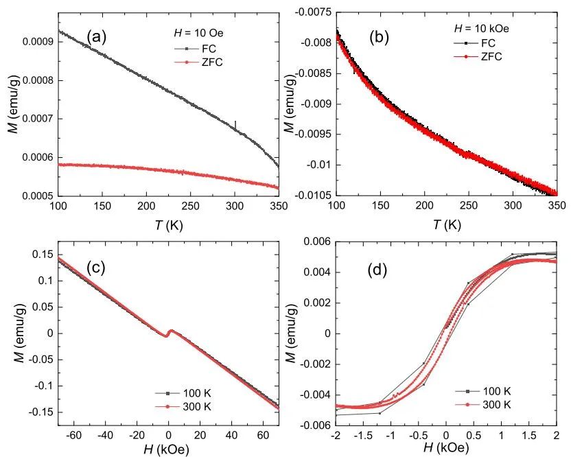
研究测量了非半悬浮样品 S1 的磁化强度,当外部磁场为 10 Oe 时磁化强度与温度(M-T)的 FC 和 ZFC 曲线均显示出正磁矩和明显的分支。当磁场增加到 10 kOe 时,FC 和 ZFC M-T 曲线保持正值且重合,如图 2b 所示。
FC 和 ZFC 曲线中的分支形态通常出现在铁磁材料、自旋玻璃材料和超导体中,自旋玻璃态在较低温度下更为常见。

图 2:样品 S1 的磁化强度。
这一观察推动我们承认铁磁成分的存在。为了进一步探索这一点,研究人员在 100 K 和 300 K 下进行了场相关磁化强度测量,如图 2c 所示。外部磁场从 0 增加到 70 kOe,随后从 70 kOe 减少到 - 70 kOe,最后再次从 - 70 kOe 增加到 70 kOe。在两种温度下都观察到了类似的行为。当磁场从 0 增加到 1500 Oe 时,磁化强度随着磁场的增加而增加,然后磁化强度随着磁场的增加几乎线性减小,甚至变成负值。
这种现象表明样品 S1 中大量存在绝缘成分。仔细检查低场数据后,出现了明显的磁滞回线(图 2d),进一步证实了铁磁相的存在。
通过尝试简单地从测量数据中减去 M-H 的线性抗磁部分,以 100 K 为例(图 3)。减去抗磁背景后,剩余部分表现出高于 20 kOe 的典型饱和度。将一些抗磁性材料与样品 S1 进行比较。减去的抗磁化率(∼ -2 × 10^−6 emu/g)大于铋(∼ -1.6 × 10^−6 emu/g)和水(∼ -10^−7 emu/g),但小于铋 热解碳(∼ -4 × 10^−6 emu/g),表明这部分不是来自超导。

图 3:样品 S1 在 100 K 时的场相关磁化强度(黑色曲线)。
研究人员在测量颗粒样品 S2 的磁化强度时发现,当 Nd2Fe14B 磁铁接近时,颗粒样品 S2 开始摇动(见图 S3)。由于该样品太小,无法准确称量,因此将图 4 中的纵轴单位直接表示为「emu」。M-T 曲线的 FC 和 ZFC 测量结果与样品 S1 表现出相似的正值和相似的分支。这表明 S1 和 S2 具有相似的磁性成分。然而,许多其他样品对 Nd2Fe14B 磁体没有反应,有些甚至比 S2 还要小。作者认为这可能与样品的不均匀性有关,当样品具有合适的尺寸、成分或形状时,就有可能达到半悬浮的状态。

图 S3:实时演示样品 S2 对称重纸下方永磁体的响应。

图 4:样品 S2 的磁化强度。
最后作者测量了样品 S3(可半悬浮)的磁化强度,该样品在 Nd2Fe14B 磁体上呈现半磁悬浮状态。首先在 10 Oe 下对 100 至 300 K 的 M-T 曲线进行 FC 测量。FC 曲线(黑色曲线)的磁化强度在图 5(a)中显示出明显的负值,在 300 K 以下的温度下几乎没有变化,这其他尝试复现工作获得的结果相同。

图 5:样品 S3 的磁化强度。
然而,在 M-T 的 ZFC 测量之前,研究人员在 100 K 下进行了场相关磁化强度的测量,见图 5 (b)。当磁场从 0 增加到 1500 Oe 时,磁化强度从负增加到正。图 5(c)中的黑色曲线是该过程的放大图。与样品 S1 和 S2 不同,当磁场增加到 1500 Oe 以上时,磁化强度并没有随着磁场的增加而减少,而是以较低的斜率增加。
研究人员的结论是:半悬浮是由磁矩引起的,而不是由施加在样品上的净升力引起的。样品的抗磁响应在此现象中不起重要作用。不过作者也指出,由于该研究中的解释要求样品的形状是各向异性的,这意味着如果形状各向同性的样品仍然可以半悬浮,那么抗磁性的作用仍然可能更重要。
事实上该研究中的样品 S2 就属于这种类型,但如图 S3 所示:磁铁的运动只能轻微晃动样品,而不是使其悬浮。最后作者注意到,制程样品中的铁磁性强度似乎足以使样品半悬浮,但不足以使样品被同一磁铁从上方拾起以克服其自身重量。
人们认为,今天在 arXiv 上出现的论文似乎已让物理学界对 LK-99 造假的「无罪推定」越来越难了。
除了北大的研究以外,还有南洋理工、印度国家物理实验室(NPL)也提交了论文,均表示未发现制备的 LK-99 具有超导特性。

论文地址:https://arxiv.org/pdf/2308.03544.pdf
也许,这波室温超导可以告一段落了。真正的室温超导革命还要再等等。

室温超导猜想破灭:LK-99确认非超导体
北京大学的研究团队在预印版平台上发布论文,指出他们合成的LK-99样品不具备超导性,之前的室温半悬浮现象可能是铁磁性质导致。其他机构的研究也证实了这一结论,室温超导的争议可能暂告一段落。
273

被折叠的 条评论
为什么被折叠?



