并行计算 PCAM方法学
零、what
PCMA方法学是指划分(partitioning)、通讯(Communication)、组合(Agglomeration)、映射(Mapping)
一、 划分
1、 划分方法描述
- 划分一般先进行数据划分(域分解,domain decomposition),再进行功能分解(functional decomposition)
- 划分阶段忽略目标机器的处理器核心数和体系结构
2、 域分解
域分解划分的对象是数据,将数据划分成大致相等的小数据片(划分时考虑数据上的相应操作,如果一个任务需要别的任务的数据,则会产生任务间的通信)


3、 功能分解
功能分解的对象是计算。
划分后,研究不同任务所需的数据。
- 如果这些数据不相交,则划分成功;
- 如果数据有相当的重叠, 意味着要重新进行域分解和功能分解;

4、 划分判据
- 是否具有
灵活性? - 是否
避免了冗余计算和存储? 任务尺寸是否大致相当?任务数与问题尺寸是否成比例?功能分解是一种更深层次的分解,是否合理?
二、 通信
1、 方法描述
划分产生的任务,一般不能完全独立执行,需要在任务 间进行数据交流;从而产生了通讯;
功能分解确定了诸任务之间的数据流;
各任务是并发执行的,通讯则限制了这种并发性
2、 四种通讯模式
局部|全局通信模式
结构化|非结构化通信模式(通信方式是否一致)
静态|动态通信模式
同步|异步通信


3、 通讯判据
- 所有任务是否执行大致相当的通信
- 是否尽可能的局部通信
- 通信操作是否能够并行执行
- 同步任务的计算是否能够并行执行
三、 组合
1、 方法描述
在前两个阶段(划分和通信)中,我们为了追求最大并行性,通常把任务切分得非常细(Fine-grained)。但在现实的物理机器上,管理成千上万个极小任务的开销(Overhead)是巨大的。
组合的核心目标是:在保持足够并行度的前提下,通过合并小任务来减少通信成本和管理开销。
2、 表面-容积效应
是一个几何上的概念,指随着物体尺寸,体积增长快于表面积,这里拿表面积类比通信量,容积类比计算量,随着并行任务颗粒度变大,计算量的增长是比通信量增长快,计算通信比会增加,也就是效率会增加。
3、 重复计算
4、 组合判据
- 增加粒度是否减少了通讯成本?
- 重复计算是否已权衡了其得益?
- 是否保持了灵活性和可扩放性?
- 组合的任务数是否与问题尺寸成比例?
- 是否保持了类似的计算和通讯?
- 有没有减少并行执行的机会?
四、 映射
1、 方法描述
每个任务要映射到具体的处理器,定位到运行机器上;
任务数大于处理器数时,存在负载平衡和任务调度问题;
映射的目标:减少算法的执行时间
并发的任务 → 不同的处理器
任务之间存在高通讯的 → 同一处理器
映射实际是一种权衡,属于NP完全问题
2、 负载平衡算法
3、 任务调度算法
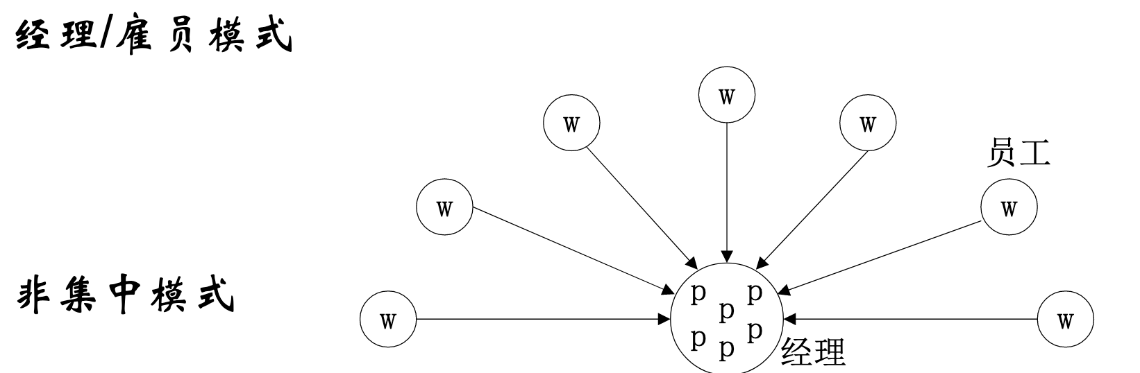
任务放在集中的或分散的任务池中,使用任务调度算法将 池中的任务分配给特定的处理器。下面是两种常用调度模式。

4、 映射判据
-
采用集中式负载平衡方案,是否存在通讯瓶颈?
-
采用动态负载平衡方案,调度策略的成本如何?

被折叠的 条评论
为什么被折叠?



