目录
线性规划模型是常见的数学模型之一,在经济和规划管理发挥着重要作用。
1 模型的含义
线性规划(LP问题),是运筹学中研究较早、发展较快、应用广泛、方法较成熟的一个重要分支,它是辅助人们进行科学管理的一种数学方法。研究线性约束条件下线性目标函数的极值问题的数学理论和方法。
线性规划广泛应用于军事作战、经济分析、经营管理和工程技术等方面。为合理地利用有限的人力、物力、财力等资源作出的最优决策,提供科学的依据。
2 模型假设
2.1 比例假设
在线性规划中,目标函数的系数是固定的常数,但是在现实生活中不见得如此,比如考虑目标函数是计算采购蔬菜计划的总花费。那么可能会面对“2元钱1个,3元钱2个”的这种促销,这时线性规划的目标函数就无法表示。
2.2 非负假设
线性规划的决策变量要求是非负数,但是不要求是非负整数,所以可以取小数。这同样有局限性,依然以采购蔬菜的问题为例,如果需要买土豆,但是土豆只能按整袋来卖的话,那么表示买土豆数量的决策变量就只能取整数了。
2.3 确定性假设
线性规划中像是目标函数的系数,线性约束中的常数与决策变量的系数,都是已知且保持不变的常数。但是有些参数在实际中是会变化的,通常参数变化的范围是已知的,这就涉及到鲁棒优化(robust optimization)、随机优化(stochastic optimization)等领域的内容了。
3 模型建立
线性规划三要素为决策变量,目标函数,约束条件;因此建立数学模型一般分三个步骤:
1、根据影响所要达到目的的因素找到决策变量;列出约束条件及目标函数
2、由决策变量和所在达到目的之间的函数关系确定目标函数;画出约束条件的可行域
3、由决策变量所受的限制条件确定决策变量所要满足的约束条件;
在可行域内求目标函数的最优解及最优值
4 模型例题与求解
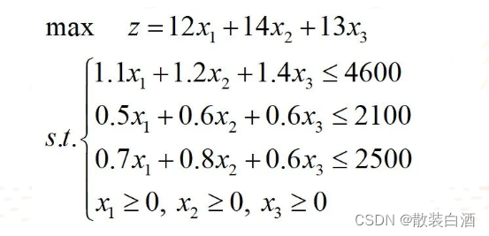
某厂生产三种产品,每种产品生产需经过三道工序:选料、提纯和调配。根据现有的生产条件,可确定各工序有效工时、单位产品耗用工时及利润如表所示。试问应如何安排各种产品的周产量,才能获得最大利润?

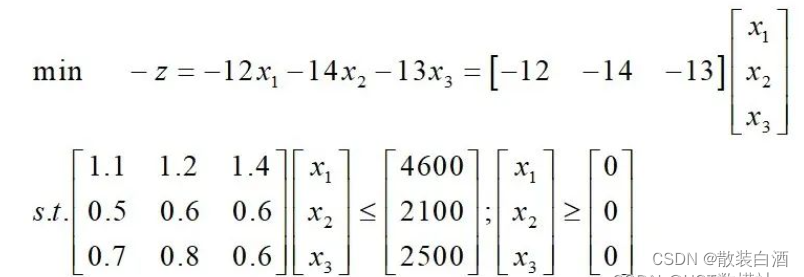
数学模型如下:


5 matlab代码
c = [-12,-14,-13];
A= [1.1, 1.2, 1.4; 0.5, 0.6, 0.6; 0.7, 0.8, 0.6];
b= [4600; 2100; 2500];
Aeq=[];
beq=[];
lb=[0; 0; 0];
ub=[];
[x,fval]= linprog(c,A,b,Aeq,beq,lb,ub)
线性规划是一种在经济和管理中广泛应用的数学模型,涉及比例假设、非负假设和确定性假设。模型包括决策变量、目标函数和约束条件。文章提供了一个生产计划的案例,展示如何通过线性规划求解最大利润问题,并给出了MATLAB代码示例。
704

被折叠的 条评论
为什么被折叠?



