运用递归的方法求解对称三对角矩阵的特征值——matlab实现
最新推荐文章于 2025-11-11 16:03:29 发布
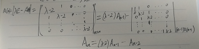
本文介绍了一种使用递归方法求解对称三对角矩阵特征值的创新思路,通过MATLAB的sym变量实现特征多项式的递归表达,并利用solve函数求解。适用于小规模矩阵,展示递归思想应用实例。
本文介绍了一种使用递归方法求解对称三对角矩阵特征值的创新思路,通过MATLAB的sym变量实现特征多项式的递归表达,并利用solve函数求解。适用于小规模矩阵,展示递归思想应用实例。
641
2737

被折叠的 条评论
为什么被折叠?