
二、第4章第2节 主要内容及考研要求
1. 方差、标准差的定义公式(理解)
2. 离散型和连续型随机变量方差的计算公式(理解)
3. 方差的等价计算公式(掌握、重点)
4. 常用分布的方差(掌握、重点)
5. 方差的性质(掌握点)
6. 独立正态变量线性组合的数学期望和方差(掌握、重点)
7. 切比雪夫不等式(了解)
三、第4章考研必做习题
第4章习题:4、6、7、8、9、10、13、15、16、20、22、26、28、29、30、32、34、36



解:甲乙平均命中环数为 E(X)=8.9 (环),E(Y)=8.9 (环)
从平均水平看,甲、乙的技术水平不相上下,所以需要 进一步考虑他们射击的稳定性。
2.方差的性质(假设下列方差均存在)
切比雪夫不等式:
定理 设随机变量X的数学期望E(X)=μ, 方差D(X)=
,则对任意的正数ε,有

--------切比雪夫(chebyshev)不等式.
证 (仅就X为连续型时来证)设X的概率密度为(x),则

[注]此不等式给出了在随机变量的分布未知的情况下事件{|X-E(X)|
例9 设 E(X)=-2, D(X)=1,E(Y)=2, D(Y)=4, 且X与Y独立,根据切比雪夫不等式估 P{|X+Y|≥5}. 答案:≤15
例10 设随机变量X服从泊松分布,且

求X的数学期望与方差. 答案: [2=1, E(X)= D(X)=1]
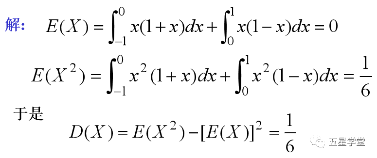
例11 设随机变量X具有概率密度

求D(X).

该篇博客详细介绍了概率论中第4章第2节的内容,重点讨论了方差和标准差的概念,包括离散型和连续型随机变量的方差计算、常用分布的方差、方差的性质以及独立正态变量线性组合的期望与方差。通过切比雪夫不等式阐述了随机变量稳定性的判断,并提供了多个例题进行解析和练习。
1684

被折叠的 条评论
为什么被折叠?



