【精选优质专栏推荐】
- 《AI 技术前沿》 —— 紧跟 AI 最新趋势与应用
- 《网络安全新手快速入门(附漏洞挖掘案例)》 —— 零基础安全入门必看
- 《BurpSuite 入门教程(附实战图文)》 —— 渗透测试必备工具详解
- 《网安渗透工具使用教程(全)》 —— 一站式工具手册
- 《CTF 新手入门实战教程》 —— 从题目讲解到实战技巧
- 《前后端项目开发(新手必知必会)》 —— 实战驱动快速上手
每个专栏均配有案例与图文讲解,循序渐进,适合新手与进阶学习者,欢迎订阅。
文章目录
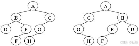
树的同构
给定两棵树 T1 和 T2。如果T1可以通过若干次左右孩子互换就变成T2,则我们称两棵树是“同构”的。
例如图1给出的两棵树就是同构的,因为我们把其中一棵树的结点A、B、G的左右孩子互换后,就得到另外一棵树。而图2就不是同构的。

现给定两棵树,请你判断它们是否是同构的。
输入格式:
输入给出2棵二叉树的信息。对于每棵树,首先在一行中给出一个非负整数 n (≤10),即该树的结点数(此时假设结点从 0 到 n−1 编号);随后 n 行,第 i 行对应编号第 i 个结点,给出该结点中存储的 1 个英文大写字母、其左孩子结点的编号、右孩子结点的编号。如果孩子结点为空,则在相应位置上给出 “-”。给出的数据间用一个空格分隔。注意:题目保证每个结点中存储的字母是不同的。
输出格式:
如果两棵树是同构的,输出“Yes”,否则输出“No”。
输入样例1(对应图1):
8
A 1 2
B 3 4
C 5 -
D - -
E 6 -
G 7 -
F - -
H - -
8
G - 4
B 7 6
F - -
A 5 1
H - -
C 0 -
D - -
E 2 -
输出样例1:
Yes
输入样例2(对应图2):
8
B 5 7
F - -
A 0 3
C 6 -
H - -
D - -
G 4 -
E 1 -
8
D 6 -
B 5 -
E - -
H - -
C 0 2
G - 3
F - -
A 1 4
输出样例2:
No
#include <iostream>
#include<malloc.h>
#define null -1
using namespace std;
struct TreeNode{
char data;
int left;
int right;
}T1[10],T2[10];
int create(struct TreeNode T[]){
int n;
int root=0;
char left,right;
cin>>n;
if(!n)
return null;
for(int i=0;i<n;i++)
{
cin>>T[i].data>>left>>right;
if(left=='-')
T[i].left=null;
else{
T[i].left=left-'0';
root-=T[i].left;
}
if(right=='-')
T[i].right=null;
else{
T[i].right=right-'0';
root-=T[i].right;
}
root+=i;
}
return root;
}
bool judge(int R1,int R2){
if(R1==null && R2== null)
return true;
if(R1==null && R2!=null || R1!=null && R2==null)
return false;
if(T1[R1].data!=T2[R2].data)
return false;
if((T1[R1].left != null && T2[R2].left != null )&&(T1[T1[R1].left].data==T2[T2[R2].left].data))
return judge(T1[R1].left,T2[R2].left)&& judge(T1[R1].right,T2[R2].right);
else
return judge(T1[R1].right,T2[R2].left)&& judge(T1[R1].left,T2[R2].right);
}
int main(){
int R1,R2;
R1 = create(T1);
R2 = create(T2);
if(judge(R1,R2))
cout<<"Yes";
else
cout<<"No" ;
return 0;
}
646

被折叠的 条评论
为什么被折叠?



