摘 要
随着社会水平的提高和知识经济的发展,学生考勤管理在行业中成为一种流行的生活方式。利用SSM框架和相关技术,设计和实现一个高效、可靠的学生课堂考勤管理系统。该系统将提供学生信息、班级信息、考勤信息、签到信息等功能,旨在促进考勤管理的便捷和透明化。本研究首先介绍了学生课堂考勤管理系统的研究背景和现状,包括考勤管理需求的增加和传统方式存在的问题。接着强调了提高考勤管理效和提供用户友好体验的重要性。学生课堂考勤管理系统是基于浏览器与服务器架构平台,采用跨平台的JAVA语言开发,利用SSM框架进行逻辑控制,MySQL数据库存储数据,最后Tomcat服务器完成发布,系统可在多个环境下运行。
实验结果表明,该系统不仅能显著提高考勤工作的准确性和效率,还为教师和管理人员提供了强大的数据分析支持,有助于及时发现并解决学生的出勤问题。此外,本研究也为教育信息化背景下如何有效结合现代信息技术提升教学管理水平提供了一定的参考价值,对推动智慧校园建设具有重要意义。
关键词:Java语言;SSM框架;MySQL数据库;学生课堂考勤管理系统。
With the improvement of social level and the development of knowledge economy, student attendance management has become a popular way of life in the industry. Using the SSM framework and related technologies, design and implement an efficient and reliable student attendance management system. The system will provide student information, class information, attendance information, check-in information and other functions, aiming to promote the convenience and transparency of attendance management. This study first introduces the research background and current status of student classroom attendance management system, including the increasing demand for attendance management and the problems existing in traditional methods. The importance of improving attendance management and providing a user-friendly experience was then emphasized. The student classroom attendance management system is based on the browser and server architecture platform, developed using cross-platform JAVA language, using SSM framework for logical control, MySQL database to store data, and finally Tomcat server to complete the release, the system can run in multiple environments.
The experimental results show that the system can not only significantly improve the accuracy and efficiency of attendance, but also provide powerful data analysis support for teachers and administrators, which is helpful to find and solve students' attendance problems in time. In addition, this study also provides a certain reference value for how to effectively combine modern information technology to improve the level of teaching management in the context of education informatization, and is of great significance for promoting the construction of smart campus..
Keywords: Java language; SSM framework; MySQL database; Student Classroom Attendance Management System.
1 绪 论
随着信息技术的迅猛发展,教育领域也开始广泛应用各种现代化手段来提高教学质量和管理效率。学生课堂考勤作为学校日常管理工作的重要组成部分,其准确性和及时性直接影响到学校的教学秩序和管理水平。传统的人工考勤方式不仅耗时费力,而且容易出现数据不准确、难以统计分析等问题。基于此背景,利用现代信息技术开发高效、精确的学生课堂考勤管理系统显得尤为重要。
基于SSM学生课堂考勤管理系统[1],实现系统架构的优化和功能模块的高效集成,同时也为解决传统考勤管理中存在的问题提供了新的思路。传统的考勤管理方式通常依赖于人工点名和纸质文档,这种方式不仅耗时费力,而且容易出错,难以满足大规模、多人次班级的需求。而通过SSM框架搭建的学生课堂考勤管理系统[2],则可以有效克服这些难题,提供一个集班级信息发布、学生信息、考勤信息、签到信息等功能于一体的综合平台。
随着互联网技术的发展和普及,学生和教师对于便捷性和实时性的要求也越来越高。学生课堂考勤管理系统可以通过网络实现随时随地的访问,使得考生可以根据自己的时间安排灵活参加考勤签到,同时教师也能够及时签到结果及学生请假并进行审核反馈。这不仅极大地提高了考勤管理的效率,也为教育工作者提供了更多的数据分析支持,有助于更好地了解学生的情况,制定更加科学合理的教学计划。
研究基于SSM框架的学生课堂考勤管理系统具有深远的意义。首先,随着教育信息化的发展趋势,传统的手工考勤方式已难以满足现代学校高效管理的需求。学生课堂考勤管理系统通过引入先进的信息技术,如人脸识别或RFID技术,能够实现对学生出勤情况的自动化记录和实时监控,极大地提高了考勤工作的准确性和效率,减少了人为因素造成的错误和疏漏。
其次,该系统有助于提升学校的管理水平和教学质量。通过精确的考勤数据,教师和管理人员可以及时了解学生的出勤状况,对频繁缺勤的学生进行早期干预,帮助他们克服学习中的困难,促进其学业进步。同时,系统提供的数据分析功能可以帮助学校从宏观角度掌握全校学生的出勤规律,为优化教学安排、资源配置等提供科学依据,进而推动教育教学质量的持续提升。
此外,开发这样一个系统也是探索教育领域信息技术应用的一次有益尝试。它不仅促进了教育与技术的深度融合,也为其他类型的教育管理软件提供了参考案例和技术积累。总之,基于SSM的学生课堂考勤管理系统的研发对于提高学校管理效能[3]、促进学生全面发展以及推动教育信息化进程都具有重要意义。
1.3 国内外研究现状
在国内,随着教育信息化进程的加速推进,越来越多的高校和中小学开始重视并尝试引入现代化的信息技术手段来改进传统的教学管理模式。特别是在一些大城市和高等教育机构中,基于互联网、移动计算以及生物识别技术的学生考勤系统得到了一定程度的应用。例如,采用人脸识别技术进行自动签到,或通过校园一卡通实现电子化考勤记录。然而,由于教育资源分配不均及地区经济发展不平衡等原因,这类系统的普及程度在不同地区间存在显著差异。此外,国内开发的学生考勤系统通常注重与现有教育管理体系的整合,如学籍管理系统、成绩管理系统等,并且更加倾向于定制化解决方案以满足特定学校的需求。
在国外,尤其是在发达国家,信息技术在教育领域的应用起步较早,相关研究也更为深入。许多国家不仅在学校内部署了各种形式的电子考勤系统,还在探索如何将这些系统与其他教育技术工具(如学习管理系统LMS)集成起来,形成一个全面支持教学活动的数字化平台。此外,国外的研究还特别关注数据隐私保护和安全性问题,强调在利用技术提高管理效率的同时保障学生的个人信息安全。一些国际性的教育技术和软件公司也在不断推出创新的产品和服务,考勤管理系统推动全球范围内的教育信息化发展[4]。
总的来说,无论是国内还是国外,学生课堂考勤管理系统的发展趋势都指向更高的自动化程度、更好的用户体验以及更强的数据分析能力。未来,随着人工智能、大数据等前沿技术的进一步成熟,这类系统有望变得更加智能化,能够提供更精准的教学反馈和支持个性化学习路径规划等功能。同时,如何确保系统的易用性、可靠性和安全性,将是所有开发者共同面临的挑战。
本文共分为七章,章节内容安排如下:
第一章:绪论,主要介绍系统的研究目的和意义,国内外现状分析等架构。
第二章:相关技术介绍,主要介绍本系统研究所涉及用到的技术分析。
第三章:系统需求分析,章节所做的主要的工作是对系统进行了技术、经济和法律方面可行性的分析;对系统实行了总体功能的需求、用例分析。
第四章:系统的设计,主要是对系统的功能结构进行设计,并对系统数据库的概念结构以及物理结构的设计进行了分析。
第五章:对系统的实现,根据系统功能的划分,分别的对系统所需要实现的用户功能和管理员功能进行了分析和说明。
第六章:系统测试。主要对系统的部分界面进行展示并对主要功能进行测试。
第七章:总结
2 相关技术介绍
2.1 Java语言
Java是一种广泛使用的高级编程语言[5],具有平台独立性、面向对象和可扩展性等特点。它的“编写一次,到处运行”特性使得开发者能够在不同的操作系统上运行相同的代码。Java广泛应用于企业级应用程序的开发,拥有丰富的标准库和强大的社区支持。
2.2 SSM框架
SSM框架[6]是指Spring、Spring MVC和MyBatis三大框架的组合,常用于JAVA的企业级应用开发。
Spring:提供了全面的企业应用程序开发基础,支持依赖注入(DI)和面向切面编程(AOP),使得代码更加模块化和易于测试。
Spring MVC:是一个基于模型-视图-控制器(MVC)模式的WEB框架,允许开发者构建可维护的WEB应用程序,通过分离业务逻辑和视图,提升了应用的可扩展性。
MyBatis:是一个持久层框架,简化了数据库操作,支持自定义SQL、存储过程和高级映射,使得数据库交互更加灵活和高效。
2.3 HTML前端技术
HTML(超文本标记语言)是构建WEB页面的标准标记语言。它用于定义网页的结构和内容,通过标签(tag)来描述文本、图像、链接等元素。结合CSS和JavaScript,HTML可以实现丰富的用户界面和交互效果,是WEB前端开发的基础。
B/S(Browser/Server)结构是一种用于WEB应用程序的架构模式[7],用户通过浏览器与服务器进行交互。与传统的C/S(Client/Server)架构相比,B/S结构具有更好的普适性和简便性,用户无需安装客户端软件,只需通过浏览器即可访问应用,降低了维护和升级的成本。
MySQL是一个开源的关系型数据库管理系统[8],以其可靠性和高性能著称。它使用结构化查询语言(SQL)进行数据管理,并支持事务处理、ACID特性以及多种数据存储引擎。MySQL广泛应用于各种应用程序的数据存储需求,尤其是在Web应用中表现尤为突出[9]。
3 系统分析
系统分析是在软件开发过程中的一项关键任务,它旨在对要开发的系统进行全面的、系统化的研究和调查,以确定系统需求并为后续的设计和开发工作提供基础。系统分析包括以下几个方面。
3.1.1 技术可行性
在技术可行性方面,学生课堂考勤管理系统采用MySQL数据库作为数据存储介质[10],并利用HTML、IDEA等开发工具进行系统的搭建和部署。同时,使用SSM框架进行开发,该框架具有良好的可扩展性和维护性,能够简化开发过程并提高系统的性能和稳定性。这些技术选择是成熟且广泛应用的,能够满足项目的需求。
在经济可行性方面,学生课堂考勤管理系统所需的开发软件和工具,如IDEA和MySQL等,都是免费且开源的,无需额外费用。此外,这些工具易于获取和操作,降低了开发成本。而且,随着学生课堂考勤管理系统的运营和发展,可以通过广告推广、会员服务等方式实现收益,增加项目的经济可行性。
学生课堂考勤管理系统的注册与登陆页面设计简洁容易应用,可以通过最常见的页面窗口来登录页面,并利用过计算机实现登录功能,因此使用者只要平时利用过计算机都可以实现登录应用。此操作系统的研发工作环境运用了Java技术,并运用了B/S结构,这些研发工作环境都使得此系统功能更为完整,使整个设计更为个性化,使用者功能也更为简洁方便。本学生课堂考勤管理系统具备了易于运行、容易管理、交互性较好的优点,在实际操作上也是非常简单的。因此,本学生课堂考勤管理系统也可进行商业设计。
本研究旨在设计和开发一套功能全面、操作简便的学生课堂考勤管理系统,以解决考勤管理日常管理和遇到的一些问题,并提升其效率和服务水平。因此,将学生课堂考勤管理系统划分为了学生用户、教师用户、导员用户和管理员模块这两大部分。
学生用户端:登录、首页、学生信息管理、请假信息管理、考勤信息管理、签到信息管理、个人中心修改个人信息密码等功能。
教师用户端:后台首页、班级信息管理、学生信息管理、请假信息管理、考勤信息管理、签到信息管理。
后台管理端:管理员可登录系统后台进行管理,在首页可以查看个人信息、修改密码、系统用户管理、班级信息管理、学生信息管理、请假信息管理、考勤信息管理、签到信息管理、权限管理等功能。
导员用户:导员用户可以查看所有功能模块的列表详情。
非功能性分析旨在评估系统的非功能需求和性能要求。通过对性能、可靠性、安全性、可用性和扩展性等方面进行评估,确保平台能够满足用户和系统运行的要求。具体如下:
表3-1学生课堂考勤管理系统非功能需求表
| 非功能性要求 | 说明 |
| 性能 | 评估响应时间、并发用户数、吞吐量等指标,以确保平台稳定高效地运行。 |
| 可靠性 | 评估系统的稳定性、容错能力和数据完整性,保障系统在故障情况下正常运行。 |
| 安全性 | 评估用户身份认证、数据加密和访问控制等,保护用户信息和交易的安全。 |
| 可用性 | 评估系统的稳定性、故障处理能力和用户界面友好性,提供良好的用户体验。 |
| 扩展性 | 评估系统的可扩展性和灵活性,以便根据需求进行功能扩展和升级。 |
系统用例分析是软件工程中的一个重要部分,用于描述系统的功能需求和用户与系统之间的交互,从而明确系统应该如何响应用户的操作和需求。学生课堂考勤管理系统的完整UML用例图分别是图3-1、3-2。
(1)学生用户角色用例图如下图所示。

图3-1 学生用户角色用例图
- 教师用户角色用例图如下图所示。

图3-1 教师用户角色用例图
- 管理员角色用例图如下图所示。

3.4系统流程分析
3.4.1程序操作流程
用户访问平台网站,可以选择进行注册或登录操作。注册成功后,用户可以使用注册的账号登录平台。登录后的用户可以进入系统功能界面,使用自己权限内的功能操作。程序操作流程图如下图所示。

图3-4 程序操作流程图
用户访问平台的网站,进入登录页面页面,入其用户名和密码,后端服务接收登录请求,验证用户提供的用户名和密码是否匹配数据库中存储的信息,验证通过即可登录成功。登录流程图如下图所示。

图3-5 登录流程图
4 系统总体设计
在系统架构设计方面,考虑了系统的整体结构和各个组件之间的交互关系,以确保系统具有良好的扩展性和性能。在功能模块设计方面,我详细描述了系统中的各项功能需求,包括学生用户、教师用户和管理员的操作流程。在数据库系统设计方面,设计了系统的数据库结构,包括数据表的设计。通过本章内容的讨论,为学生课堂考勤管理系统的设计和实现提供了系统化的指导和方法,以确保系统能够高效、稳定地运行,并满足用户的需求。
目前B/S体系的系统主要的数据访问方式是:通过浏览器页面用户可以进入系统,系统可以自动对用户向服务器发送的请求进行处理,处理请求是在系统后台中进行的,用户在浏览器页面上进行相应操作,就能够看到服务端传递的处理结果。学生课堂考勤管理系统主要分为表现层(UI)、业务逻辑层(BLL)以及数据层(DL)。系统架构图如图4-1所示。

图4-1系统架构设计图
表现层(UI):又称UI层,主要完成本学生课堂考勤管理系统的UI交互功能,一个良好的UI可以打打提高用户的用户体验,增强用户使用本学生课堂考勤管理系统时的舒适度。UI的界面设计也要适应不同版本的学生课堂考勤管理系统以及不同尺寸的分辨率,以做到良好的兼容性。UI交互功能要求合理,用户进行交互操作时必须要得到与之相符的交互结果,这就要求表现层要与业务逻辑层进行良好的对接。
业务逻辑层(BLL):主要完成本学生课堂考勤管理系统的数据处理功能。用户从表现层传输过来的数据经过业务逻辑层进行处理交付给数据层,系统从数据层读取的数据经过业务逻辑层进行处理交付给表现层。
数据层(DL):由于本学生课堂考勤管理系统的数据是放在服务端的MySQL数据库中,因此本属于服务层的部分可以直接整合在业务逻辑层中,所以数据层中只有数据库,其主要完成本学生课堂考勤管理系统的数据存储和管理功能。
通过整体功能模块设计,我将根据需求分析的结果,将系统的功能划分为不同的模块。每个模块负责实现特定的功能,并与其他模块进行协作。我们将详细定义每个模块的输入、输出、处理逻辑和相互依赖关系。具体的功能模块图如图4-2所示。

图4-2 系统功能模块图
数据库设计是系统开发中至关重要的一环,它涉及到数据的组织、存储和管理。在数据库设计中,我将根据系统的需求设计数据库的概念结构和逻辑结构,包括定义实体、属性、关系和约束等。
4.3.1 数据库概念结构设计
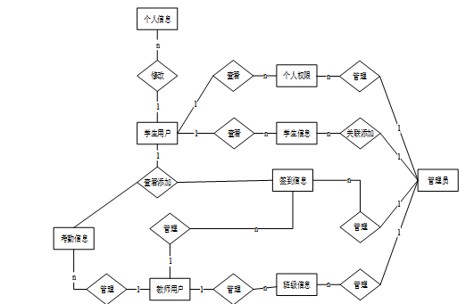
在数据库概念模型设计的时候,一般都采用E-R实体图进行展示,在实体图中可以展示出数据库表中的所有字段名称。下面是整个学生课堂考勤管理系统中主要的数据库表总E-R实体关系图。

图4-3 总体E-R图
4.3.2 数据库逻辑结构设计
逻辑结构设计是指在系统开发过程中对系统中数据的组织、存储和处理方式进行设计和规划的过程。通过逻辑结构设计,确定系统中数据的结构、关系和操作规则,以确保数据的有效管理和高效利用。
| 编号 | 字段名 | 类型 | 长度 | 是否非空 | 是否主键 | 注释 |
| 1 | token_id | int | 是 | 是 | 临时访问牌ID | |
| 2 | token | varchar | 64 | 否 | 否 | 临时访问牌 |
| 3 | info | text | 65535 | 否 | 否 | 信息 |
| 4 | maxage | int | 是 | 否 | 最大寿命:默认2小时 | |
| 5 | create_time | timestamp | 是 | 否 | 创建时间 | |
| 6 | update_time | timestamp | 是 | 否 | 更新时间 | |
| 7 | user_id | int | 是 | 否 | 用户编号 |
表 4-2-attendance_information(考勤信息)
| 编号 | 字段名 | 类型 | 长度 | 是否非空 | 是否主键 | 注释 |
| 1 | attendance_information_id | int | 是 | 是 | 考勤信息ID | |
| 2 | teacher_user | int | 否 | 否 | 教师用户 | |
| 3 | teachers_name | varchar | 64 | 否 | 否 | 教师姓名 |
| 4 | student_users | int | 否 | 否 | 学生用户 | |
| 5 | attendance_type | varchar | 64 | 是 | 否 | 考勤类型 |
| 6 | attendance_location | varchar | 64 | 是 | 否 | 考勤地点 |
| 7 | attendance_time | datetime | 是 | 否 | 考勤时间 | |
| 8 | attendance_remarks | text | 65535 | 否 | 否 | 考勤备注 |
| 9 | sign_in_information_limit_times | int | 是 | 否 | 签到限制次数 | |
| 10 | create_time | datetime | 是 | 否 | 创建时间 | |
| 11 | update_time | timestamp | 是 | 否 | 更新时间 | |
| 12 | source_table | varchar | 255 | 否 | 否 | 来源表 |
| 13 | source_id | int | 否 | 否 | 来源ID | |
| 14 | source_user_id | int | 否 | 否 | 来源用户 |
表 4-3-auth(用户权限管理)
| 编号 | 字段名 | 类型 | 长度 | 是否非空 | 是否主键 | 注释 |
| 1 | auth_id | int | 是 | 是 | 授权ID | |
| 2 | user_group | varchar | 64 | 否 | 否 | 用户组 |
| 3 | mod_name | varchar | 64 | 否 | 否 | 模块名 |
| 4 | table_name | varchar | 64 | 否 | 否 | 表名 |
| 5 | page_title | varchar | 255 | 否 | 否 | 页面标题 |
| 6 | path | varchar | 255 | 否 | 否 | 路由路径 |
| 7 | parent | varchar | 64 | 否 | 否 | 父级菜单 |
| 8 | parent_sort | int | 是 | 否 | 父级菜单排序 | |
| 9 | position | varchar | 32 | 否 | 否 | 位置 |
| 10 | mode | varchar | 32 | 是 | 否 | 跳转方式 |
| 11 | add | tinyint | 是 | 否 | 是否可增加 | |
| 12 | del | tinyint | 是 | 否 | 是否可删除 | |
| 13 | set | tinyint | 是 | 否 | 是否可修改 | |
| 14 | get | tinyint | 是 | 否 | 是否可查看 | |
| 15 | field_add | text | 65535 | 否 | 否 | 添加字段 |
| 16 | field_set | text | 65535 | 否 | 否 | 修改字段 |
| 17 | field_get | text | 65535 | 否 | 否 | 查询字段 |
| 18 | table_nav_name | varchar | 500 | 否 | 否 | 跨表导航名称 |
| 19 | table_nav | varchar | 500 | 否 | 否 | 跨表导航 |
| 20 | option | text | 65535 | 否 | 否 | 配置 |
| 21 | create_time | timestamp | 是 | 否 | 创建时间 | |
| 22 | update_time | timestamp | 是 | 否 | 更新时间 |
表 4-4-class_information(班级信息)
| 编号 | 字段名 | 类型 | 长度 | 是否非空 | 是否主键 | 注释 |
| 1 | class_information_id | int | 是 | 是 | 班级信息ID | |
| 2 | class_name | varchar | 64 | 是 | 否 | 班级名称 |
| 3 | class_size | double | 是 | 否 | 班级人数 | |
| 4 | time_of_establishment | date | 否 | 否 | 成立时间 | |
| 5 | class_members | text | 65535 | 否 | 否 | 班级成员 |
| 6 | class_honor | text | 65535 | 否 | 否 | 班级荣誉 |
| 7 | class_details | text | 65535 | 否 | 否 | 班级详情 |
| 8 | create_time | datetime | 是 | 否 | 创建时间 | |
| 9 | update_time | timestamp | 是 | 否 | 更新时间 |
表 4-5-code_token(验证码)
| 编号 | 字段名 | 类型 | 长度 | 是否非空 | 是否主键 | 注释 |
| 1 | code_token_id | int | 是 | 是 | 验证码ID | |
| 2 | token | varchar | 255 | 否 | 否 | 令牌 |
| 3 | code | varchar | 255 | 否 | 否 | 验证码 |
| 4 | expire_time | timestamp | 是 | 否 | 失效时间 | |
| 5 | create_time | timestamp | 是 | 否 | 创建时间 | |
| 6 | update_time | timestamp | 是 | 否 | 更新时间 |
表 4-6-guide_user(导员用户)
| 编号 | 字段名 | 类型 | 长度 | 是否非空 | 是否主键 | 注释 |
| 1 | guide_user_id | int | 是 | 是 | 导员用户ID | |
| 2 | name_of_director | varchar | 64 | 是 | 否 | 导员姓名 |
| 3 | guide_gender | varchar | 64 | 否 | 否 | 导员性别 |
| 4 | mobile_phone_number | varchar | 16 | 是 | 是 | 手机号码 |
| 5 | examine_state | varchar | 16 | 是 | 否 | 审核状态 |
| 6 | user_id | int | 是 | 否 | 用户ID | |
| 7 | create_time | datetime | 是 | 否 | 创建时间 | |
| 8 | update_time | timestamp | 是 | 否 | 更新时间 |
表 4-7-hits(用户点击)
| 编号 | 字段名 | 类型 | 长度 | 是否非空 | 是否主键 | 注释 |
| 1 | hits_id | int | 是 | 是 | 点赞ID | |
| 2 | user_id | int | 是 | 否 | 点赞人 | |
| 3 | create_time | timestamp | 是 | 否 | 创建时间 | |
| 4 | update_time | timestamp | 是 | 否 | 更新时间 | |
| 5 | source_table | varchar | 255 | 否 | 否 | 来源表 |
| 6 | source_field | varchar | 255 | 否 | 否 | 来源字段 |
| 7 | source_id | int | 是 | 否 | 来源ID |
表 4-8-leave_information(请假信息)
| 编号 | 字段名 | 类型 | 长度 | 是否非空 | 是否主键 | 注释 |
| 1 | leave_information_id | int | 是 | 是 | 请假信息ID | |
| 2 | teacher_user | int | 否 | 否 | 教师用户 | |
| 3 | teachers_name | varchar | 64 | 否 | 否 | 教师姓名 |
| 4 | student_users | int | 否 | 否 | 学生用户 | |
| 5 | student_name | varchar | 64 | 否 | 否 | 学生姓名 |
| 6 | student_gender | varchar | 64 | 否 | 否 | 学生性别 |
| 7 | contact_number | varchar | 64 | 否 | 否 | 联系号码 |
| 8 | leave_type | varchar | 64 | 否 | 否 | 请假类型 |
| 9 | leave_date | date | 否 | 否 | 请假日期 | |
| 10 | number_of_leave | varchar | 64 | 否 | 否 | 请假次数 |
| 11 | reason_for_leave | text | 65535 | 否 | 否 | 请假原因 |
| 12 | leave_remarks | text | 65535 | 否 | 否 | 请假备注 |
| 13 | examine_state | varchar | 16 | 是 | 否 | 审核状态 |
| 14 | examine_reply | varchar | 16 | 否 | 否 | 审核回复 |
| 15 | create_time | datetime | 是 | 否 | 创建时间 | |
| 16 | update_time | timestamp | 是 | 否 | 更新时间 | |
| 17 | source_table | varchar | 255 | 否 | 否 | 来源表 |
| 18 | source_id | int | 否 | 否 | 来源ID | |
| 19 | source_user_id | int | 否 | 否 | 来源用户 |
表 4-9-score(评分)
| 编号 | 字段名 | 类型 | 长度 | 是否非空 | 是否主键 | 注释 |
| 1 | score_id | int | 是 | 是 | 评分ID | |
| 2 | user_id | int | 是 | 否 | 评分人 | |
| 3 | nickname | varchar | 64 | 否 | 否 | 昵称 |
| 4 | score_num | double | 是 | 否 | 评分 | |
| 5 | create_time | timestamp | 是 | 否 | 创建时间 | |
| 6 | update_time | timestamp | 是 | 否 | 更新时间 | |
| 7 | source_table | varchar | 255 | 否 | 否 | 来源表 |
| 8 | source_field | varchar | 255 | 否 | 否 | 来源字段 |
| 9 | source_id | int | 是 | 否 | 来源ID |
表 4-10-sign_in_information(签到信息)
| 编号 | 字段名 | 类型 | 长度 | 是否非空 | 是否主键 | 注释 |
| 1 | sign_in_information_id | int | 是 | 是 | 签到信息ID | |
| 2 | teacher_user | int | 否 | 否 | 教师用户 | |
| 3 | teachers_name | varchar | 64 | 否 | 否 | 教师姓名 |
| 4 | student_users | int | 否 | 否 | 学生用户 | |
| 5 | student_name | varchar | 64 | 否 | 否 | 学生姓名 |
| 6 | attendance_type | varchar | 64 | 否 | 否 | 考勤类型 |
| 7 | attendance_location | varchar | 64 | 否 | 否 | 考勤地点 |
| 8 | attendance_time | datetime | 否 | 否 | 考勤时间 | |
| 9 | sign_in_picture | varchar | 255 | 否 | 否 | 签到图片 |
| 10 | check_in_time | datetime | 否 | 否 | 签到时间 | |
| 11 | sign_in_remarks | text | 65535 | 否 | 否 | 签到备注 |
| 12 | examine_state | varchar | 16 | 是 | 否 | 审核状态 |
| 13 | examine_reply | varchar | 16 | 否 | 否 | 审核回复 |
| 14 | create_time | datetime | 是 | 否 | 创建时间 | |
| 15 | update_time | timestamp | 是 | 否 | 更新时间 | |
| 16 | source_table | varchar | 255 | 否 | 否 | 来源表 |
| 17 | source_id | int | 否 | 否 | 来源ID | |
| 18 | source_user_id | int | 否 | 否 | 来源用户 |
表 4-11-student_information(学生信息)
| 编号 | 字段名 | 类型 | 长度 | 是否非空 | 是否主键 | 注释 |
| 1 | student_information_id | int | 是 | 是 | 学生信息ID | |
| 2 | teacher_user | int | 否 | 否 | 教师用户 | |
| 3 | teachers_name | varchar | 64 | 否 | 否 | 教师姓名 |
| 4 | student_users | int | 否 | 否 | 学生用户 | |
| 5 | student_name | varchar | 64 | 否 | 否 | 学生姓名 |
| 6 | student_gender | varchar | 64 | 否 | 否 | 学生性别 |
| 7 | class_name | varchar | 64 | 否 | 否 | 班级名称 |
| 8 | contact_number | varchar | 64 | 是 | 否 | 联系号码 |
| 9 | political_outlook | varchar | 64 | 否 | 否 | 政治面貌 |
| 10 | student_specialty | text | 65535 | 否 | 否 | 学生特长 |
| 11 | student_profile | text | 65535 | 否 | 否 | 学生简介 |
| 12 | leave_information_limit_times | int | 是 | 否 | 请假限制次数 | |
| 13 | attendance_information_limit_times | int | 是 | 否 | 考勤限制次数 | |
| 14 | create_time | datetime | 是 | 否 | 创建时间 | |
| 15 | update_time | timestamp | 是 | 否 | 更新时间 |
表 4-12-student_users(学生用户)
| 编号 | 字段名 | 类型 | 长度 | 是否非空 | 是否主键 | 注释 |
| 1 | student_users_id | int | 是 | 是 | 学生用户ID | |
| 2 | student_name | varchar | 64 | 是 | 否 | 学生姓名 |
| 3 | student_gender | varchar | 64 | 是 | 否 | 学生性别 |
| 4 | class_name | varchar | 64 | 否 | 否 | 班级名称 |
| 5 | contact_number | varchar | 16 | 是 | 否 | 联系号码 |
| 6 | examine_state | varchar | 16 | 是 | 否 | 审核状态 |
| 7 | user_id | int | 是 | 否 | 用户ID | |
| 8 | create_time | datetime | 是 | 否 | 创建时间 | |
| 9 | update_time | timestamp | 是 | 否 | 更新时间 |
表 4-13-teacher_user(教师用户)
| 编号 | 字段名 | 类型 | 长度 | 是否非空 | 是否主键 | 注释 |
| 1 | teacher_user_id | int | 是 | 是 | 教师用户ID | |
| 2 | teachers_name | varchar | 64 | 是 | 否 | 教师姓名 |
| 3 | gender_of_teachers | varchar | 64 | 是 | 否 | 教师性别 |
| 4 | mobile_phone_number | varchar | 16 | 是 | 是 | 手机号码 |
| 5 | examine_state | varchar | 16 | 是 | 否 | 审核状态 |
| 6 | user_id | int | 是 | 否 | 用户ID | |
| 7 | create_time | datetime | 是 | 否 | 创建时间 | |
| 8 | update_time | timestamp | 是 | 否 | 更新时间 |
表 4-14-upload(文件上传)
| 编号 | 字段名 | 类型 | 长度 | 是否非空 | 是否主键 | 注释 |
| 1 | upload_id | int | 是 | 是 | 上传ID | |
| 2 | name | varchar | 64 | 否 | 否 | 文件名 |
| 3 | path | varchar | 255 | 否 | 否 | 访问路径 |
| 4 | file | varchar | 255 | 否 | 否 | 文件路径 |
| 5 | display | varchar | 255 | 否 | 否 | 显示顺序 |
| 6 | father_id | int | 否 | 否 | 父级ID | |
| 7 | dir | varchar | 255 | 否 | 否 | 文件夹 |
| 8 | type | varchar | 32 | 否 | 否 | 文件类型 |
表 4-15-user(用户账户)
| 编号 | 字段名 | 类型 | 长度 | 是否非空 | 是否主键 | 注释 |
| 1 | user_id | int | 是 | 是 | 用户ID | |
| 2 | state | smallint | 是 | 否 | 账户状态:(1可用|2异常|3已冻结|4已注销) | |
| 3 | user_group | varchar | 32 | 否 | 否 | 所在用户组 |
| 4 | login_time | timestamp | 是 | 否 | 上次登录时间 | |
| 5 | phone | varchar | 11 | 否 | 否 | 手机号码 |
| 6 | phone_state | smallint | 是 | 否 | 手机认证:(0未认证|1审核中|2已认证) | |
| 7 | username | varchar | 16 | 是 | 否 | 用户名 |
| 8 | nickname | varchar | 16 | 否 | 否 | 昵称 |
| 9 | password | varchar | 64 | 是 | 否 | 密码 |
| 10 | | varchar | 64 | 否 | 否 | 邮箱 |
| 11 | email_state | smallint | 是 | 否 | 邮箱认证:(0未认证|1审核中|2已认证) | |
| 12 | avatar | varchar | 255 | 否 | 否 | 头像地址 |
| 13 | open_id | varchar | 255 | 否 | 否 | 针对获取用户信息字段 |
| 14 | create_time | timestamp | 是 | 否 | 创建时间 |
表 4-16-user_group(用户组)
| 编号 | 字段名 | 类型 | 长度 | 是否非空 | 是否主键 | 注释 |
| 1 | group_id | mediumint | 是 | 是 | 用户组ID | |
| 2 | display | smallint | 是 | 否 | 显示顺序 | |
| 3 | name | varchar | 16 | 是 | 否 | 名称 |
| 4 | description | varchar | 255 | 否 | 否 | 描述 |
| 5 | source_table | varchar | 255 | 否 | 否 | 来源表 |
| 6 | source_field | varchar | 255 | 否 | 否 | 来源字段 |
| 7 | source_id | int | 是 | 否 | 来源ID | |
| 8 | register | smallint | 否 | 否 | 注册位置 | |
| 9 | create_time | timestamp | 是 | 否 | 创建时间 | |
| 10 | update_time | timestamp | 是 | 否 | 更新时间 |
5 系统详细设计与实现
在详细设计与实现阶段,我们将根据系统需求和功能模块的设计,进行具体的代码编写和系统搭建。这包括前台界面的设计与开发、后台数据库的建立和管理、业务逻辑的实现等。通过编写代码、进行测试和调试,最终完成整个学生课堂考勤管理系统的开发。
5.1.1 用户登录(学生和教师用户)
学生用户和教师用户由后台管理员添加设置,用户通过账号密码进入登录,用户需要输入正确的用户名和密码才能成功登录系统。登录界面应对用户的输入进行验证,并提供密码找回或重新注册的选项。界面如下图所示。用户登录界面如下图5-1所示。
图5-1登录界面图
@PostMapping("login")
public Map<String, Object> login(@RequestBody Map<String, String> data, HttpServletRequest httpServletRequest) {
log.info("[执行登录接口]");
String username = data.get("username");
String email = data.get("email");
String phone = data.get("phone");
String password = data.get("password");
List resultList = null;
QueryWrapper wrapper = new QueryWrapper<User>();
Map<String, String> map = new HashMap<>();
5.1.2教师用户学生信息管理
教师用户管理查看添加学生用户信息,包括学生政治面貌、特长介绍、学生简介等基本信息,还可以再学生列表对学生进行考勤管理,填写考勤类型、地点、时间等详情,学生信息管理添加界面如下图5-2所示。
图5-2 学生信息管理添加界面图
图5-3 学生考勤信息添加界面图
学生用户在请假信息管理填写请假申请理由,包括请假类型、时间、原因等信息,然后等待教师审核,审核通过可以查看审核状态。请假信息管理界面如下图5-4所示。
图5-4请假信息管理界面图
学生在考勤信息管理可以查看教师用户发布的考勤打卡详情,然后上课的时候上传签到详情,包括签到图片、签到时间、签到备注等,上传后由教师后台审核,查看审核状态。考勤信息管理界面如下图5-5所示。
图5-5 考勤信息管理习界面图
管理员管理系统后台首页界面、显示课堂信息统计、班级信息统计表等信息。起界面如下图5-6所示。
图5-6后台首页界面图
管理员管理用户信息、权限和行为。用户管理包括用户注册、登录、身份验证、权限控制、用户信息修改等操作。管理员可以查看和编辑用户信息,重置密码,激活或停用账户等。通过用户管理,系统可以确保数据安全性和用户身份真实性,同时实现个性化服务和定制化推荐。良好的用户管理设计能够简化用户操作流程,提高系统安全性和用户满意度,同时为系统运营提供有效支持。其界面如下图5-7所示。
图5-7系统用户界面图
管理员可以查看所有班级信息列表信息及添加信息,包括班级名称、人数、成立时间、班级成员等信息,可以进行增删改查的操作。班级信息管理管理的界面如下图5-8所示。
图5-8班级信息管理界面图
管理员增添改查所有用户的使用权限。权限管理的界面如下图5-9所示。
图5-9权限管理界面图
6 系统测试
系统测试是为了验证系统在功能、性能、安全性和用户体验等方面的表现。通过测试,可以发现并修复潜在的问题和缺陷,确保系统的正常运行和稳定性。功能验证确保各项功能按设计要求运行;性能评估评估系统的响应时间和并发处理能力;安全检测确保系统的身份认证和数据传输安全;用户体验评估提升界面友好性和操作流程;兼容性测试确保系统在不同设备和浏览器上的兼容性。通过全面的测试,系统将更可靠地支持用户需求,并提供优质的用户体验。
软件测试过程是软件过程的组成部分,开发过程质量决定了软件质量,而测试过程质量直接影响测试结果的准确性和有效性。软件测试的方法和技术是多种多样的,对于软件测试方法,主要有:白盒测试和黑盒测试方法,静态测试和动态测试方法,验证和确认方法,自动化测试和随机测试等方法。对软件实施的各项测试一般都是基于大数据技术来实现的。大数据技术的应用,除可提升信息处理效率,推动社会发展,还可创造更优越的生产价值。但是在软件实际应用中,仍存在很多问题需要及时处理,只有对这些问题进行深入研究和分析,并同时制定完善的优化方案,才能真正提升软件质量。
表6-1用户登录测试用例
| 测试编号 | 测试内容 | 预期结果 |
| TC-004 | 输入正确的账号密码 | 登录成功,跳转到个人主页 |
| TC-005 | 输入错误的账号密码 | 显示登录失败的提示信息,要求重新输入正确的账号密码 |
表6-2 修改密码测试用例
| 测试编号 | 测试内容 | 预期结果 |
| TC-006 | 输入有效密码 | 密码修改成功,显示修改成功的提示信息 |
| TC-007 | 输入无效密码 | 显示密码无效的提示信息,要求重新输入有效密码 |
| TC-008 | 输入错误原密码 | 显示原密码错误的提示信息,要求重新输入正确原密码 |
表6-3 学生信息添加测试用例
| 测试编号 | 测试内容 | 预期结果 |
| TC-009 | 输入有效的学生信息信息 | 学生信息添加成功,显示添加成功的提示信息 |
| TC-010 | 输入无效的学生信息信息 | 显示添加失败的提示信息,要求重新输入有效信息 |
表6-4 查看班级信息测试用例
| 测试编号 | 测试内容 | 预期结果 |
| TC-014 | 点击查看班级信息 | 显示班级信息页面,展示相关的商品名称、价格、图片等内容 |
| TC-015 | 选择其他分类 | 显示所选分类下的相关班级信息等内容 |
| TC-016 | 无可用班级信息 | 显示暂无班级信息的提示信息,提醒用户重新选择分类 |
综上所述,学生课堂考勤管理系统在功能测试中表现良好,通过了所有测试用例。系统提供的用户登录、修改密码、查看班级信息等主要功能都能正常运行,并能够给出预期的提示信息和结果。然而,为了确保系统的全面稳定性和质量,仍建议进行更多的综合性测试,包括性能测试、安全性测试和用户体验测试等,以进一步验证和改进系统的功能和性能。
本研究设计并实现了基于SSM学生课堂考勤管理系统的设计与实现。通过对系统进行功能测试和评估,得出以下结论:该系统在功能上经过验证,用户登录学生信息、考勤信息管理、签到信息管理管理等功能都能正常运行;技术上具备稳定性和可扩展性,SSM框架简化开发,MySQL数据库支持数据存储与查询;从经济角度看,Java和MySQL均为免费且开源;操作上易用性好,学生课堂考勤管理系统界面简洁明了,SSM的自动化部署与MySQL的管理工具提供便捷操作。学生课堂考勤管理系统在功能、技术、经济和操作上均具有优势。该系统在提高用户考勤管理学习的便捷性的同时,也促进考勤管理行业的发展。未来可以进一步扩展功能和优化性能,以满足用户需求并提供更好的用户体验。
在开发SSM学生课堂考勤管理系统的过程中,我们不仅仅是在实现技术功能,更是在探索如何利用技术创新来改善人们的出行体验。通过SSM和MySQL等技术的运用,成功构建了一个高效、稳定的系统,为用户提供了便捷、智能的学生课堂考勤管理系统。这个过程不仅考验了个人的技术能力,更考验了创新意识和解决问题的能力。在不断优化系统功能和提升用户体验的过程中,深切感受到技术的推动力量,以及科技创新对社会发展的重要意义。希望我们的努力能够为用户带来更便捷、环保的考勤管理选择,让科技的力量持续推动社会进步,为构建更加智慧、可持续的教务系统改革做出贡献。
- 张浩.SSM框架在Web应用开发中的设计与实现研究[J].电脑知识与技术,2023,19(08):52-54.DOI:10.14004/j.cnki.ckt.2023.0353.
- 王彬宇.精准教育理念下智能学生课堂考勤管理系统中的数据分析与反馈机制[J].中国多媒体与网络教学学报(中旬刊),2024,(12):42-45.
- 徐雪梅.学生考勤管理系统的设计和实现[J].科技风,2024,(33):40-41+70.DOI:10.19392/j.cnki.1671-7341.202433014.
- 汪瑞.基于SSM的某高职院校人事管理与分析系统的设计和实现[D].天津大学,2018.DOI:10.27356/d.cnki.gtjdu.2018.002033.
- 曾光辉,何波.混合教学模式在Java程序设计课程中的应用探索[J].科教文汇,2024,(24):79-82.DOI:10.16871/j.cnki.kjwh.2024.24.017.
- 许跃颖.基于敏捷开发的SSM Web应用开发措施[J].电子制作,2021,(16):45-46+22.DOI:10.16589/j.cnki.cn11-3571/tn.2021.16.016.
- 刘江涛,王亮亮,吴庆茹,等.基于B/S模式的铁路勘测设计案例信息化管理系统设计与实现[J].铁路计算机应用,2021,30(03):32-35.
- 陈杰,方国才,方水波.基于MySQL的多地多中心系统架构研究[J].机电工程技术,2025,54(03):175-181.
- 金江.基于Java Web的SSM学生课堂考勤管理系统设计[J].现代信息科技,2024,8(17):105-110.DOI:10.19850/j.cnki.2096-4706.2024.17.020.
- 马艳艳,吴晓光.计算机软件与数据库的设计策略分析[J].电子技术,2024,53(05):104-105.
- 谢家兴,黄涛.提档赋能备好实战“金考卷”天门市应急管理考试中心提档升级侧记[J].湖北应急管理,2025,(03):44-45.
- 于秀明,宋丹,沙莎.基于SSM框架的电气类课程在线教育平台设计[J].无线互联科技,2025,22(03):85-88.
- Liu Y .Design and Implementation of a Student Attendance Management System based on Springboot and Vue Technology[J].Frontiers in Computing and Intelligent Systems,2024,8(1):91-97.
- 曹智.基于SSM框架的企业人事管理考勤系统的设计与实现[D].电子科技大学,2019.DOI:10.27005/d.cnki.gdzku.2019.000414.
- Becerra A ,Rosa L D I J ,Velásquez J D E , et al.Portable student attendance management module for university environment by using biometric mechanisms[J].Multimedia Tools and Applications,2024,83(1):1215-1239.
- 胡胜丰,康美林.高校学生考勤统计分析系统设计[J].电脑编程技巧与维护,2021,(10):13-15.DOI:10.16184/j.cnki.comprg.2021.10.004.
- 王向伟,黄晟.基于数据共享平台的学生考勤系统设计与实现[J].河南科技,2021,40(04):41-43.
- 郝佳晶.高校学生考勤综合管理平台的设计研究[J].信息记录材料,2022,23(05):151-153.DOI:10.16009/j.cnki.cn13-1295/tq.2022.05.009.
- 唐琳.基于人脸识别技术的学生课堂考勤管理系统的设计与实现[J].数字技术与应用,2023,41(09):208-210.DOI:10.19695/j.cnki.cn12-1369.2023.09.65.
- 徐雪梅.学生考勤管理系统的设计和实现[J].科技风,2024,(33):40-41+70.DOI:10.19392/j.cnki.1671-7341.202433014.
在本文的最后,我要对许多人表示诚挚的感谢,他们为SSM学生课堂考勤管理系统的设计与实现的研发和完成做出了重要的贡献。首先,我要感谢我的导师,您给予了我悉心的指导和支持,在选题和研究过程中提供了宝贵的意见和建议。您的专业知识和严谨态度使我受益匪浅,让我能够顺利地完成毕业设计。其次,我要感谢我的同学和朋友们,你们在我写作和排版过程中给予了热情的帮助和鼓励。与你们一起度过的大学生活是我宝贵的回忆,你们的友谊让我感到无比温暖和快乐。
此外,我也要感谢那些为我们提供参考和指导的学者和专家们。他们的研究成果为我们的论文提供了宝贵的指导,使我们能够更好地理解问题和展开思考。
最后,我要感谢我的家人和爱人,你们一直以来对我无条件的支持和理解让我能够专注于学业。你们的鼓励和陪伴是我坚持不懈的动力。
在这段时间里,我收获了很多宝贵的经验和知识。尽管我的能力有限,但我会继续努力去完善这篇论文,并且真诚地希望各位老师和同学们能够给予宝贵的指导与意见。
最后,再次向所有支持和帮助过我的人表示深深的感谢!我会将所学所得用于实践,为社会做出自己的贡献。
免费领取项目源码,请关注❥点赞收藏并私信博主+v
589

被折叠的 条评论
为什么被折叠?



