题目描述:
树可以看成是一个连通且 无环 的 无向 图。
给定往一棵 n 个节点 (节点值 1~n) 的树中添加一条边后的图。添加的边的两个顶点包含在 1 到 n 中间,且这条附加的边不属于树中已存在的边。图的信息记录于长度为 n 的二维数组 edges ,edges[i] = [ai, bi] 表示图中在 ai 和 bi 之间存在一条边。
请找出一条可以删去的边,删除后可使得剩余部分是一个有着 n 个节点的树。如果有多个答案,则返回数组 edges 中最后出现的那个。
示例 1:

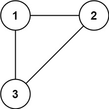
输入: edges = [[1,2], [1,3], [2,3]] 输出: [2,3]
示例 2:

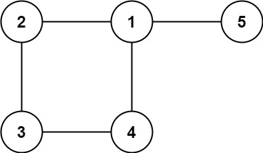
输入: edges = [[1,2], [2,3], [3,4], [1,4], [1,5]] 输出: [1,4]
解题思路
- 我们的目标是寻找冗余连接。冗余连接是指在无向图中,添加一条边后使得图形成环的那条边。
- 该算法使用并查集(Union-Find)数据结构来检测环的存在。
t_Union函数用于合并两个节点。首先找到两个节点的根节点。如果两个节点的根节点相同,说明它们已经在同一个集合中,形成了环,因此返回false并将这条边加入ans。如果两个节点的根节点不同,根据树的深度决定如何合并:- 将深度较小的树合并到深度较大的树上。
- 如果深度相同,则任意选择一个作为新的根,并增加其深度。
代码实现
class Solution {
public:
vector<int> ans;
vector<int> findRedundantConnection(vector<vector<int>>& edges) {
int n = edges.size();
vector<int> parents(n + 1, -1);//存储每个节点的父节点
vector<int> heigh(n + 1, 0);//存储根节点的深度
for(auto edge : edges){//遍历所有的边
if(!t_Union(edge[0], edge[1], parents, heigh)) break;
}
return ans;
}
int find_Root(int root, vector<int>& parents){//查找到根节点(祖先)
while(parents[root] != -1){
root = parents[root];
}
return root;
}
bool t_Union(int x, int y, vector<int>& parents, vector<int>& heigh){//合并
int x_root = find_Root(x, parents);
int y_root = find_Root(y, parents);
if(x_root == y_root){//如果根节点相同,则存在环,合并失败
ans.push_back(x);
ans.push_back(y);
return false;
}else if(heigh[x_root] > heigh[y_root]){//将深度小的合并到深度大的根节点上
parents[y_root] = x_root;
}else if(heigh[x_root] < heigh[y_root]){
parents[x_root] = y_root;
}else{
parents[y_root] = x_root;
heigh[x_root]++;
}
return true;
}
};

被折叠的 条评论
为什么被折叠?



