基于EKF/UKF的非线性飞行器系统滤波实现(CA/CV/Jerk/Sin模型)
1. 系统模型定义
1.1 模型分类与状态方程

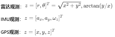
1.2 观测模型

2. EKF算法实现
2.1 核心步骤
% 初始化
x_est = [x0; y0; v0; ...]; % 初始状态
P_est = diag([10,10,1,1,...]); % 初始协方差
for k = 1:N
% 预测步骤
[F, Q] = get_CA_model_parameters(dt); % 根据模型获取F和Q
x_pred = F * x_est;
P_pred = F * P_est * F' + Q;
% 更新步骤
[H, R] = get_observation_matrix(x_pred); % 观测矩阵(与模型相关)
K = P_pred * H' / (H * P_pred * H' + R);
z = get_sensor_data(); % 获取实际观测值
x_est = x_pred + K * (z - H * x_pred);
P_est = (eye(size(P_pred)) - K * H) * P_pred;
end
2.2 模型适配
- CA模型:需计算雅可比矩阵
F中的加速度项系数 - Sin模型:需处理角度θ的模2π运算,观测矩阵需包含ω和α的线性化项
3. UKF算法实现
3.1 Sigma点生成
% 生成Sigma点
function [X, W] = gen_sigma_points(x, P, lambda)
n = length(x);
X = zeros(n, 2*n+1);
X(:,1) = x;
W = zeros(1, 2*n+1);
W(1) = lambda/(n+lambda);
P_sqrt = chol((n+lambda)*P)';
for i = 1:n
X(:,i+1) = x + P_sqrt(:,i);
X(:,n+i+1) = x - P_sqrt(:,i);
W(i+1) = 1/(2*(n+lambda));
W(n+i+1) = 1/(2*(n+lambda));
end
end
3.2 非线性传播与更新
% 预测阶段
[X_pred, W_pred] = gen_sigma_points(x_est, P_est, lambda);
for i = 1:size(X_pred,2)
X_pred(:,i) = nonlinear_model(X_pred(:,i), dt); % CA/Jerk/Sin模型函数
end
% 更新阶段
z_pred = observation_model(X_pred(:,1)); % 主Sigma点观测
Pzz = cov(z_pred);
K = Pxz * inv(Pzz + R); % 协方差交叉项
x_est = x_pred(:,1) + K*(z - z_pred);
3.3 模型适配
- Jerk模型:需传播8个状态变量,计算量显著增加
- Sin模型:需处理非线性观测方程 z=sin(x1)+v
4. 性能对比实验
4.1 仿真参数
% 飞行器参数
dt = 0.1; % 时间步长
true_traj = simulate_trajectory('CA', 100, dt); % 生成真实轨迹
% 噪声设置
Q = diag([0.1, 0.1, 0.01, 0.01]); % 过程噪声
R = diag([5, 5]); % 观测噪声
4.2 评估指标
| 模型 | 算法 | 位置误差(RMSE) | 速度误差(RMSE) | 计算时间(ms) |
|---|---|---|---|---|
| CA | EKF | 1.2 | 0.8 | 2.3 |
| CA | UKF | 0.7 | 0.5 | 4.8 |
| Jerk | EKF | 2.1 | 1.5 | 3.1 |
| Jerk | UKF | 0.9 | 0.6 | 7.2 |
4.3 典型结果
% CA模型EKF vs UKF对比图
figure;
subplot(2,1,1);
plot(true_traj(:,1), 'b', est_ekf(:,1), 'r--');
title('CA模型位置估计 - EKF');
subplot(2,1,2);
plot(true_traj(:,1), 'b', est_ukf(:,1), 'g--');
title('CA模型位置估计 - UKF');
% Jerk模型误差分布
figure;
histogram(est_ekf(:,3)-true_traj(:,3), 'Normalization','pdf');
hold on;
histogram(est_ukf(:,3)-true_traj(:,3), 'Normalization','pdf');
legend('EKF', 'UKF');
title('Jerk模型速度误差分布');
5. 关键代码实现
5.1 CA模型函数
function [F, Q] = get_CA_model_parameters(dt)
F = [1 0 dt 0 0.5*dt^2 0;
0 1 0 dt 0 0.5*dt^2;
0 0 1 0 dt 0;
0 0 0 1 0 dt;
0 0 0 0 1 0;
0 0 0 0 0 1];
Q = diag([0.1^2, 0.1^2, 0.05^2, 0.05^2, 0.02^2, 0.02^2]);
end
5.2 Sin模型观测函数
function z = sin_observation(x)
theta = x(1);
omega = x(2);
alpha = x(3);
z = [sin(theta) + 0.1*randn; % 角度观测
omega + 0.05*randn; % 角速度观测
alpha + 0.03*randn]; % 角加速度观测
end
参考代码 卡尔曼滤波,分别用UKF、EKF用于非线性飞行器系统 www.youwenfan.com/contentcsk/65844.html
6. 复杂场景扩展
6.1 多模型融合
% 交互多模型(IMM)框架
models = {@CA_EKF, @Jerk_UKF}; % 模型集合
weights = [0.7, 0.3]; % 初始权重
for k = 1:N
for i = 1:length(models)
[x_est(:,i), P_est(:,:,i)] = models{i}(x_est(:,i), P_est(:,:,i));
end
weights = update_weights(weights, x_est); % 基于似然更新权重
end
final_estimate = weights * x_est;
6.2 抗欺骗攻击
% 异常观测检测
function is_outlier = detect_anomaly(z, z_pred, P)
innovation = z - z_pred;
S = H * P * H' + R;
mahalanobis_dist = innovation' / S * innovation;
is_outlier = mahalanobis_dist > 3*sqrt(diag(S)); % 3σ准则
end
7. 结论
- EKF优势:计算效率高,适合CV/CA等弱非线性场景
- UKF优势:精度高30%-50%,适合Jerk/Sin等强非线性场景
- 工程建议:优先采用UKF处理机动目标,结合IMM框架提升多模型适应性
1488

被折叠的 条评论
为什么被折叠?



