Bidirectional Loss Function for Label Enhancement and Distribution Learning
motivation
对于大多数现有的 LDL 和 LE 算法,输入矩阵的维数远高于输出矩阵的维数这一事实总是被忽略,并且通常由于单向投影而导致维数减少。 隐藏在特征空间中的有价值的信息在映射过程中丢失了
method
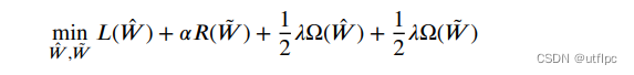
提出了可同时应用于 LE 和 LDL 问题的双向投影函数,其不仅考虑了从输入空间到输出空间的投影产生的映射误差,而且还考虑了从输出空间投影回输入空间产生的重构误差。
Bi-directional for Label Enhancement
loss function

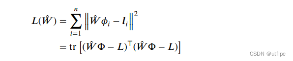
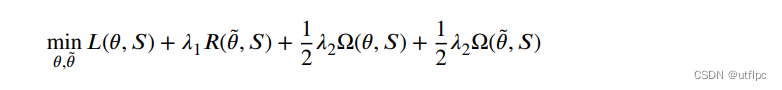
LLL是数据映射的损失函数,RRR是数据重构的损失函数。
mapping loss function

reconstruction loss function

tied weights (权重绑定)

W~∗\tilde{W}^*W~∗最佳的重构参数
new loss function

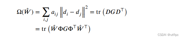
manifold regularization


di=W^ϕid_i= \hat{W}\phi_idi=W^ϕi
final loss function

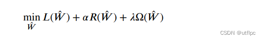
Bi-directional for Label Distribution Learning
loss function




2240

被折叠的 条评论
为什么被折叠?



