框架中的基本概念
tensor张量
是多维数组,用阶表示张量的维数。
0阶张量叫做标量,表示的是一个单独的数,如 123;
1阶张量叫作向量,表示的是一个一维数组如[1,2,3];
2阶张量叫作矩阵,表示的是一个二维数组,它可以有 i 行 j列个元素,每个元素用它的行号和列号共同索引到,如在[[1,2,3],[4,5,6],[7,8,9]]中,2 的索引即为第 0 行第 1 列;
注:张量的阶数与方括号的数量相同,0 个方括号即为 0 阶张量,1 个方括号即为 1 阶张量。
故张量可以表示
0 阶到 n 阶的数组。也可通过 reshape 的方式得到更高维度数组,举例如下:
c = np.arange(24).reshape(2,4,3) #两行 四列 三数
print( c )

创建张量的方式01
利用 tf.constant(张量内容,dtype=数据类型(可选)),第一个参数表示张量内容,
第二个参数表示张量的数据类型。举例如下:
import tensorflow as tf
a=tf.constant([1,5],dtype=tf.int64)
print(a)
print(a.dtype)
print(a.shape)
输出结果为:
<tf.Tensor([1,5], shape=(2 , ) , dtype=int64)>
<dtype: ‘int64’>
(2,)
即会输出张量内容、形状与数据类型,shape 中数字为 2,表示一维张量里有 2个元素。
注:去掉 dtype 项,不同电脑环境不同导致默认值不同,可能导致后续程序 bug
创建张量的方式02
很多时候数据是由 numpy 格式给出的,此时可以通过如下函数将 numpy 格式化为 Tensor 格式:tf. convert_to_tensor(数据名,dtype=数据类型(可选))。
举例如下:
import tensorflow as tf
import numpy as np
a = np.arange(0, 5)
b = tf.convert_to_tensor( a, dtype=tf.int64 )
print(a)
print(b)
输出结果为:
[0 1 2 3 4]
tf.Tensor([0 1 2 3 4], shape=( 5 , ), dtype=int64)
创建张量的方式03
可采用不同函数创建不同值的张量。如用 tf. zeros(维度)创建全为 0 的张量,
tf.ones(维度)创建全为 1 的张量,tf. fill(维度,指定值)创建全为指定值的张量。
其中维度参数部分,如一维则直接写个数,二维用[行,列]表示,多维用[n,m,j…]表示。
a = tf.zeros([2, 3])
b = tf.ones(4)
c = tf.fill([2, 2], 9)
print(a)
print(b)
print(c)
输出结果:
tf.Tensor([[0. 0. 0.] [0. 0. 0.]], shape=(2, 3), dtype=float32)
tf.Tensor([1. 1. 1. 1.], shape=(4, ), dtype=float32)
tf.Tensor([[9 9] [9 9]], shape=(2, 2), dtype=int32)
可见,tf.zeros([2,3])创建了一个二维张量,第一个维度有两个元素,第二个维度有三个元素,元素的内容全是 0;tf.ones(4)创建了一个一维张量,里边有 4 个元素,内容全是 1;tf.fill([2,2],9)创建了一个两行两列的二维张量,第一个维度有两个元素,第二个维度也有两个元素,内容都是 9。
创建张量的方式04
可采用不同函数创建符合不同分布的张量。
如用 tf. random.normal (维度,mean=均值,stddev=标准差)生成正态分布的随机数,默认均值为 0,标准差为 1;
用 tf. random.truncated_normal (维度,mean=均值,stddev=标准差)生成截断式正态分布的随机数,能使生成的这些随机数更集中一些,如果随机生成数据的取值在 (µ - 2σ,u + 2σ ) 之外则重新进行生成,保证了生成值在均值附近;
利用 tf. random. uniform(维度,minval=最小值,maxval=最大值),生成指定维度的均匀分布随机数,用 minval 给定随机数的最小值,用 maxval 给定随机数的最大值,最小、最大值是前闭后开区间。举例如下
d = tf.random.normal ([2, 2], mean=0.5, stddev=1)
print(d)
e = tf.random.truncated_normal ([2, 2], mean=0.5, stddev=1)
print(e)
f = tf.random.uniform([2, 2], minval=0, maxval=1)
print(f)
输出结果:
tf.Tensor([[0.7925745 0.643315 ]
[1.4752257 0.2533372]], shape=(2, 2), dtype=float32)
tf.Tensor([[ 1.3688478 1.0125661 ]
[ 0.17475659 -0.02224463]], shape=(2, 2), dtype=float32)
tf.Tensor([[0.28219545 0.15581512]
[0.77972126 0.47817433]], shape=(2, 2), dtype=float32)
数据类型
TensorFlow 中数据类型包括
32 位整型(tf.int32)、32 位浮点(tf.float32)、64 位浮点(tf.float64)、布尔型(tf.bool)、字符串型(tf.string)
常用函数
- 强制转换,最小值,最大值
利用 tf.cast (张量名,dtype=数据类型)强制将 Tensor 转换为该数据类型;
利用tf.reduce_min (张量名)计算张量维度上元素的最小值;
利用tf.reduce_max (张量名)计算张量维度上元素的最大值。举例如下:
x1 = tf.constant ([1., 2., 3.], dtype=tf.float64)
print(x1)
x2 = tf.cast (x1, tf.int32)
print(x2)
print (tf.reduce_min(x2), tf.reduce_max(x2))
输出结果:
tf.Tensor([1. 2. 3.], shape=(3,), dtype=float64)
tf.Tensor([1 2 3], shape=(3,), dtype=int32)
tf.Tensor(1, shape=(), dtype=int32)
tf.Tensor(3, shape=(), dtype=intt32)
- 均值,和(可指定维度)
可用 tf.reduce_mean (张量名,axis=操作轴)计算张量沿着指定维度的平均
值;
可用 f.reduce_sum (张量名,axis=操作轴)计算张量沿着指定维度的和,如不
指定 axis,则表示对所有元素进行操作。其中维度可按图 3.1 理解。

由上图可知对于一个二维张量,如果 axis=0 表示纵向操作(沿经度方向) ,axis=1 表示横向操作(沿纬度方向)。举例如下:
x=tf.constant( [ [ 1, 2,3],[2, 2, 3] ] )
print(x)
print(tf.reduce_mean( x ))
print(tf.reduce_sum( x, axis=1 ))
输出结果:
tf.Tensor([[1 2 3] [2 2 3]], shape=(2, 3), dtype=int32)
tf.Tensor(2, shape=(), dtype=int32) (对所有元素求均值)
tf.Tensor([6 7], shape=(2,), dtype=int32) (横向求和,两行分别为 6 和 7)
- 返回张量沿指定维度最大值的索引
可利用 tf.argmax (张量名,axis=操作轴)返回张量沿指定维度最大值的索引
import numpy as np
test = np.array([[1, 2, 3], [2, 3, 4], [5, 4, 3], [8, 7, 2]])
print(test)
print( tf.argmax (test, axis=0)) # 返回每一列(经度)最大值的索引
print( tf.argmax (test, axis=1)) # 返回每一行(纬度)最大值的索引
输出结果:
[[1 2 3] [2 3 4] [5 4 3] [8 7 2]]
tf.Tensor([3 3 1], shape=(3,), dtype=int64)
tf.Tensor([2 2 0 0], shape=(4,), dtype=int64)
- 定义训练变量
可利用 tf.Variable(initial_value,trainable,validate_shape,name)函数可以将
变量标记为“可训练”的,被它标记了的变量,会在反向传播中记录自己的梯度
信息。其中 initial_value 默认为 None,可以搭配 tensorflow 随机生成函数来初始化参数;trainable 默认为 True,表示可以后期被算法优化的,如果不想该变量被优化,即改为 False;validate_shape 默认为 True,形状不接受更改,如果需要更改,validate_shape=False;name 默认为 None,给变量确定名称
w = tf.Variable(tf.random.normal([2, 2], mean=0, stddev=1)),表示首先随机
生成正态分布随机数,再给生成的随机数标记为可训练,这样在反向传播中就可
以通过梯度下降更新参数 w了。
- 张量的四则运算
利用 TensorFlow 中函数对张量进行四则运算。
利用 tf.add (张量 1,张量2)实现两个张量的对应元素相加;
利用 tf.subtract (张量 1,张量 2)实现两个张量的对应元素相减;
利用 tf.multiply (张量 1,张量 2)实现两个张量的对应元素相乘;
利用 tf.divide (张量 1,张量 2)实现两个张量的对应元素相除。
注:只有维度相同的张量才可以做四则运算,举例如下
a = tf.ones([1, 3])
b = tf.fill([1, 3], 3.)
print(a)
print(b)
print(tf.add(a,b))
print(tf.subtract(a,b))
print(tf.multiply(a,b))
print(tf.divide(b,a))
输出结果:
tf.Tensor([[1. 1. 1.]], shape=(1, 3), dtype=float32)
tf.Tensor([[3. 3. 3.]], shape=(1, 3), dtype=float32
tf.Tensor([[4. 4. 4.]], shape=(1, 3), dtype=float32)
tf.Tensor([[-2. -2. -2.]], shape=(1, 3), dtype=float32)
tf.Tensor([[3. 3. 3.]], shape=(1, 3), dtype=float32)
tf.Tensor([[3. 3. 3.]], shape=(1, 3), dtype=float32)
- 张量的幂次运算
利用 TensorFlow 中函数对张量进行幂次运算。
可用 tf.square (张量名)计算某个张量的平方;利用 tf.pow (张量名,n 次方数)计算某个张量的 n 次方;
利用 tf.sqrt (张量名)计算某个张量的开方。举例如下:
a = tf.fill([1, 2], 3.)
print(a)
print(tf.pow(a, 3))
print(tf.square(a))
print(tf.sqrt(a))
输出结果:
tf.Tensor([[3. 3.]], shape=(1, 2), dtype=float32)
tf.Tensor([[27. 27.]], shape=(1, 2), dtype=float32)
tf.Tensor([[9. 9.]], shape=(1, 2), dtype=float32)
tf.Tensor([[1.7320508 1.7320508]], shape=(1, 2), dtype=float32)
- 张量的矩阵运算
可利用 tf.matmul(矩阵 1,矩阵 2)实现两个矩阵的相乘。举例如下:
a = tf.ones([3, 2])
b = tf.fill([2, 3], 3.)
print(tf.matmul(a, b))
11
输出结果:tf.Tensor([[6. 6. 6.] [6. 6. 6.] [6. 6. 6.]], shape=(3, 3), dtype=float32),
即 a 为一个 3 行 2 列的全 1 矩阵,b 为 2 行 3 列的全 3 矩阵,二者进行矩阵相乘。
- 利用张量得到输入特征/标签对
可利用 tf.data.Dataset.from_tensor_slices((输入特征, 标签))切分传入张量
的第一维度,生成输入特征/标签对,构建数据集.此函数对 Tensor 格式与 Numpy格式均适用,其切分的是第一维度(比如[12,23,10,17] 中的12,30,10,17即为其第一维度而 [ [1,2,3,4],[5,6,7,8]] 中[1,2,3,4]与[5,6,7,8]为第一维),表征数据集中数据的数量,之后切分 batch等操作都以第一维为基础。举例如下:
features = tf.constant([12,23,10,17])
labels = tf.constant([0, 1, 1, 0])
dataset = tf.data.Dataset.from_tensor_slices((features, labels))
print(dataset)
for element in dataset:
print(element)
输出结果:<TensorSliceDataset shapes: ((),()), types: (tf.int32, tf.int32))>
(<tf.Tensor: id=9, shape=(), dtype=int32, numpy=12>, <tf.Tensor: id=10, shape=(),
dtype=int32, numpy=0>)
(<tf.Tensor: id=11, shape=(), dtype=int32, numpy=23>, <tf.Tensor: id=12, shape=(),
dtype=int32, numpy=1>)
(<tf.Tensor: id=13, shape=(), dtype=int32, numpy=10>, <tf.Tensor: id=14, shape=(),
dtype=int32, numpy=1>)
(<tf.Tensor: id=15, shape=(), dtype=int32, numpy=17>, <tf.Tensor: id=16, shape=(),
dtype=int32, numpy=0>)
即将输入特征 12 和标签 0 对应,产生配对;将输入特征 23 和标签 1 对应,产生配对……
- 计算损失函数在某一张量处的梯度
可利用 tf.GradientTape( )函数搭配 with 结构计算损失函数在某一张量处
的梯度,举例如下:
with tf.GradientTape( ) as tape:
w = tf.Variable(tf.constant(3.0))
loss = tf.pow(w,2) #损失函数定义
grad = tape.gradient(loss,w) #损失函数对w求偏导
print(grad)
输出结果:tf.Tensor(6.0, shape=(), dtype=float32)
- 枚举
可利用 enumerate(列表名)函数枚举出每一个元素,并在元素前配上对应的索引号,常在 for 循环中使用。举例如下:
seq = ['one', 'two', 'three']
for i, element in enumerate(seq):
print(i, element)
输出结果:
0 one
1 two
2 three
- 独热码
可用 tf.one_hot(待转换数据,depth=几分类)函数实现用独热码表示标签,在分类问题中很常见。标记类别为为 1 和 0,其中 1 表示是,0 表示非。如在鸢尾花分类任务中,如果标签是 1,表示分类结果是 1 杂色鸢尾,其用把它用独热码表示就是 0,1,0,这样可以表示出每个分类的概率:也就是百分之 0 的可能是 0狗尾草鸢尾,百分百的可能是 1 杂色鸢尾,百分之 0 的可能是弗吉尼亚鸢尾。举例如下:
classes = 3
labels = tf.constant([1,0,2])
output = tf.one_hot( labels, depth=classes )
print(output)
输出结果:tf.Tensor([[0. 1. 0.] [1. 0. 0.] [0. 0. 1.]], shape=(3, 3), dtype=float32)
在正常的情况下索引从 0 开始,待转换数据中各元素值应小于 depth,若带转换元素值大于等于depth,则该元素输出编码为 [0, 0 … 0, 0]
即 depth 确定列数,待转换元素的个数确定行数。举例如下
classes = 3
labels = tf.constant([1,4,2]) # 输入的元素值 4 超出 depth-1
output = tf.one_hot(labels,depth=classes)
print(output)
输出结果:tf.Tensor([[0. 1. 0.] [0. 0. 0.] [0. 0. 1.]], shape=(3, 3), dtype=float32)
从上述结果中我们可以看出在元素大于等于depths时的元素 4 对应的输出编码为[0. 0. 0.]
- softmax
可利用 tf.nn.softmax( )函数使前向传播的输出值符合概率分布(使用softmax函数的目的),进而与独热码形式的标签作比较,其计算公式为
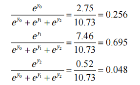
其中 yi 是前向传播的输出。在前一部分,我们得到了前向传播的输出值,分别为 1.01、2.01、-0.66,通过上述计算公式,可计算对应的概率值:

上式中,0.256 表示为 0 类鸢尾的概率是 25.6%,0.695 表示为 1 类鸢尾的概率是 69.5%,0.048 表示为 2 类鸢尾的概率是 4.8%。程序实现如下:
y = tf.constant ( [1.01, 2.01, -0.66] )
y_pro = tf.nn.softmax(y)
print("After softmax, y_pro is:", y_pro)
输出结果:
After softmax, y_pro is:
tf.Tensor([0.25598174 0.69583046 0.0481878], shape=(3,), dtype=float32)与上述计算结果相同
- 自减1即–1
可利用 assign_sub 对参数实现自更新。使用此函数前需利用 tf.Variable定义变量 w为可训练(可自更新),举例如下:
w = tf.Variable(4)
w.assign_sub(1)
print(w)
输出结果:<tf.Variable 'Variable:0' shape=() dtype=int32, numpy=3>
即实现了参数w自减 1。
注:直接调用 tf.assign_sub 会报错,要用 w.assign_sub。
本文介绍了TensorFlow中张量的基本概念与操作方法,涵盖了张量的创建、数据类型、数学运算等内容,并提供了实例演示。
7万+

被折叠的 条评论
为什么被折叠?



