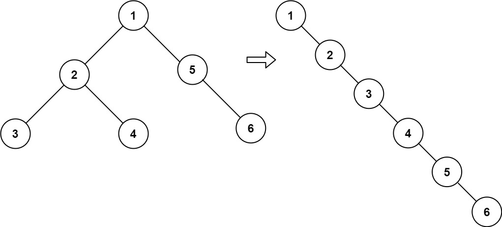
头插法
头插法:把root插在head前面,即root.right=head
https://leetcode.cn/problems/flatten-binary-tree-to-linked-list/solutions/2992172/liang-chong-fang-fa-tou-cha-fa-fen-zhi-p-h9bg/?envType=study-plan-v2&envId=top-100-liked


Python
重点好法:
# Definition for a binary tree node.
# class TreeNode:
# def __init__(self, val=0, left=None, right=None):
# self.val = val
# self.left = left
# self.right = right
class Solution:
def __init__(self):
self.head = None
def flatten(self, root: Optional[TreeNode]) -> None:
"""
Do not return anything, modify root in-place instead.
"""
if not root:
return None
self.flatten(root.right)
self.flatten(root.left)
root.left = None
root.right = self.head # 头插法点睛之笔!
self.head = root
法1:规律+迭代解法
class Solution {
public void flatten(TreeNode root) {
TreeNode cur = root;
while (cur != null) {
if (cur.left == null) { // 左子树为null直接下一个
cur = cur.right;
} else {
TreeNode pre = cur.left; // 记录左子树的最右边节点
while (pre.right != null) {
pre = pre.right;
}
pre.right = cur.right; // key1: 根节点的左子树放到<左子树-最右结点>的右子树
cur.right = cur.left; // key2: 根结点的左子树变为右子树
cur.left = null; // 根结点左子树置null
cur = cur.right; // 下一个
}
}
}
}
法2:先序遍历
思路不够好
// 递归版遍历
class Solution {
public void flatten(TreeNode root) {
List<TreeNode> nodeList = new ArrayList<>();
preorder(root, nodeList);
for (int i = 0; i < nodeList.size(); ++i) {
TreeNode curNode = nodeList.get(i);
curNode.left = null;
if (i == nodeList.size() - 1) {
curNode.right = null;
} else {
curNode.right = nodeList.get(i + 1);
}
}
}
public void preorder(TreeNode root, List<TreeNode> res) {
if (root == null) {
return;
}
res.add(root);
preorder(root.left, res);
preorder(root.right, res);
}
}
// 迭代版遍历
class Solution {
public void flatten(TreeNode root) {
List<TreeNode> nodeList = new ArrayList<>();
Stack<TreeNode> stack = new Stack<>();
while (root != null || !stack.isEmpty()) {
if (root != null) {
nodeList.add(root);
stack.push(root);
root = root.left;
} else {
TreeNode tmp = stack.pop();
root = tmp.right;
}
}
for (int i = 0; i < nodeList.size(); ++i) {
TreeNode curNode = nodeList.get(i);
curNode.left = null;
if (i == nodeList.size() - 1) {
curNode.right = null;
} else {
curNode.right = nodeList.get(i + 1);
}
}
}
}

245

被折叠的 条评论
为什么被折叠?



