在极限中,张宇老师引入了超实数的概念
一、定义

二、三大性质
1. 唯一性
如果limx→x0f(x)\lim \limits_{x \to x₀}f(x)x→x0limf(x),那么极限唯一。

2. 局部有界性

3. 局部保号性

三、无穷小
limx→x0f(x)=0\lim \limits_{x \to x₀}f(x)=0x→x0limf(x)=0
1. 无穷小的性质
- 有限个无穷小的和是无穷小
- 有界函数与无穷小的乘积是无穷小
- 有限个无穷小的乘积是无穷小
2. 无穷小的比阶

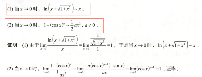
3.常用的等价无穷小

四、无穷大
只要知道定义即可
五、计算
(一)方法
1. 极限四则运算法则

非常非常重要的结论
- limf(x)g(x)=A\lim\frac{f(x)}{g(x)}=Alimg(x)f(x)=A,且 limg(x)=0\lim \limits_{}g(x)=0limg(x)=0,则limf(x)=0\lim \limits_{}f(x)= 0limf(x)=0
- limf(x)g(x)=A≠0\lim\frac{f(x)}{g(x)}=A≠0limg(x)f(x)=A=0,且 limf(x)=0\lim \limits_{}f(x)=0limf(x)=0,则limg(x)=0\lim \limits_{}g(x)=0limg(x)=0
2. 洛必达
2.1. 定义

2.2. 由洛必达得出两个重要的等价替换

2.3. 洛必达判断大小关系

3. 泰勒公式
3.1. 公式

泰勒补充:

3.2. 展开原则

4. 夹逼准则

(二)七种未定式的计算

六、函数的连续与间断
本质上是极限的计算
1. 连续点的定义
设函数f(x)在点x₀的某一邻域内有定义,且有limx→x0f(x)=f(x0)\lim \limits_{x \to x₀}f(x)=f(x₀)x→x0limf(x)=f(x0),则称f(x)在点x₀处连续。

2. 间断点的定义与分类
以下设函数f(x)在点x₀的某去心邻域内有定义 要考虑双侧, 这是讨论间断点的前提,就比如在开区间(a,b)讨论a点的是否间断,没有意义
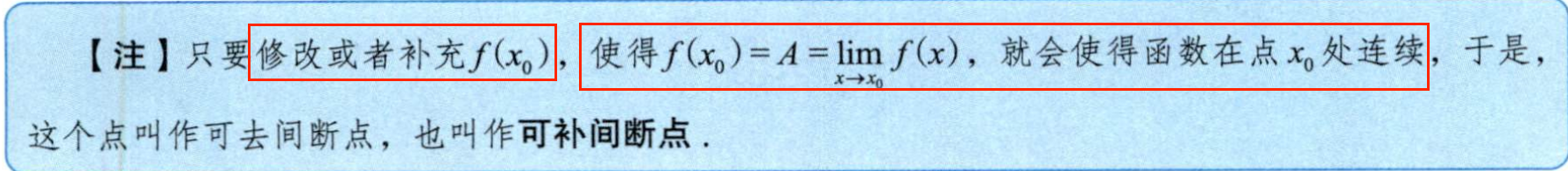
2.1. 可去间断点(第一类间断点)
若limx→x0f(x)=A≠f(x0)\lim \limits_{x \to x₀}f(x)=A≠f(x₀)x→x0limf(x)=A=f(x0)(甚至在该点可以无定义,如 1x\frac{1}{x}x1),则 x = x₀ 称为可去间断点 .

2.2. 跳跃间断点(第一类间断点)

2.3. 无穷间断点(第二类间断点)

2.4. 振荡间断点 (第二类间断点)
limx→x0f(x)振荡不存在,则称x=x0为振荡间断点\lim \limits_{x \to x₀}f(x)振荡不存在,则称x=x₀为振荡间断点x→x0limf(x)振荡不存在,则称x=x0为振荡间断点。
4439

被折叠的 条评论
为什么被折叠?



