目 录
本文旨在设计和实现一个基于SSM的普通用户服务管理系统,该系统涵盖系统用户、志愿信息管理、志愿项目管理、志愿报名管理、排班信息管理、签到信息管理、签退信息管理、服务时间管理、星级制度管理、公示表彰管理等功能模块。通过这个系统,管理员可以对用户进行管理,并提供相应的操作权限;普通用户可以查看志愿项目,并进行报名参加。该系统将以SSM框架为基础,使用Java语言以及MySQL数据库进行开发,借助数据库技术进行数据存储和管理。通过实现这些功能,希望能够提升普通用户服务管理的效率和质量,推动用户活动的开展,促进社会公益事业的发展。
关键词:Java技术;SSM;志愿服务管理系统
Abstract
This article aims to design and implement a general user service management system based on SSM, which includes functional modules such as system users, volunteer information management, volunteer project management, volunteer registration management, scheduling information management, check-in information management, check-out information management, service time management, star rating system management, and public recognition management. Through this system, administrators can manage users and provide corresponding operation permissions; Ordinary users can view volunteer projects and register to participate. The system will be based on the SSM framework, developed using Java language and MySQL database, and utilizing database technology for data storage and management. By implementing these functions, we hope to improve the efficiency and quality of ordinary user service management, promote the development of user activities, and promote the development of social welfare undertakings.
Keywords:Java technology; SSM; Volunteer Service Management System
1 绪论
1.1研究背景及意义
社会的进步和发展,志愿者服务在推动社会和谐与发展中起着重要作用。然而,随着志愿者队伍规模的不断扩大和志愿者活动的复杂性增加,传统的手工管理方式已经无法满足日益增长的需求。因此,研究开发一套高效的志愿者服务管理系统。首先,志愿者服务管理系统能够实现志愿者资源的合理调配和优化利用。通过系统化的志愿者招募、培训和分配,可以确保志愿者队伍的结构多样性和专业性,提高志愿者的工作效率和满意度,从而更好地服务社会各个领域的需求。其次,志愿者服务管理系统能够实现志愿者活动的信息化管理。通过建立统一的志愿者活动平台,可以方便志愿者了解和参与各类志愿者活动,并实时获取相关信息和任务指派。同时,系统也可以对志愿者的工作情况进行监督和评估,保证志愿者活动的质量和效果。同时,志愿者服务管理系统还能够提供数据支持和决策参考。通过对志愿者服务活动的数据进行统计和分析,可以了解志愿者队伍的构成、服务范围和效果等信息,为相关决策提供科学依据,推动志愿者服务的可持续发展。
1.2研究现状
社会对志愿者服务的需求不断增加,志愿者服务管理系统的研究和应用也在逐步发展。目前,已经有一些志愿者服务管理系统得到了开发和应用。这些系统主要实现了志愿者招募、培训、任务分配等基本功能,并且提供了简单的信息管理和活动监督。然而,当前的研究仍存在一些限制和不足之处。首先,大多数系统仍停留在单一功能的阶段,无法满足复杂多样的志愿者服务需求。其次,部分系统缺乏强大的数据统计和分析能力,无法提供深入洞察和决策支持。此外,用户体验和界面设计方面还需要进一步改进,以提高系统的易用性和用户满意度。因此,未来的研究应该致力于开发更综合、高效的志愿者服务管理系统,加强数据分析和用户体验,以推动志愿者服务的规范化和提升质量。
论文将分层次经行编排,除去论文摘要致谢文献参考部分,正文部分还会对网站需求做出分析,以及阐述大体的设计和实现的功能,最后罗列部分调测记录,论文主要架构如下:
第一章:引言。第一章主要介绍了课题研究的背景,系统开发的现状和本文的微信小程序的介绍与主要工作。
第二章:系统需求分析。第二章主要从系统的用户功能等方面进行需求分析。
第三章:系统设计。第三章主要对系统框架、系统功能模块、数据库进行功能设计。
第四章:系统实现。第四章主要介绍了系统框架搭建、系统界面的实现。
第五章:系统测试。第五章主要对系统的部分界面进行测试并对主要功能进行测试
2 志愿服务管理系统系统分析
系统分析是开发一个项目的先决条件,通过系统分析可以很好的了解系统的主体用户的基本需求情况,同时这也是项目的开发的原因。进而对系统开发进行可行性分析,通常包括技术可行性、经济可行性等,可行性分析同时也是从项目整体角度进行的分析。然后就是对项目的具体需求进行分析,分析的手段一般都是通过用户的用例图来实现。下面是详细的介绍。
2.1 可行性分析
(1)操作可行性:
此次项目设计参考了几个该模式下网站的开发案例,对他们的操作界面分析,将众多案例结合在一起,突出以人为本简化操作,所以具有基本计算机知识的人都会操作本项目。
因此操作可行性也没有问题。
(2)技术可行性:
技术可行性指的是对于搭建框架的可行性,以及有更优秀的技术出现时系统的技术更新换代的纳新性如何,开发时间成本费用比如何。
现有的Java技术能够迎合所有志愿服务管理系统的搭建。开发这个志愿服务管理系统的时候我采用了Java+MYSQL用以运行整体程序。
综上所述技术可行性也没有问题。
(3)法律可行性:
从开发者角度来看,Java和MYSQL是网上开源且免费的,在知识产权方面不会产生任何法律纠纷。
从用户使用角度来看,只要不再系统上贩卖违禁品,对系统做出条约协议,杜绝非法支付即可。
综上所述法律可行性也没有问题。
2.2.1 数据流程
志愿服务管理系统主要的目的就是实现对志愿项目的申请报名,图2-1就是系统的数据流图。

图2-1项目申请报名操作展开图
3.3.2 业务流程
分析完系统的数据流,接下来我们来看系统的业务流程,图2-2就是业务流程图:

图2-2业务流程图
2.3 系统功能分析
按照志愿服务管理系统的角色,我划分为了管理员模块+普通用户模块这两大部分。
普通用户管理模块:
(1)用户注册登录:用户注册为普通用户并登录志愿服务管理系统;用户对个人信息的增删改查,比如个人资料,密码修改。
(2)志愿项目:用户进行志愿项目的阅览,通过查询志愿项目信息,可对某一个志愿项目进行申请报名+点赞+评论+收藏。
(3)网站公告:用户点击“网站公告”菜单显示管理员在后台发布的所有的网站公告信息,可以查看网站公告详情。
(4)公示表彰:用户进行公示表彰的阅览,通过查询公示表彰,可对某一个公示表彰信息进行点赞+评论+收藏。
(5)我的账户:用户点击“我的账户”可以对个人资料以及密码进行更新。
(6)我的收藏:用户点击“我的收藏”,会显示出自己收藏的所有信息,点击某一条收藏可以查看信息详细介绍,同时删除收藏;
管理员管理模块:
(1)登录:管理员在后台可以输入用户名+密码进行登录,管理员的用户名和密码是在数据库中直接设定好的。
(2)系统用户:管理员点击“系统用户”这一菜单会显示管理员+普通用户这两个子菜单,管理员可以对这两个角色的信息进行增删改查操作。
(3)志愿项目:管理员点击“志愿项目”这一菜单会所有的志愿项目,管理员可以对志愿项目进行增删改查操作,同时也可以查看前台用户对志愿项目提交的评论。
(4)志愿报名:管理员点击“志愿报名”这一菜单可以对志愿报名信息进行详情查阅以及查询调度信息。
(5)排班信息:管理员点击“排班信息”这一菜单可以对排班信息进行管控,点击某一条排班信息可进行详情查阅以及签到。
(6)签退信息:管理员点击“签退信息”这一菜单可以对签退信息进行管控,点击某一条签退信息可进行详情查阅。
(7)网站公告:管理员点击“网站公告”菜单可以查看到系统中的所有网站公告信息,对已经存在的网站公告,管理员可以修改,也可以添加新的网站公告或者删除网站公告。
(8)系统管理:管理员点击“系统管理”菜单可以对首页展示的轮播图进行增删改查。
志愿服务管理系统的非功能性需求比如志愿服务管理系统的安全性怎么样,可靠性怎么样,性能怎么样,可拓展性怎么样等。具体可以表示在如下3-1表格中:
表3-1志愿服务管理系统非功能需求表
| 安全性 | 主要指志愿服务管理系统数据库的安装,数据库的使用和密码的设定必须合乎规范。 |
| 可靠性 | 可靠性是指志愿服务管理系统能够安装用户的指示进行操作,经过测试,可靠性90%以上。 |
| 性能 | 性能是影响志愿服务管理系统占据市场的必要条件,所以性能最好要佳才好。 |
| 可扩展性 | 比如数据库预留多个属性,比如接口的使用等确保了系统的非功能性需求。 |
| 易用性 | 用户只要跟着志愿服务管理系统的页面展示内容进行操作,就可以了。 |
| 可维护性 | 志愿服务管理系统开发的可维护性是非常重要的,经过测试,可维护性没有问题 |
2.4 系统用例分析
通过2.3功能的分析,得出了本志愿服务管理系统的用例图:
普通用户角色用例如图2-3所示。

图2-3 志愿服务管理系统普通用户角色用例图
web后台管理上的管理员是维护整个志愿服务管理系统中所有数据信息的。管理员角色用例如图2-4所示。

本章主要通过对志愿服务管理系统的可行性分析、流程分析、功能需求分析、系统用例分析,确定整个志愿服务管理系统要实现的功能。同时也为志愿服务管理系统的代码实现和测试提供了标准。
3 志愿服务管理系统总体设计
本章主要讨论的内容包括志愿服务管理系统的功能模块设计、数据库系统设计。
3.1 系统架构设计
本志愿服务管理系统从架构上分为三层:表现层(UI)、业务逻辑层(BLL)以及数据层(DL)。

图3-1志愿服务管理系统系统架构设计图
表现层(UI):又称UI层,主要完成本志愿服务管理系统的UI交互功能,一个良好的UI可以打打提高用户的用户体验,增强用户使用本志愿服务管理系统时的舒适度。UI的界面设计也要适应不同版本的志愿服务管理系统以及不同尺寸的分辨率,以做到良好的兼容性。UI交互功能要求合理,用户进行交互操作时必须要得到与之相符的交互结果,这就要求表现层要与业务逻辑层进行良好的对接。
业务逻辑层(BLL):主要完成本志愿服务管理系统的数据处理功能。用户从表现层传输过来的数据经过业务逻辑层进行处理交付给数据层,系统从数据层读取的数据经过业务逻辑层进行处理交付给表现层。
数据层(DL):由于本志愿服务管理系统的数据是放在服务端的mysql数据库中,因此本属于服务层的部分可以直接整合在业务逻辑层中,所以数据层中只有数据库,其主要完成本志愿服务管理系统的数据存储和管理功能。
3.2 系统功能模块设计
在上一章节中主要对系统的功能性需求和非功能性需求进行分析,并且根据需求分析了本志愿服务管理系统中的用例。那么接下来就要开始对本志愿服务管理系统的架构、主要功能和数据库开始进行设计。志愿服务管理系统根据前面章节的需求分析得出,其总体设计模块图如图3-2所示。

图3-2 志愿服务管理系统功能模块图
3.2.2用户模块设计
后台管理者能够实现对前台注册的用户增删改查操作,用户模块结构图如下图:

图3-3普通用户结构图
3.2.3 评论管理模块设计
志愿服务管理系统是一个交流性质的公开平台,用户在平台上提交评论,增加用户之间的互动性。但是同时也为了更好的规范评论的内容,给予管理员删除不合适的评论的功能,所以需要专门设计一个评论管理模块,具体的结构图如下:

图3-4评论管理模块结构图
3.2.4志愿项目管理模块设计
志愿服务管理系统是中需要存储不少志愿项目信息,其模块功能结构,具体的结构图如下:

图3-5志愿项目模块结构图
3.2.5申请报名管理模块设计
志愿服务管理系统最重要的一个功能就是申请报名,其模块功能结构,具体的结构图如下:

图3-6申请报名模块结构图
数据库设计一般包括需求分析、概念模型设计、数据库表建立三大过程,其中需求分析前面章节已经阐述,概念模型设计有概念模型和逻辑结构设计两部分。
3.3.1 数据库概念结构设计
下面是整个志愿服务管理系统中主要的数据库表总E-R实体关系图。

图3-6 志愿服务管理系统总E-R关系图
下面根据志愿服务管理系统的数据库总E-R关系图可以得出志愿服务管理系统需要很多E-R图,在此罗列出来一些主要的数据库E-R模型图。

图3-7普通用户E-R关系图

图3-8 志愿报名信息E-R关系图

图3-9 志愿项目E-R关系图

图3-10 评论信息E-R关系图
通过上一小节中志愿服务管理系统中总E-R关系图上得出一共需要创建很多个数据表。在此我主要罗列几个主要的数据库表结构设计。
表comment (评论)
| 编号 | 名称 | 数据类型 | 长度 | 小数位 | 允许空值 | 主键 | 默认值 | 说明 |
| 1 | comment_id | int | 10 | 0 | N | Y | 评论ID: | |
| 2 | user_id | int | 10 | 0 | N | N | 0 | 评论人ID: |
| 3 | reply_to_id | int | 10 | 0 | N | N | 0 | 回复评论ID:空为0 |
| 4 | content | longtext | 2147483647 | 0 | Y | N | 内容: | |
| 5 | nickname | varchar | 255 | 0 | Y | N | 昵称: | |
| 6 | avatar | varchar | 255 | 0 | Y | N | 头像地址:[0,255] | |
| 7 | create_time | timestamp | 19 | 0 | N | N | CURRENT_TIMESTAMP | 创建时间: |
| 8 | update_time | timestamp | 19 | 0 | N | N | CURRENT_TIMESTAMP | 更新时间: |
| 9 | source_table | varchar | 255 | 0 | Y | N | 来源表: | |
| 10 | source_field | varchar | 255 | 0 | Y | N | 来源字段: | |
| 11 | source_id | int | 10 | 0 | N | N | 0 | 来源ID: |
表duration_management (服务时间)
| 编号 | 名称 | 数据类型 | 长度 | 小数位 | 允许空值 | 主键 | 默认值 | 说明 |
| 1 | duration_management_id | int | 10 | 0 | N | Y | 服务时间ID | |
| 2 | user_account | int | 10 | 0 | Y | N | 0 | 用户账号 |
| 3 | entry_name | varchar | 64 | 0 | Y | N | 项目名称 | |
| 4 | service_positions | varchar | 64 | 0 | Y | N | 服务岗位 | |
| 5 | service_duration | varchar | 64 | 0 | Y | N | 服务时长 | |
| 6 | star_rating | varchar | 64 | 0 | Y | N | 星级评定 | |
| 7 | situation_notes | text | 65535 | 0 | Y | N | 情况备注 | |
| 8 | create_time | datetime | 19 | 0 | N | N | CURRENT_TIMESTAMP | 创建时间 |
| 9 | update_time | timestamp | 19 | 0 | N | N | CURRENT_TIMESTAMP | 更新时间 |
表hits (用户点击)
| 编号 | 名称 | 数据类型 | 长度 | 小数位 | 允许空值 | 主键 | 默认值 | 说明 |
| 1 | hits_id | int | 10 | 0 | N | Y | 点赞ID: | |
| 2 | user_id | int | 10 | 0 | N | N | 0 | 点赞人: |
| 3 | create_time | timestamp | 19 | 0 | N | N | CURRENT_TIMESTAMP | 创建时间: |
| 4 | update_time | timestamp | 19 | 0 | N | N | CURRENT_TIMESTAMP | 更新时间: |
| 5 | source_table | varchar | 255 | 0 | Y | N | 来源表: | |
| 6 | source_field | varchar | 255 | 0 | Y | N | 来源字段: | |
| 7 | source_id | int | 10 | 0 | N | N | 0 | 来源ID: |
表notice (公告)
| 编号 | 名称 | 数据类型 | 长度 | 小数位 | 允许空值 | 主键 | 默认值 | 说明 |
| 1 | notice_id | mediumint | 8 | 0 | N | Y | 公告id: | |
| 2 | title | varchar | 125 | 0 | N | N | 标题: | |
| 3 | content | longtext | 2147483647 | 0 | Y | N | 正文: | |
| 4 | create_time | timestamp | 19 | 0 | N | N | CURRENT_TIMESTAMP | 创建时间: |
| 5 | update_time | timestamp | 19 | 0 | N | N | CURRENT_TIMESTAMP | 更新时间: |
表ordinary (普通用户)
| 编号 | 名称 | 数据类型 | 长度 | 小数位 | 允许空值 | 主键 | 默认值 | 说明 |
| 1 | ordinary_id | int | 10 | 0 | N | Y | 普通用户ID | |
| 2 | user_name | varchar | 64 | 0 | Y | N | 用户姓名 | |
| 3 | user_gender | varchar | 64 | 0 | Y | N | 用户性别 | |
| 4 | examine_state | varchar | 16 | 0 | N | N | 已通过 | 审核状态 |
| 5 | user_id | int | 10 | 0 | N | N | 0 | 用户ID |
| 6 | create_time | datetime | 19 | 0 | N | N | CURRENT_TIMESTAMP | 创建时间 |
| 7 | update_time | timestamp | 19 | 0 | N | N | CURRENT_TIMESTAMP | 更新时间 |
表public_commendation (公示表彰)
| 编号 | 名称 | 数据类型 | 长度 | 小数位 | 允许空值 | 主键 | 默认值 | 说明 |
| 1 | public_commendation_id | int | 10 | 0 | N | Y | 公示表彰ID | |
| 2 | user_account | int | 10 | 0 | Y | N | 0 | 用户账号 |
| 3 | user_photos | varchar | 255 | 0 | Y | N | 用户照片 | |
| 4 | service_time | varchar | 64 | 0 | Y | N | 服务时间 | |
| 5 | star_rating | varchar | 64 | 0 | Y | N | 星级评定 | |
| 6 | monthly_duration | int | 10 | 0 | Y | N | 0 | 月度时长 |
| 7 | annual_duration | int | 10 | 0 | Y | N | 0 | 年度时长 |
| 8 | situation_notes | varchar | 64 | 0 | Y | N | 情况备注 | |
| 9 | hits | int | 10 | 0 | N | N | 0 | 点击数 |
| 10 | praise_len | int | 10 | 0 | N | N | 0 | 点赞数 |
| 11 | create_time | datetime | 19 | 0 | N | N | CURRENT_TIMESTAMP | 创建时间 |
| 12 | update_time | timestamp | 19 | 0 | N | N | CURRENT_TIMESTAMP | 更新时间 |
表service_duration (签到信息)
| 编号 | 名称 | 数据类型 | 长度 | 小数位 | 允许空值 | 主键 | 默认值 | 说明 |
| 1 | service_duration_id | int | 10 | 0 | N | Y | 签到信息ID | |
| 2 | user_account | int | 10 | 0 | Y | N | 0 | 用户账号 |
| 3 | entry_name | varchar | 64 | 0 | Y | N | 项目名称 | |
| 4 | project_time | varchar | 64 | 0 | Y | N | 项目时间 | |
| 5 | project_nature | varchar | 64 | 0 | Y | N | 项目性质 | |
| 6 | service_positions | varchar | 64 | 0 | Y | N | 服务岗位 | |
| 7 | seat_check_in | varchar | 64 | 0 | Y | N | 入座签到 | |
| 8 | sign_in_time | datetime | 19 | 0 | Y | N | 签到时间 | |
| 9 | create_time | datetime | 19 | 0 | N | N | CURRENT_TIMESTAMP | 创建时间 |
| 10 | update_time | timestamp | 19 | 0 | N | N | CURRENT_TIMESTAMP | 更新时间 |
表sign_out_management (签退信息)
| 编号 | 名称 | 数据类型 | 长度 | 小数位 | 允许空值 | 主键 | 默认值 | 说明 |
| 1 | sign_out_management_id | int | 10 | 0 | N | Y | 签退信息ID | |
| 2 | user_account | int | 10 | 0 | Y | N | 0 | 用户账号 |
| 3 | entry_name | varchar | 64 | 0 | Y | N | 项目名称 | |
| 4 | service_positions | varchar | 64 | 0 | Y | N | 服务岗位 | |
| 5 | project_nature | varchar | 64 | 0 | Y | N | 项目性质 | |
| 6 | project_time | varchar | 64 | 0 | Y | N | 项目时间 | |
| 7 | sign_in_time | varchar | 64 | 0 | Y | N | 签到时间 | |
| 8 | sign_out_time | datetime | 19 | 0 | Y | N | 签退时间 | |
| 9 | service_duration | int | 10 | 0 | Y | N | 0 | 服务时长 |
| 10 | examine_state | varchar | 16 | 0 | N | N | 未审核 | 审核状态 |
| 11 | examine_reply | varchar | 16 | 0 | Y | N | 审核回复 | |
| 12 | create_time | datetime | 19 | 0 | N | N | CURRENT_TIMESTAMP | 创建时间 |
| 13 | update_time | timestamp | 19 | 0 | N | N | CURRENT_TIMESTAMP | 更新时间 |
表slides (轮播图)
| 编号 | 名称 | 数据类型 | 长度 | 小数位 | 允许空值 | 主键 | 默认值 | 说明 |
| 1 | slides_id | int | 10 | 0 | N | Y | 轮播图ID: | |
| 2 | title | varchar | 64 | 0 | Y | N | 标题: | |
| 3 | content | varchar | 255 | 0 | Y | N | 内容: | |
| 4 | url | varchar | 255 | 0 | Y | N | 链接: | |
| 5 | img | varchar | 255 | 0 | Y | N | 轮播图: | |
| 6 | hits | int | 10 | 0 | N | N | 0 | 点击量: |
| 7 | create_time | timestamp | 19 | 0 | N | N | CURRENT_TIMESTAMP | 创建时间: |
| 8 | update_time | timestamp | 19 | 0 | N | N | CURRENT_TIMESTAMP | 更新时间: |
表star_rating_system (星级制度)
| 编号 | 名称 | 数据类型 | 长度 | 小数位 | 允许空值 | 主键 | 默认值 | 说明 |
| 1 | star_rating_system_id | int | 10 | 0 | N | Y | 星级制度ID | |
| 2 | service_duration | int | 10 | 0 | Y | N | 0 | 服务时长 |
| 3 | star_rating | varchar | 64 | 0 | Y | N | 星级评定 | |
| 4 | create_time | datetime | 19 | 0 | N | N | CURRENT_TIMESTAMP | 创建时间 |
| 5 | update_time | timestamp | 19 | 0 | N | N | CURRENT_TIMESTAMP | 更新时间 |
表volunteer (志愿报名)
| 编号 | 名称 | 数据类型 | 长度 | 小数位 | 允许空值 | 主键 | 默认值 | 说明 |
| 1 | volunteer_id | int | 10 | 0 | N | Y | 志愿报名ID | |
| 2 | application_number | varchar | 64 | 0 | Y | N | 申请编号 | |
| 3 | entry_name | varchar | 64 | 0 | Y | N | 项目名称 | |
| 4 | project_nature | varchar | 64 | 0 | Y | N | 项目性质 | |
| 5 | project_time | varchar | 64 | 0 | Y | N | 项目时间 | |
| 6 | project_location | varchar | 64 | 0 | Y | N | 项目地点 | |
| 7 | application_time | datetime | 19 | 0 | Y | N | 申请时间 | |
| 8 | user_account | int | 10 | 0 | Y | N | 0 | 用户账号 |
| 9 | contact_phone_number | varchar | 64 | 0 | Y | N | 联系电话 | |
| 10 | service_duration | varchar | 64 | 0 | Y | N | 服务时长 | |
| 11 | examine_state | varchar | 16 | 0 | N | N | 未审核 | 审核状态 |
| 12 | examine_reply | varchar | 16 | 0 | Y | N | 审核回复 | |
| 13 | create_time | datetime | 19 | 0 | N | N | CURRENT_TIMESTAMP | 创建时间 |
| 14 | update_time | timestamp | 19 | 0 | N | N | CURRENT_TIMESTAMP | 更新时间 |
表volunteer_information (志愿信息)
| 编号 | 名称 | 数据类型 | 长度 | 小数位 | 允许空值 | 主键 | 默认值 | 说明 |
| 1 | volunteer_information_id | int | 10 | 0 | N | Y | 志愿信息ID | |
| 2 | volunteer_id | varchar | 64 | 0 | Y | N | 志愿者编号 | |
| 3 | user_account | int | 10 | 0 | Y | N | 0 | 用户账号 |
| 4 | user_name | varchar | 64 | 0 | Y | N | 用户姓名 | |
| 5 | user_gender | varchar | 64 | 0 | Y | N | 用户性别 | |
| 6 | political_landscape | varchar | 64 | 0 | Y | N | 政治面貌 | |
| 7 | contact_information | varchar | 16 | 0 | Y | N | 联系方式 | |
| 8 | e_mail | varchar | 125 | 0 | Y | N | 电子邮箱 | |
| 9 | work_unit | varchar | 64 | 0 | Y | N | 工作单位 | |
| 10 | employment_situation | text | 65535 | 0 | Y | N | 从业情况 | |
| 11 | proficient_in_skills | text | 65535 | 0 | Y | N | 擅长技能 | |
| 12 | current_place_of_residence | text | 65535 | 0 | Y | N | 现居住地 | |
| 13 | public_welfare_declaration | text | 65535 | 0 | Y | N | 公益宣言 | |
| 14 | create_time | datetime | 19 | 0 | N | N | CURRENT_TIMESTAMP | 创建时间 |
| 15 | update_time | timestamp | 19 | 0 | N | N | CURRENT_TIMESTAMP | 更新时间 |
表volunteer_projects (志愿项目)
| 编号 | 名称 | 数据类型 | 长度 | 小数位 | 允许空值 | 主键 | 默认值 | 说明 |
| 1 | volunteer_projects_id | int | 10 | 0 | N | Y | 志愿项目ID | |
| 2 | entry_name | varchar | 64 | 0 | Y | N | 项目名称 | |
| 3 | number_of_project_personnel | varchar | 64 | 0 | Y | N | 项目人数 | |
| 4 | project_nature | varchar | 64 | 0 | Y | N | 项目性质 | |
| 5 | project_poster | varchar | 255 | 0 | Y | N | 项目海报 | |
| 6 | project_time | date | 10 | 0 | Y | N | 项目时间 | |
| 7 | project_location | text | 65535 | 0 | Y | N | 项目地点 | |
| 8 | situation_notes | text | 65535 | 0 | Y | N | 情况备注 | |
| 9 | hits | int | 10 | 0 | N | N | 0 | 点击数 |
| 10 | praise_len | int | 10 | 0 | N | N | 0 | 点赞数 |
| 11 | create_time | datetime | 19 | 0 | N | N | CURRENT_TIMESTAMP | 创建时间 |
| 12 | update_time | timestamp | 19 | 0 | N | N | CURRENT_TIMESTAMP | 更新时间 |
表workforce_management (排班信息)
| 编号 | 名称 | 数据类型 | 长度 | 小数位 | 允许空值 | 主键 | 默认值 | 说明 |
| 1 | workforce_management_id | int | 10 | 0 | N | Y | 排班信息ID | |
| 2 | user_account | int | 10 | 0 | Y | N | 0 | 用户账号 |
| 3 | entry_name | varchar | 64 | 0 | Y | N | 项目名称 | |
| 4 | project_nature | varchar | 64 | 0 | Y | N | 项目性质 | |
| 5 | project_time | varchar | 64 | 0 | Y | N | 项目时间 | |
| 6 | project_location | varchar | 64 | 0 | Y | N | 项目地点 | |
| 7 | dispatching_position | varchar | 64 | 0 | Y | N | 调度岗位 | |
| 8 | create_time | datetime | 19 | 0 | N | N | CURRENT_TIMESTAMP | 创建时间 |
| 9 | update_time | timestamp | 19 | 0 | N | N | CURRENT_TIMESTAMP | 更新时间 |
3.4本章小结
整个志愿服务管理系统的需求分析主要对系统总体架构以及功能模块的设计,通过建立E-R模型和数据库逻辑系统设计完成了数据库系统设计。
4 志愿服务管理系统详细设计与实现
志愿服务管理系统的详细设计与实现主要是根据前面的志愿服务管理系统的需求分析和志愿服务管理系统的总体设计来设计页面并实现业务逻辑。主要从志愿服务管理系统界面实现、业务逻辑实现这两部分进行介绍。
4.1用户功能模块
4.1.1 前台首页界面
当进入志愿服务管理系统的时候,首先映入眼帘的是系统的导航栏,下面是轮播图以及系统内容,其主界面展示如下图4-1所示。

图4-1 前台首页界面图
不是志愿服务管理系统中正式用户的是可以在线进行注册的,如果你没有本志愿服务管理系统的账号的话,添加“注册”,当填写上自己的账号+密码+确认密码+昵称+邮箱+手机号等后再点击“注册”按钮后将会先验证输入的有没有空数据,再次验证密码和确认密码是否是一样的,最后验证输入的账户名和数据库表中已经注册的账户名是否重复,只有都验证没问题后即可用户注册成功。其用用户注册展示如下图4-2所示。

图4-2 前台用户注册图
注册关键代码如下所示。
@PostMapping("register")
public Map<String, Object> signUp(HttpServletRequest request) throws IOException {
Map<String, String> query = new HashMap<>();
Map<String,Object> map = service.readBody(request.getReader());
query.put("username",String.valueOf(map.get("username")));
List list = service.selectBaseList(service.select(query, new HashMap<>()));
if (list.size()>0){
return error(30000, "用户已存在");
}
map.put("password",service.encryption(String.valueOf(map.get("password"))));
service.insert(map);
return success(1);
}
4.1.3 用户登录界面
志愿服务管理系统中的前台上注册后的用户是可以通过自己的账户名和密码进行登录的,当用户输入完整的自己的账户名和密码信息并点击“登录”按钮后,将会首先验证输入的有没有空数据,再次验证输入的账户名+密码和数据库中当前保存的用户信息是否一致,只有在一致后将会登录成功并自动跳转到志愿服务管理系统的首页中;否则将会提示相应错误信息,用户登录界面如下图4-3所示。

图4-3用户登录界面图
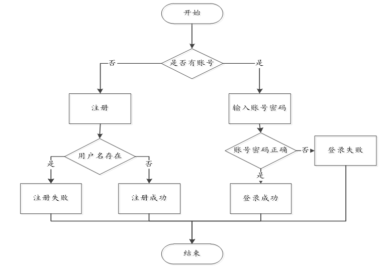
所有的用户都可以通过网页进入到志愿服务管理系统中对信息进行查看,但是要实现申请报名、收藏、评论的话,就不是所有人都能操作的,必须成为志愿服务管理系统的用户,注册登录的流程图如下图4-4所示。

图4-4注册登录流程图
登录代码如下:

4.1.4志愿项目详情界面
用户可以查看志愿项目,在查询到自己想要了解的志愿项目的时候,可以进入查看详细的介绍,点击“申请报名”这一按钮以后会跳转到申请报名信息填写的界面,根据提示填写好申请报名的信息,点击“提交”以后申请报名就完成了,在志愿项目详情这个界面,同时支持用户对喜欢的志愿项目进行收藏、点赞、评论的功能,志愿项目详情展示页面如图4-5所示。

图4-5 志愿项目详情界面图
在实现申请报名操作的时候,没有登录的用户只能进行查看,如果想要实现申请报名这个操作的话,申请报名的前提必须是登录后才能进行。详见图4-6所示。

图4-6 申请报名流程图
4.1.5申请报名界面
当用户在志愿项目详情界面想要进行申请报名,点击下方的“申请报名”按钮,就会跳转到申请报名信息填写界面,根据界面提示输入申请报名信息,点击“提交”按钮,申请报名就完成了,申请报名展示页面如图4-7所示。

图4-7 申请报名界面图
4.1.6我的账户界面
当用户点击右上角“我的账户”这个按钮,会出现子菜单,点击“我的账户”可以对个人的资料、登录系统的密码进行设置管理,我的账户界面如下图4-8所示。

图4-8 我的账户界面图
4.2管理员功能模块
管理员点击“系统用户”这一菜单会显示管理员和普通用户这两个子菜单,管理员可以对这两个角色的信息进行增删改查操作。界面如下图4-9所示。

图4-9系统用户管理界面图
系统用户管理关键代码如下所示。
@Transactional
public Map<String, Object> add(HttpServletRequest request) throws IOException {
service.insert(service.readBody(request.getReader()));
return success(1);
}
@Transactional
public Map<String, Object> addMap(Map<String,Object> map){
service.insert(map);
return success(1);
}
4.2.2志愿信息管理界面
点击“志愿信息”按钮会显示自己添加的志愿信息,如果想要添加新的志愿信息,点击“添加”按钮根据提示输入志愿信息,点击“提交”后在志愿信息界面就可以显示了,如果信息有错可以对志愿信息进行更新维护,也可以直接删除某一志愿信息,还可以管理评论信息。界面如下图4-11所示。

图4-11志愿信息管理界面图
志愿信息管理关键代码如下所示。
@RequestMapping("/get_obj")
public Map<String, Object> obj(HttpServletRequest request) {
List resultList = service.selectBaseList(service.select(service.readQuery(request), service.readConfig(request)));
if (resultList.size() > 0) {
JSONObject jsonObject = new JSONObject();
jsonObject.put("obj",resultList.get(0));
return success(jsonObject);
} else {
return success(null);
}
}
管理员点击“志愿项目”会显示出所有的志愿项目信息,支持输入项目名称对志愿项目信息进行查询,如果想要添加新的志愿项目信息,点击“添加”按钮,输入相关信息,点击“提交”按钮就可以添加了,同时可以选择某一条志愿项目信息,点击“删除”进行删除,也可以点击后面的“申请报名”按钮对志愿项目的申请报名信息进行更新维护,界面如下图4-12所示。

图4-12志愿项目管理界面图
志愿项目管理关键代码如下:
@RequestMapping("/get_list")
public Map<String, Object> getList(HttpServletRequest request) {
Map<String, Object> map = service.selectToPage(service.readQuery(request), service.readConfig(request));
return success(map);
}
4.2.4签到信息管理界面
管理员点击“签到信息”这一界面能够查看所有的签到信息,可以进行查询、删除操作,也可以对签退进行管控。界面如下图4-13所示。

图4-13签到信息管理界面图
签到信息管理关键代码如下:
@RequestMapping(value = "/del")
@Transactional
public Map<String, Object> del(HttpServletRequest request) {
service.delete(service.readQuery(request), service.readConfig(request));
return success(1);
}
4.2.5 资源管理界面
管理员点击“资源管理”菜单能够对其下子菜单新闻列表和新闻的分类进行增删改查,界面如下图4-15所示。

图4-15资源管理界面图
5系统测试
系统开发到了最后一个阶段那就是系统测试,系统测试对软件的开发其实是非常有必要的。因为没什么系统一经开发出来就可能会尽善尽美,再厉害的系统开发工程师也会在系统开发的时候出现纰漏,系统测试能够较好的改正一些bug,为后期系统的维护性提供很好的支持。通过系统测试,开发人员也可以建立自己对系统的信心,为后期的系统版本的跟新提供支持。
5.2 系统测试用例
系统测试包括:用户登录功能测试、志愿项目展示功能测试、志愿项目添加、志愿项目搜索、密码修改功能测试,如表5-1、5-2、5-3、5-4、5-5所示:
表5-1 用户登录功能测试表
| 用例名称 | 用户登录系统 |
| 目的 | 测试用户通过正确的用户名和密码可否登录功能 |
| 前提 | 未登录的情况下 |
| 测试流程 | 1) 进入登录页面 2) 输入正确的用户名和密码 |
| 预期结果 | 用户名和密码正确的时候,跳转到登录成功界面,反之则显示错误信息,提示重新输入 |
| 实际结果 | 实际结果与预期结果一致 |
志愿项目查看功能测试:
表5-2 志愿项目查看功能测试表
| 用例名称 | 志愿项目查看 |
| 目的 | 测试志愿项目查看功能 |
| 前提 | 用户登录 |
| 测试流程 | 点击志愿项目列表 |
| 预期结果 | 可以查看到所有志愿项目 |
| 实际结果 | 实际结果与预期结果一致 |
管理员添加志愿项目界面测试:
表5-3 管理员添加志愿项目界面测试表
| 用例名称 | 志愿项目添加测试用例 |
| 目的 | 测试志愿项目添加功能 |
| 前提 | 用户正常登录情况下 |
| 测试流程 | 1)管理员点击志愿项目管理,然后点击添加后并填写信息。 2)点击进行提交。 |
| 预期结果 | 提交以后,页面首页会显示新的志愿项目 |
| 实际结果 | 实际结果与预期结果一致 |
志愿项目搜索功能测试:
表5-4志愿项目搜索功能测试表
| 用例名称 | 志愿项目搜索测试 |
| 目的 | 测试志愿项目搜索功能 |
| 前提 | 无 |
| 测试流程 | 1)在搜索框填入搜索关键字。 2)点击搜索按钮。 |
| 预期结果 | 页面显示包含有搜索关键字的志愿项目 |
| 实际结果 | 实际结果与预期结果一致 |
密码修改功能测试:
表5-5 密码修改功能测试表
| 用例名称 | 密码修改测试用例 |
| 目的 | 测试管理员密码修改功能 |
| 前提 | 管理员用户正常登录情况下 |
| 测试流程 | 1)管理员密码修改并完成填写。 2)点击进行提交。 |
| 预期结果 | 使用新的密码可以登录 |
| 实际结果 | 实际结果与预期结果一致 |
5.3 系统测试结果
通过编写志愿服务管理系统的测试用例,已经检测完毕用户登录模块、志愿项目查看模块、志愿项目添加模块、志愿项目搜索模块、密码修改功能测试,通过这5大模块为志愿服务管理系统的后期推广运营提供了强力的技术支撑。
至此,志愿服务管理系统已经结束,在开发前做了许多的准备,在本系统的设计和开发过程中阅览和学习了许多文献资料,从中我也收获了很多宝贵的方法和设计思路,对系统的开发也起到了很重要的作用,系统的开发技术选用的都是自己比较熟悉的,比如Web、Java技术、MYSQL,这些技术都是在以前的学习中学到了,其中许多的设计思路和方法都是在以前不断地学习中摸索出来的经验,其实对于我们来说工作量还是比较大的,但是正是由于之前的积累与准备,才能顺利的完成这个项目,由此看来,积累经验跟做好准备是十分重要的事情。
当然在该系统的设计与实现的过程中也离不开老师以及同学们的帮助,正是因为他们的指导与帮助,我才能够成功的在预期内完成了这个系统。同时在这个过程当中我也收获了很多东西,此系统也有需要改进的地方,但是由于专业知识的浅薄,并不能做到十分完美,希望以后有机会可以让其真正的投入到使用之中。
[1]袁爱平,陈畅,孙士兵等. 基于SSM框架的高校学生信息管理系统设计与实现 [J]. 工业控制计算机, 2023, 36 (12): 127-129.
[2]刘守华,高亮. 一种科技志愿服务管理的一体化信息智能管理系统及方法[P]. 北京市: CN117112656A, 2023-11-24.
[3]刘方磊. 基于SSM框架的旅游大数据分析系统设计与实现 [J]. 中国新技术新产品, 2023, (21): 22-25.
[4]Xiao Z ,Ali Y ,Xin W , et al. Sports Work Strategy of College Counselors Based on MySQL Database Big Data Analysis [J]. International Journal of Information Technology and Web Engineering (IJITWE), 2023, 18 (1): 1-14.
[5]赵进步,袁慧. 基于SSM框架的“云节”系统设计与实现 [J]. 电脑编程技巧与维护, 2023, (10): 90-92.
[6]Karthik G ,Debashish M ,Jagoda C , et al. Developing a MySQL Database for the Provenance of Black Tiger Prawns (Penaeus monodon). [J]. Foods (Basel, Switzerland), 2023, 12 (14):
[7]Sunday O B ,Nduka O S . MySQL Database Server: Deploying Software Application to Enhance Visibility and Accountability [J]. Current Journal of Applied Science and Technology, 2023, 42 (4): 16-23.
[8]李亚君. 基于SSM框架的B2C电子商城系统的设计与实现[D]. 合肥工业大学, 2022.
[9]马春晓,叶青,吕明. 志愿活动管理系统的设计与实现 [J]. 工业控制计算机, 2022, 35 (01): 135-136+139.
[10]莫腾飞,唐立. 区块链技术在志愿服务信息管理系统中的应用空间构想 [J]. 中国志愿服务研究, 2021, 2 (03): 182-197+221-222.
[11]符秋迪,李金龙,李思等. 基于微信小程序的志愿服务管理系统设计与实现 [J]. 电脑知识与技术, 2020, 16 (20): 6-8+16.
[12]高伟锋,黄伟. 基于微信公众号的志愿服务管理系统设计与应用 [J]. 无线互联科技, 2019, 16 (23): 44-45.
[13]邱志军,吴彬,蒋志勇. 基于微信的志愿服务管理系统开发与应用 [J]. 计算机产品与流通, 2019, (07): 104-106.
[14]赵春霞. 基于Web技术的志愿者服务管理系统设计与实现[D]. 南京理工大学, 2019.
在撰写本论文期间,我受益于许多人的帮助和支持,在此向他们表示衷心的感谢。首先,我要感谢我的导师,他给予了我宝贵的指导和建议,推动了我研究的方向。同时,他鼓励我不断探索和挑战自己,帮助我克服困难并取得进步。此外,我还要感谢我的同学和朋友们,在我撰写论文过程中给予了我很多鼓励和帮助,分享了他们的见解和经验,让我从不同角度思考问题,提高了我的研究方法。最后,我要感谢我的家人,他们一直以来对我支持和理解,给予我无尽的鼓励和动力,使我坚持下去并完成这篇论文。在此向所有支持和帮助过我的人表示深深的谢意,没有你们的支持,我将无法完成这篇论文。感谢你们的付出和支持!
点赞+收藏+关注 →私信领取本源代码、数据库
关注博主下篇更精彩
一键三连!!!
一键三连!!!
一键三连!!!
感谢一键三连!!!
181

被折叠的 条评论
为什么被折叠?



