
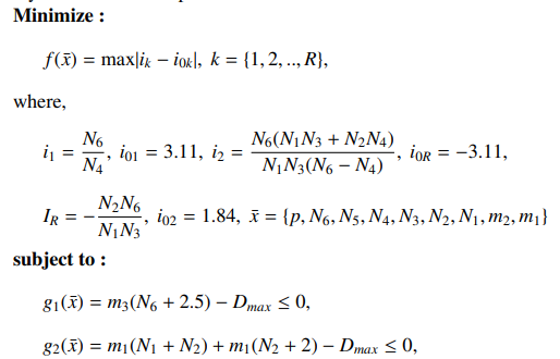
该问题的主要目标是使汽车传动比的最大误差最小。为了使最大误差最小,对自动行星传动系统的齿轮齿数进行了计算。该问题包含6个整数变量和11个不同几何约束和装配约束的约束。


参考文献:
Abhishek Kumar, Guohua Wu, Mostafa Z. Ali, Rammohan Mallipeddi, Ponnuthurai Nagaratnam Suganthan, Swagatam Das, A test-suite of non-convex constrained optimization problems from the real-world and some baseline results, Swarm and Evolutionary Computation,Volume 56,2020, 100693.
5万+

被折叠的 条评论
为什么被折叠?



