目录
上章我们学习了线性规划模型,今天让我们来学习一下非线性规划吧!非线性规划在工程、管理、经济、科研、军事等方面都有广泛的应用,为最优设计提供了有力的工具。
1 模型含义
非线性规划(nonlinear programming)具有非线性约束条件或目标函数的数学规划,是运筹学的一个重要分支。非线性规划研究一个n元实函数在一组等式或不等式的约束条件下的极值问题,且目标函数和约束条件至少有一个是未知量的非线性函数。目标函数和约束条件都是线性函数的情形则属于线性规划。

(1)确定供选方案: 首先要收集同问题有关的资料和数据,在全面熟悉问题的基础上,确认什么是问题的可供选择的方案,并用一组变量来表示它们;
(2)提出追求目标:经过资料分析,根据实际需要和可能,提出要追求极小化或极大化的目标。并且,运用各种科学和技术原理,把它表示成数学关系式;
(3)给出价值标准:在提出要追求的目标之后,要确立所考虑目标的“好”或“坏”的价值标准,并用某种数量形式来描述它。
( 4)寻求极限条件:由于所追求的目标一般都要在一定条件下取得极小化或极大化效果,因此还需要寻找出问题的所有限制条件,这些条件通常用变量之间的一些不等式或等式来表示。
2 模型建立
对实际规划问题作定量分析,必须建立数学模型。建立数学模型首先要选定适当的目标变量和决策变量,并建立起目标变量与决策变量之间的函数关系,称之为目标函数。然后将各种限制条件加以抽象,得出决策变量应满足的一些等式或不等式,称之为约束条件。
非线性规划问题三的一般数学模型可表述为求未知量 x1,x2,...,xn,使满足约束条件:

并使目标函数f(x1,…,xn)达到最小值(或最大值)。其中f,gi和hj都是定义在n维向量空间Rn的某子集D(定义域)上的实值函数,且至少有一个是非线性函数。
定义域D中满足约束条件的点称为问题的可行解。全体可行解所成的集合称为问题的可行集。对于一个可行解x*,如果存在x*的一个邻域,使目标函数在x*处的值f(x*)优于(指不大于或不小于)该邻域中任何其他可行解处的函数值,则称x*为问题的局部最优解(简称局部解)。如果f(x*)优于一切可行解处的目标函数值,则称x*为问题的整体最优解(简称整体解)。实用非线性规划问题要求整体解,而现有解法大多只是求出局部解。
3 模型例题与求解
MATLAB中非线性规划的数学模型可写成如下形式:

式中c(x) ,ceq(x)为非线性向量函数。
Matlab中的命令是:
[x,fval] = fmincon(fun,x0,A,b,Aeq,beq,lb,ub,nonlcon,options)
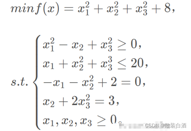
例:求解下面这个问题

matlab代码如下:
function f = fun1(x);
f = sum(x.^2)+8;
function [g,h] = fun2(x);
g = [-x(1)^2+x(2)-x(3)^2
x(1)+x(2)^2+x(3)^3-20]; %非线性不等式约束
h = [-x(1)-x(2)^2+2
x(2)+2*x(3)^2-3]; %非线性等式约束
[x,y] = fmincon('fun1',rand(3,1),[],[],[],[],zeros(3,1),[],'fun2')
文章介绍了非线性规划的概念,包括其在各个领域的应用,以及模型的四个关键步骤:确定方案、提出目标、给出价值标准和寻求极限条件。模型建立涉及目标函数和约束条件,而MATLAB提供了fmincon函数用于非线性规划问题的求解。文中还给出了一个使用MATLAB求解的例题,展示了如何处理非线性不等式和等式约束。
1万+

被折叠的 条评论
为什么被折叠?



