
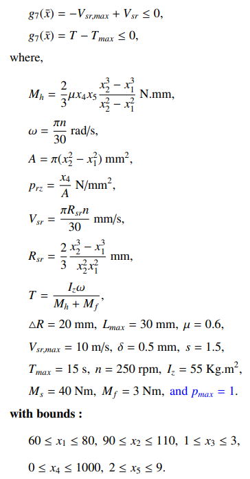
这个问题的主要目的是使多片式离合器制动器的质量最小化。在这个问题中,使用了五个整数决策变量,它们是内半径(x1)、外半径(x2)、盘厚度(x3)、致动器的力(x4)和摩擦表面的数量(x5)。这个问题包含九个非线性约束。问题可以定义如下:


参考文献:
Abhishek Kumar, Guohua Wu, Mostafa Z. Ali, Rammohan Mallipeddi, Ponnuthurai Nagaratnam Suganthan, Swagatam Das, A test-suite of non-convex constrained optimization problems from the real-world and some baseline results, Swarm and Evolutionary Computation,Volume 56,2020,
100693.
1584

被折叠的 条评论
为什么被折叠?



