协方差(covariance)
用于衡量两个随机变量的联合变化程度;
如果两个随机变量不是独立变量,两个变量会存在一定程度的关联性,


如下图所示,如果协方差大于零,说明两个随机变量是正相关,如果协方差小于零,说明两个随机变量是负相关。如果两个随机变量没有强的相关性,那协方差接近零。如果两个随机变量存在很强的相关性,协方差也有可能接近零。

如下图所示,如果随机变量X和Y协方差很大,那这两个随机变量一定会存在很强的相关性吗?

计算协方差的另一种形式


如果两个变量是独立的,那协方差为零,如果协方差为零,不代表两个随机变量是独立的。
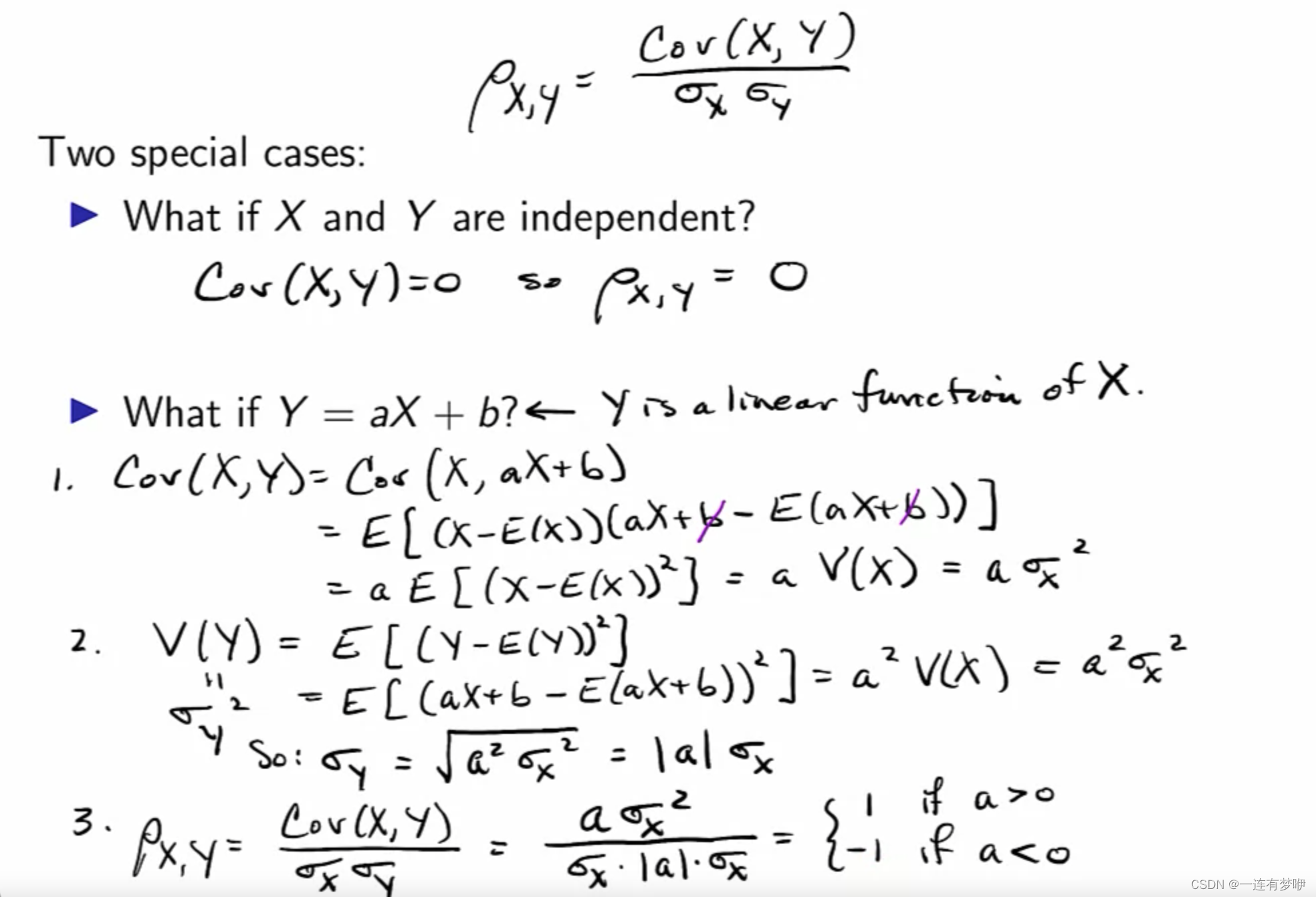
相关系数(correlation coefficient)
定义如下:

如下图所示,如果Y是X的线性方程,当a小于零时,Y和X的协方差小于零,则相关系数为-1,说明Y和X具有很强的负相关关系;当a大于零时,Y和X的协方差大于零,则相关系数为1,说明Y和X具有很强的正相关关系。

如下面的例子,协方差很大,然而相关系数为0.3,这说明了随机变量X和Y存在一定的线性关系,但是这种线性关系并不强。

协方差衡量两个随机变量的联合变化,正值表示正相关,负值表示负相关,零仅意味着不独立。相关系数是协方差标准化后的结果,其范围在-1到1之间,表示变量间线性关系的强度。即使协方差大,相关系数也可能仅为0.3,表明线性关系不强。
1万+

被折叠的 条评论
为什么被折叠?



