为什么要用LLC,因为我们普通的拓补,开关管在开通与关断是没有办法在瞬间完成的,这就有了所谓的开通损耗和关断损耗,看下面图,应该更形象。


第一个波形是谐振波形,第二个波形是MOS管电流波形,第三个是MOS管DS波形;
从MOS管DS波形和MOS管电流波形可以看到,MOS管开通的时候,此时MOS管的电流还是在负半轴,这说明了MOS管的电压超前电流,所以谐振网络应该呈现感性;

对于上面的2个谐振频率可以这样理解:
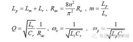
带载时,LP两端的电压被嵌位,此时谐振频率

空载时(当然后面会讲到死去区间也一样),LP两端的电压没被嵌位,此时谐振频率

现在来讲讲谐振网络的工作过程,要想谐振网络呈感性,那么开关频率必须大于谐振频率,这样就有三种可能,fs=fr,fs>fr,fr2<fs<fr.第一种情况是最好理解的,我们就先讲fs=fr时各个点的波形。
下面两个图都是fs=fr的时候

fs=fr准谐振
Tank circuit current is sinusoidal 谐振腔电流为正弦波;
Magnetizing current is triangular 励磁电流为三角波;

模态1

从图上可以看到在t0时刻,此时Q2仍然是导通的,从图上可以看出谐振电流仍然大于励磁电流,谐振电流继续对励磁电流充电,励磁电流线性上升(我把励磁电流从上到下定为正,从下到上定为负);
励磁电感有变化的电流,产生变化的磁场,所以副边有感应电流流过;
那么此时副边到底是那个二极管导通呢,我相信刚开始接触LLC的朋友估计会有点纠结,我自己是这样判断的,(假如Q1导通,Q2截止,那么此时励磁电感肯定是上正下负)但此时是Q1截止,Q2导通,根据法拉第定律,此时应该是励磁电感是上负下正,再根据相位来判断 ,很显然这个时候应该是D2导通。图箭头标注的是谐振电流的流向;
模态2

到t1时刻,谐振电流=励磁电流,此时励磁电感没有变化的电流,所以副边没有感应电流流过,此时谐振电流同时给COSS2充电,对COSS1放电(也可以说对COSS1反向充电)COSS1充满后,体二极管导通,此时开通Q1就可以实现ZVS(这里面把体二极管的压降忽略不计);
LLC需要足够的死区时间,在死区时间内,谐振电感Lr中存储的能量必须大于存储在MOS的Ceq中的能量,只有这样才能将Ceq中的能量释放完毕或者充满,完成ZVS。Ceq与Vds有很大关系;
实现ZVS,可以推出两个必要条件,如下所示:

参考:https://blog.youkuaiyun.com/weixin_43166304/article/details/123015009
下图是FS=fr,黄色是半桥中点的电压波形,紫色是下管的驱动波形,蓝色是谐振电流的波形;

从波形可以看到,黄色开通之前,紫色波形是处于负半轴上,之前说过,励磁电流从上到下为正,从下到上为负,那么谐振电流在上管开通之前的方向应该是S-D。
模态3
Q1导通后,励磁电感极性变成上正下负,那么很显然此时次级时D1在导通。
Q1刚导通时,谐振电流在负半轴开始减少,此时的谐振电流方向仍然是从S-D,看图1
到T2时刻,谐振电流方向开始变化,由S-D变成D-S,看图2

模态4
t2-t3期间,谐振电流正向对励磁电流充电,在T3时刻,Q1关断,因为FR=FS的关系,此时谐振电流刚好下降到等于励磁电流,那么励磁电感没有变化的电流,次级也就没有感应电流,此时也就是所谓的死区时间(指t3-t4期间),但谐振电流的方向仍然是正向由D-S,(建议结合图5看,比较容易懂)见图1;

模态5
在死区时间,谐振电流对coss1,coss2充电,由于谐振电流的方向,所以coss2很快被充满电,Q2体二极管导通,此时开通Q2,也就是t4时刻;

模态6
Q2导通之后,在t4-t5区间谐振电流与励磁电流正向减少,此时电流方向仍然为正,很显然,副边感应电流的方向可以让D2导通,

在t5时刻,谐振电流正向减少到0,之后开始负向增加,谐振电流又对励磁电流开始充电,励磁电流线性增加(负向),t5-t6时刻谐振电流的方向为负,见图2(图中2中大家会对次级时那个二极管导通又疑惑吗?我刚开始看的时候就有,我以为此时应该是D1导通,很迷茫,后来才明白,对于怎么判断是那个二极管导通,最好的办法是之前讲过,Q1导通的时候励磁电感是上正下负,Q2导通的时候励磁电感是上负下正,这样就好分析了);


过谐振
在来讲讲fs>fr的情况,大部分跟fs=fr的情况,主要讲讲不同之处
不同之处主要在t3时刻,由于fs>fr,谐振周期大于开关周期,t3时刻Q1关断,但此时谐振电流仍然大于励磁电流,谐振电流迅速对励磁电流充电。在谐振电流下降到励磁电流之前,副边仍然有电流流过,励磁电感仍然被嵌位。谐振电感两端的电压是VC-NVO,那电流的下降斜率就是(VC-NVO)/LR。见图

欠谐振
由于fr2<fs<fr,谐振周期小于开关周期,在t3时刻谐振电流等于励磁电流,副边也就没有电流流过,励磁电感没有被嵌位,此时Q1还处于导通状态,LR,CR,LM共同谐振,那么根据公式1/2π√(LR+LM)*CR可知,相对fr而言此时的谐振频率比较低,那么此时的谐振周期就很大,所以在t3-t4期间可以近似的认为是线性的变化。见图

等效阻抗
下图是用FHA(First Harmonic Approximation)一次谐波近似等效法来计算RAC的阻抗

电压增益M
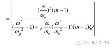
得到谐振槽的阻抗之后可以得到谐振电路的电压增益M.
M=输出电压/输入电压=2nVO/VIN


从电压增益公式看来,当w=w0的时候,M=1,此时跟Q,m没有关系,也就跟负载没有关系了,这个点是我们要的,但实际设计中很难刚好到这个点,所以尽量要接近这个点;
接下来根据上面的增益公式看下归一化曲线。随着负载变轻,Q值下降,峰值增益频率移向fp靠近,峰值增益随之下降;

fn,m,Q关系
现在结合下另外一张归一化曲线图分析下几个参数之间的关系
对应于不同的Q值曲线,其曲线顶点的右侧为ZVS区域,左侧为ZCS区域。(这点我相信大家都能理解,是谐振网络呈现感性还是容性的一个分界点,跟频率有直接的关系);

看式1的增益公式M跟fn,m,Q有关系(fn=w/wo)
在这里我们通常希望稳态时fn=1,此时M=1,此时只有m,Q是变量,这个时候可以研究下m,Q之间的关系,下图是m,Q的关系,图中的k就是我们这里的m;



从图中可以看出,m值越小,Q值越陡峭,要获取相同增益时(譬如增益由1.2-1.1变化时,增益只变化了0.1),越陡峭的Q值频率变化越小,这个是大家设计电路时需要的结果,理论上讲m值越小越好.
但大家知道m=LP/Lr,m值越小意味着LP越小,电感电流会越大,这会严重影响开关管的导通损耗,进而影响电源的效率。所以这里K值的选择很重要,两者要折中,一般大家的经验是3-7之间。
这里说句题外话,关于这个问题我请教过一个大师,他一般是这样的,只要在满足增益的情况下Q值越大越好,此时m也就越大,理论上讲效率越高(注意这里的前提条件是满足增益的情况下)
Q值曲线
当我们确定K值后,就可以得到一组Q值曲线。我们如何去理解这个Q值曲线呢?当我们的输入和输出电压固定的时候,并且变压器变比固定的时候,根据上面的公式,我们是可以得到一个固定的我们所需要的谐振槽路的增益M。当对应于某一个输入电压时,我们需要谐振槽路提供的增益为Mx.我们可以在Q值曲线上画一条Mx的直线,Mx这条直线和Q值曲线相交的点,就是LLC在不同负载下的工作点。
从图上我们可以看到,当负载增大时,Q值也增大,Q值曲线左移,Q值曲线与Mx相交点的频率是降低的。因此我们可以看到当负载增加的时候,LLC的工作频率是减小的。从物理意义上来讲,当负载阻抗Rac减小的时候,Lr与Cr构成的串联谐振回路上的阻抗也要减小,以维持Rac上得到的分压不变。只有通过降低频率才能使Lr和Cr构成的串联阻抗减小。因此,当负载加重时,LLC的开关频率是减小的;当负载减轻的时候,LLC的开关频率是增大的。
从上面的分析我们可以看到,当输入输出电压,负载以及变压器变比确定的时候,LLC的开关频率就确定了,也就是LLC的工作点是确定的了。那么我们如何去调整这个工作点呢?
从上面的分析可以看出,LLC的工作点与增益有关。当谐振参数确定后,唯一能改变增益的就是变压器的变比。因此要改变LLC的开关频率,只有通过改变变压器的匝比来实现。

第1句话
(当我们确定K值后,就可以得到一组Q值曲线。我们如何去理解这个Q值曲线呢?当我们的输入和输出电压固定的时候,并且变压器变比固定的时候,根据上面的公式,我们是可以得到一个固定的我们所需要的谐振槽路的增益M)要结合公式M=2N*VO/VIN来看就好理解了,输入电压跟输出电压固定,咋比固定,那么增益自然就固定了。
第2句话
(当对应于某一个输入电压时,我们需要谐振槽路提供的增益为Mx)从公式上看,不同的输入电压谐振槽的增益也不同,在正常的输入电压范围内,当对应任何一个输入电压的时候,此时谐振槽也会对应有一个增益MX,这个MX在这里我们可以看成是一个定值。
第3句话
(我们可以在Q值曲线上画一条Mx的直线,Mx这条直线和Q值曲线相交的点,就是LLC在不同负载下的工作点。)MX既然是定值,自然可以用一条直线画出来,这条直线跟Q值曲线有很多相交点。在这里为什么会说相交的点事LLC在不同负载下的工作点呢?这也要结合公式Q=WO*LR/RAC来看,不同负载,RAC不一样,Q值自然不一样,那么不同负载就对应着不同的Q值曲线,自然就跟MX有很多相交点了。
第4句话
(从图上我们可以看到,当负载增大时,Q值也增大,Q值曲线左移,Q值曲线与Mx相交点的频率是降低的。因此我们可以看到当负载增加的时候,LLC的工作频率是减小的。)这个应该好理解,Q=WO*LR/RAC,负载增大,RAC是减少的,Q值就增大了,我们要看Q值曲线的右边,因为电路是工作在ZVS区域,看曲线右边很明显,Q值增大的话,Q值曲线是左移的,那么MX与Q值相交点的频率是降低的,结论就是负载增加,LLC工作频率是降低的。这点很重要。
第5句话
(从物理意义上来讲,当负载阻抗Rac减小的时候,Lr与Cr构成的串联谐振回路上的阻抗也要减小,以维持Rac上得到的分压不变。只有通过降低频率才能使Lr和Cr构成的串联阻抗减小。因此,当负载加重时,LLC的开关频率是减小的;当负载减轻的时候,LLC的开关频率是增大的。)这句话就相当于第4句话的白话文,RAC减少,也就是负载增加,因为RAC与LR是串联的关系,那么此时LR的阻抗应该也要减少,这样RAC上的分压才会不变,输出才会稳定,那么LR的阻抗减少的话,根据公式ZL=2πFR*LR,频率肯定也要减少。因此,结论也是一样,负载增加,频率减少。
Qmax计算
对于LLC,还有一个很重要的参数就是Q值。我们来看一下熟悉的Q值曲线,从曲线上我们可以看到,Q值越小,Q值曲线越陡峭,Q值曲线的右侧为ZVS区域。因此我们可以找到Q值取值的最大值Qmax,它为LLC最大的直流增益Mmax与Q值曲线相交的最大值,这一点是保证在Mmax下,也就是对应最小频率下能实现ZVS的临界条件。如果选择的Q值大于Qmax, LLC将会进入ZCS区域。
可以通过对LLC谐振槽路的等效阻抗推导出Qmax。


设计中,为了留有一定的裕量,我们通常取Q值为Qmax的90%-95%。
死区时间
对于死区时间,是llc的一个重要参数。它跟励磁电流,MOSFET的输出电容和线路寄生电容有关。
要使llc实现软开关,就要使得在死区时间内,励磁电流能抽走或者充满MOSFET的输出电容和线路上的寄生电容,才能使得LLC的mosfet的D-S两端电压能达到0v。
但是如果死区时间太大的话,会使得半桥的电压利用率降低,使得原边电流增大,不利于提高效率。所以要选择合适的死区时间。不过由于LLC变压器的励磁电感比较小,励磁电流比较大,死区时间比较小。
工作模式
由增益公式可以知道,最大增益Mmax对应的是最小输入电压,所以最大增益是很好确定的,这个图我自己加了标注,按照自己的理解讲解下,Qmax是最大增益对应最小工作频率的Q值,怎么理解这句话呢,4是Qmax,看4曲线,在fmin处是在曲线的右边,是ZVS处,再看1,2,3曲线,在fmin处是不是都工作在Q值曲线的左边,是在ZCS区域了,所以这里的4曲线是临界点,如果选取的Q值曲线大于4,LLC会工作在ZCS区域,这样就不对了。
接下来是仙童资料的一段话,个人觉得很有用,它可以告诉我们在什么样的情况下选择哪种工作模式。
用通俗一点的话来讲解这段,(首先解释下这里为什么用软换流这个词,因为对于单个二极管来说都是零电流导通,但不一定是零电流关断,我在这里理解成不是零电流关断就是CCM,零电流关断就是CCM了,这样感觉会理解简单点)所以这段话也就是教我们什么时候让工作在DCM,什么时候工作在CCM。可以按照我们对反激的理解来解读。
当输出电压很高的时候,这个时候的输出整流管是没有办法用肖特基二极管的(肖特基二极管的电压一般是200V以下)如果工作CCM模式就会有反向恢复电流的问题,二极管的反向恢复损耗会比较大,所以一般会选择DCM,工作在DCM模式的话,工作频率就要小于谐振频率。谐振周期就会小于工作周期。
当输出电压不高的时候,可以用肖特基二极管,基本可以忽略反向恢复问题,那么就可以工作在CCM模式,工作在CCM模式的好处是峰值电流会小(这里讲的是环流)会降低通态的损耗,对效率有好处。工作在CCM模式的话,工作频率就要大于谐振频率,谐振周期大于工作周期。
3640

被折叠的 条评论
为什么被折叠?



