使用移动聚合器的物联网高效密钥管理
摘要
在物联网(IoT)中管理密钥具有挑战性。本提出的工作旨在针对特定应用场景设计一种高效的密钥管理协议,以实现设备的安全连接并最小化节点捕获攻击。目前已为无线传感器网络(WSN)和联网设备实施了多种协议。我们提出了一种基于组合设计的、带有移动接口的物联网设备密钥管理协议。移动设备遵循专用路径,从网络中已部署的设备安全地收集数据。我们还将本工作与现有协议及若干移动模型进行了比较。
关键词: 物联网 · Key predistribution · WSN · Combinatorial design
1 引言
物联网(IoT)中智能和直观设备的连接性带来了令人振奋的机遇。凯文·阿什顿(麻省理工学院自动识别技术联合创始人)于1982年提出“物联网(IoT)”这一术语,并在1999年的会议上将其定义为“物”。国际电信联盟(ITU)和欧洲物联网研究集群(IERC)[1]正式将其定义为:“物”是商业、信息和社会流程中的积极参与者,能够通过交换感知到的环境信息与自身及环境进行交互与通信,同时自主响应现实/物理世界事件,并通过运行触发动作和创建服务的过程对其产生影响,整个过程可无需直接人为干预。
1.1 物联网与安全
物联网由构成系统的物品组成,系统内包含的传感器通过无线和有线互联网连接接入互联网。这些连接在局域网中可以采用射频识别、无线保真(Wi‐Fi)、蓝牙、近场通信(NFC)和Zigbee技术;在广域网连接中则需要使用全球移动通信系统/码分多址、通用分组无线服务以及第三代/第四代/长期演进技术。
物联网的唯一目的是实现机器对机器、机器对人以及人对人之间的通信与连接。简而言之,我们可以说,物联网中的智能设备是传感器与执行器、连接性以及人与流程的结合体。物联网还伴随着一种愿景,即日常生活中各个物品能够测量、跟踪并分析有关环境的有用信息,从而为识别、管理和控制提供便利。物联网在私人和公共领域拥有广泛的应用,包括医疗保健、商品生产及其运输、石油/天然气、军事应用等。
由于物联网旨在实现无处不在的存在,通信水平和数据交换量不断增加。物联网融合了无线传感器网络、蓝牙、移动通信网络等技术,不仅涉及现有的安全问题,还引发了更多问题,如隐私保护问题、网络认证和访问控制、数据存储与管理。安全是物联网设备的关键组成部分。然而,组织和个人对物联网特有的安全需求缺乏理解,这在一定程度上影响了其发展潜力。因此,在设计物联网环境时,首先需要了解特定应用的具体需求,然后可以在物联网设备的安全性与性能之间进行权衡。随着物联网的蓬勃发展,将需要管理大量异构设备。在这种背景下,如何同时管理分布在不同位置的各种传感器和设备成为一个至关重要的问题。密钥管理为在网络中安全地管理这些设备提供了有效途径,并能最大限度降低设备被窃取的风险。
1.2 物联网中的密钥管理
密钥管理是用于保护物联网设备的重要组成部分,能够促进端到-end安全并减轻各种风险。一种高效且新颖的方法可以安全地对设备进行身份验证。然而,物联网中的密钥管理面临诸多挑战。支持物联网的设备大多无人值守。密钥管理为网络中设备之间的通信提供了安全的方式。目前已为无线传感器网络、自组织网络、WiFi等技术提出了多种密钥管理方案并加以实施。基于这些技术的现有协议,其中少数被应用于物联网。智能设备的引入也带来了诸多安全方面的担忧。对称密钥加密为设备中的密钥管理提供了更快的方式。然而,设备具有“资源受限”特性,通常包含传感器和多种技术组合,其CPU处理能力和存储空间有限。安全性与性能之间始终存在权衡。因此,需要一种高效的密钥管理协议来安全地使用或监控设备。
2 背景
在密码学中,密钥被广泛使用,从凯撒密码到Diffie‐Hellman、RSA的私有或公有方式。这些协议中涉及的密钥通常需要正确生成、分发和使用,简而言之,它们需要得到妥善管理。每当在可疑的环境中需要安全通信时,大部分情况下都会使用密钥管理。
2.1 密钥管理
密钥管理是一个普遍存在的术语,涉及加密密钥的整个过程。如果第二个设备在第一个设备的范围内(将范围视为一个圆),或者它们之间存在公共密钥,则物联网设备可以通过互联网与另一设备“通信”。为了管理密钥,密钥管理协议遵循密钥的生命周期。该生命周期从密钥生成开始,然后是密钥分发与建立、密钥存储、密钥使用、密钥更新,最后以密钥销毁结束。
我们讨论的是密钥生成之后的阶段,即密钥分发与建立。密钥管理方案大致分为:密钥预分配、会话密钥协商和密钥协商。在我们的协议中,采用密钥预分配作为密钥管理方案。
2.2 密钥预分配
密钥预分配被定义为在部署前将密钥分发到节点,即密钥预分配是在部署之前将密钥分发到节点的方法。因此,节点在部署后(即到达目标位置后)利用其密钥建立网络。
关于密钥预分配的首篇文献由R. Blom于1985年发表[2]。此后提出了许多方案。一个密钥预分配方案包含三个阶段[3],它们是密钥预分配、共享密钥发现和路径密钥建立。密钥预分配阶段涉及从密钥池中选择一组密钥以形成一个组。下一阶段,即共享密钥发现阶段,处理两个节点之间的通信,以及当它们处于彼此的通信范围内时如何获得一个公共密钥。在路径密钥建立阶段,如果两个节点A和B能找到一个中间节点C,且该中间节点与它们各自共享一个公共密钥,则A和B可以通过该中间节点进行通信。
无线传感器网络通常需要网络的完全连通性。为了设计具有完全连通性的无线传感器网络,密钥可以通过两种主要方式进行预分配:第一种是为整个系统拓扑结构使用一个单一的主密钥,称为主密钥预分配;第二种是成对密钥预分配,其中密钥以离散的方式进行预分配。主密钥预分配具有可扩展性,并能确保网络拓扑的完全连接性。但一旦某个节点被捕获,其整个设计系统将暴露给攻击者。为了抵御此类攻击,可以采用成对密钥分发,因为密钥的分发方式使得单个节点的攻击不会在更大范围内造成影响。
无线传感器网络的密钥预分配方案大致可分为三类:随机、基于多项式和组合设计[4]。基于多项式的密钥预分配是概率性的,而组合设计的密钥预分配是确定性的。在我们提出的工作中,我们采用组合设计。
2.3 组合设计
组合设计理论研究的是将给定有限集合的元素以某种可能的方式排列成子集,以满足由其本质确定的特定性质。它描述了具有明显规则性特征和模式的子集族。组合设计具有可区分的“模式”,这种独特而有趣的特性在共享密钥发现和路径密钥建立中变得非常有用。使用组合设计可在计算和通信复杂度方面使这两者都非常高效。米切尔[5]首次提出利用组合设计在网络中进行密钥分发的设计。随后,鲁伊和罗伊[6]提到了这一对比特性。
集合系统或设计表示为 (X, A),其中 X 和 A 构成一个对,A 是 X 的子集构成的集合,这些子集称为区组。在集合设计中,全集 S 的元素被称为元素,blocks 是从中选出的子集。一些常见的设计如 [7,8] 所示:
平衡不完全区组设计 (BIBD) 该设计表示为 (v, b, r, k, λ),其中v表示可区分的对象,b用于区组。每个区组b包含k个不同的对象。k中的每一个恰好出现在r个不同的区组中,每一对不同的k恰好共同出现在 λ个区组中。其中:λ(v−1) = r(k −1) 且 bk = vr。对称BIBD (SBIBD)满足 v = b。帕塔纳亚克 [3]给出了 q = 4(非素数)的组合设计。
评估指标
以下讨论了衡量密钥管理协议的重要因素。
-
密钥连通性
是指两个节点共享一个或多个密钥,从而能够安全地建立通信链路的概率。
-
可扩展性
是指在现有密钥池的基础上,向网络中添加新节点并为其分配密钥链的能力。
-
通信开销
是指密钥管理协议执行过程中交换的传输消息数量。
-
弹性
是指在网络遭受攻击后仍保持未被攻破的节点数量。
-
计算开销
是指建立节点间共享密钥所需的计算量(CPU周期数)。
-
存储开销
是指单个节点用于存储密钥所需的内存容量。
-
移动性
是指设备在网络中遵循的路径(基于移动模型),用于数据聚合等目的。
2.4 移动性
随着电子技术和互联网的迅速发展,推动了智能移动设备的发明。智能手机就是一个例子,其屏幕具有吸引人的功能。移动性是这些智能设备的基本特征,在各种情况下都非常方便。在物联网环境中,具有移动性的设备可以增加显著优势。在网络中移动的元素在到达节点时可以从传感器节点收集数据。
在设备中引入移动性可以有效避免多跳通信,从而减少中继开销,同时还可以沿着预定路径为设备/传感器充电。节点的移动性大致可分为随机、可预测或受控。以数据骡子(人类和动物)为例,可将一个移动元素安装为“数据骡子”,并根据预设坐标进行移动。使用可预测的移动元素类似于将传感元件安装在公车上。静态设备或节点能够感知公交车何时靠近,并按需唤醒以进行通信,此外还可能具备由公交车为节点充电或反向充电等功能。受控移动性是指基于给定坐标的移动方式,其中被编程的节点作为移动设备沿预定路径移动,其速度可根据特定需求、通信可用性以及节点分布情况进行调整。基于这些,已定义了多种移动模型,如[9]所示。
萨姆桑达拉等人 [10]讨论了车辆路由问题(VSP)以及节点移动性中的各种问题。现有的密钥管理和移动性协议已根据评估指标进行了评估。布卢姆和布伦多方案在弹性方面具有x‐安全性,其中x表示在总节点数中保持安全的节点数量 [2,6]。鲁杰方案对节点捕获攻击表现出高弹性,并且相比其他两种方案所需存储空间更少。这三种方案均声称支持全移动网络。然而,它们并未提及选择特定移动节点以在网络中同时执行数据聚合任务。[10]中的协议描述了移动性如何在各种应用中发挥作用,但该协议未涉及任何安全方面的内容。在本项目中,我们的目标是提供一种协议,通过这些聚合移动节点确保网络中的安全通信任务。
2.5 示例场景
让我们考虑一个位于偏远地区的军事基地。在这里,我们需要监控各种情况,例如车队在桥梁上的移动,以检查校园内两点之间连接桥梁的状况。此外,还可以监控该地区的气候条件。为了安全地完成这些活动,需要一种高效协议,能够有效执行任务并向相关机构报告。
3 提出的工作
本节描述了我们利用组合设计并实现聚合代理移动性的提出的工作和解决方案框架。
3.1 问题定义
我们设想了一种由物联网设备组成的网络场景。该组设备形成一种分层拓扑结构,需要在网络中任意两个合法设备之间实现端到端安全。我们还考虑通过高效协议实现数据的安全交换和移动通信。在此场景下,考虑了以下特性:
- 一种高效的密钥管理协议,可为物联网设备提供端到-end安全。
- 由于设备和传感器资源有限(存储与计算),需要一种具有最优存储的协议。必须进行良好的设计,以合理且安全地使用物联网设备。
- 对于网络中的部分选定节点,应支持移动性。这些移动节点将沿预定义路径遍历。
- 移动节点是一种数据聚合器,通过在网络中的设备/节点之间遍历实现数据聚合。该节点预期比网络中普通的传感器节点具有更高的能量。
- 由于数据聚合会显著消耗聚合节点的能量,因此需要实施高效协议以降低聚合器的能量消耗速率。
- 所有通过移动节点聚合的数据最终应传输至汇聚节点。汇聚节点具备比移动节点和传感器节点更强的计算能力和存储资源。
为了达到高效协议的标准,我们考虑以下细节。
- 基于方形网格的分层拓扑。如图1(b)所示,传感器节点和设备可随机部署在所考虑环境的偏远和角落区域。
- 一组具有素数阶的设备,共 q个,总计 q² + q + 1台设备。
- 在方格网上采用SBIBD设计,通过为密钥分配相应的密钥标识符,预先分发 q + 1个密钥至各 q² + q + 1设备中。
- 在 q² + q + 1台设备中,有 q台设备具有移动性,而 q² + 1台设备具有固定位置坐标。
- 移动模型:曼哈顿模型、随机游走和随机路点。
对于该网络模型,我们做出以下假设:
1. 汇聚节点(S)是诚实的。
2. 代理节点(M)被视为移动的,而设备(D)将是固定的,但可以随机部署。
3. 部署前网络未被破坏。
4. 攻击者能力有限。可能存在内部和外部攻击者。
3.2 解决方案框架
考虑一种分层系统设计。让我们考虑一个偏远地区军事区域的场景,其中部署了传感器节点。以下总结了针对问题定义所提出的解决方案框架。
- 传感器节点和设备(D)将针对特定任务,大量部署且计算能力有限,仅满足所需用途。
- 代理节点(M)根据来自[9]的移动模型,在专用路径上访问每个设备。在给定网络中,采用基于组合设计的密钥预分配方式进行密钥部署。
- 在移动代理的共享密钥发现中,代理设备在专用路径上访问每个节点。共享密钥发现算法通过SBIBD设计实现。按照密钥预分配方案,在完成共享密钥发现后需进行路径密钥建立。而我们则实现了 q传感器节点、节点与移动性的结合。
- 代理的移动性已在三种移动模型上实现:曼哈顿网格、随机路点和随机游走。根据这三种模型生成的位置,移动节点沿预定路径移动。移动节点沿路径行进,并使用从共享密钥发现中获得的共享密钥与路径上遇到的节点通信。引入移动性消除了密钥预分配中的路径密钥建立阶段,以最优成本提供了更优的替代方案——针对所设计网络的重新密钥分配。
3.3 设计
所提出的方案在基本的预分配方案基础上更进一步。在物联网系统部署之前,网络的拓扑结构必须具有明确的设定,从一个相对巨大的密钥池中提取密钥。然而,我们现在将设计用于小规模场景,例如在受控移动设备的办公室中操作少量智能设备。以下简要描述该方案的设计。
组合设计
我们使用一种SBIBD横截设计来生成密钥池,并将其分发到网络中。一个有限射影平面由一组有限的点P和P的一些子集(称为线)组成。对于素数幂q,一个有限射影平面包含 q² + q + 1个点,q² + q + 1条线,其中每条线包含 q + 1个点,每个点出现在 q + 1条线中。如果我们将线视为区组,点视为元素,则阶q的有限射影平面是一种对称平衡不完全区组设计,即SBIBD。
该设计的优点在于任意两个节点将共享一个公共密钥。基于此设计,我们将我们的集合系统映射到物联网环境,如表1所示。考虑一个集合系统(X, A)。
X={0, 1, 2, 3, 4, 5}
A={{0, 1, 2},{0, 1, 3},{0, 2, 4},{0, 3, 5},{0, 4, 5},{1, 2, 5},{1, 3, 4},{1, 4, 5},{2, 3, 4},{2, 3, 5}}。
这里,该集合系统构成一个BIBD设计(v, b, r, k; λ),其中v = |X| = 6, |A| = b= 10, r= 5, k= 3且 λ= 2。本示例的BIBD设计可表示为BIBD(6, 10, 5, 3; 2)。这是一个参数如下所述的基本BIBD设计:
- b表示密钥池的大小,v表示节点/设备数量。|A| 中的每个子集恰好包含r个元素,表示密钥链长度。
- 任意一对节点之间恰好有 λ个共同密钥。拓扑结构中的两个节点至少共享 λ个密钥。该参数在实现移动性时被认为非常重要,因为移动节点在其访问期间需要与感知节点建立连接。 λ需要谨慎选择,以确保节点对之间的安全性更优:既不能过少而影响通信,也不能过多而带来弹性风险。
| 区组 | 设备或传感器 |
|---|---|
| 元素 | 密钥标识符 |
| 每个区组中的元素 | 每个传感器中的密钥 |
密钥预分配
在密钥预分配中,采用PG(2, p)的密钥预分配方法 [6]针对特定的方格网来生成密钥池,或更准确地称为密钥表。在此设计结构中,每个密钥标识符及其对应的密钥形式分别为(i, j, k)和(x, y, z)。设备的密钥标识符基于素数幂p。每个密钥标识符节点都将包含 p + 1存储在其内的密钥。我们将传感器/设备以(1, j, k)、(0, 1, k)和(0, 0, 1)的形式进行索引,其中j, k∈ GF(p)。因此,设备总数为 p² + p + 1个。类似地,节点中存在的密钥由(x, y, z)进行索引,其中x, y, z ∈ GF(p)。密钥标识符为
3.4 重新密钥分配
为了更新用于密钥预分配的密钥池,我们需要更新素因子 q的值。这将导致为 q² + q + 1个设备生成新的密钥表。该操作开销较大,仅在需要拓扑扩展时使用。因此,为了最小化此成本,在设计网络时需要优化选择设备数量。例如,如果我们需要50个设备,那么q = 7将提供57个设备的密钥,因此密钥池表中会剩余7个未使用的行。这7个节点可用于更新节点标识符中的密钥链。本文未对重新密钥分配进行深入分析。
4 实验结果
我们在Intel Core i7 CPU上进行了提出的工作的实验。我们使用ContikiOS结合Cooja仿真器来评估所提出的协议的模型和不同的移动性场景。
4.1 实现
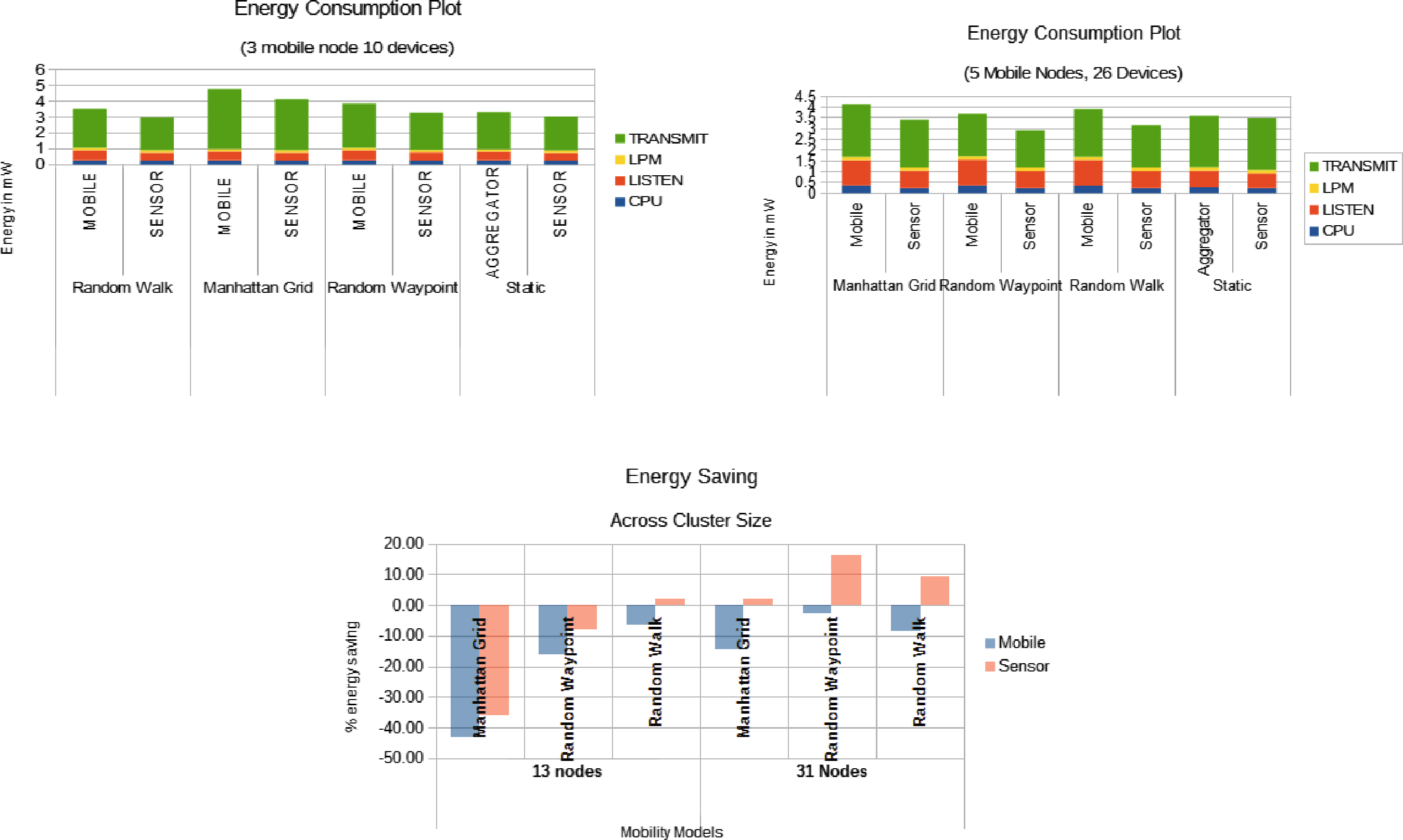
我们选取了两个素数q的值以及三种移动模型(曼哈顿网格、随机游走和随机路点)进行仿真。对于传感器,我们采用了符合cc2420 2.4 GHz IEEE 802.15.4的射频收发器。网络拓扑由 q² + q + 1个设备组成,其中包括 q个移动节点和 q² + 1个固定节点:密钥根据SBIBD设计分发给13个设备。当素数q取值为= 3时,总共可部署13个设备。在 q² + q + 1中,有 q具备启用移动性的权限。其中,3个设备为移动节点,其余10个为固定部署。当q为= 5时,总共可部署31个设备。其中,5个设备为移动节点,其余26个具有固定的坐标。网络中的每个设备拥有 q + 1即6个密钥,这些密钥从密钥表中分发至31个设备,类似于之前13个节点的情况。
4.2 结果
我们讨论了在所提出的框架上进行的仿真结果。在我们的仿真环境中,我们选取了两个素数 q= 3 & 5,分别得到 13 和 31 个节点。类似地,也可以对接下来的素数 q = 7、11、13 等进行相同操作。我们采用了小规模且紧凑的设计来模拟所提出的协议的结果。
- 总节点数 = q² + q + 1 & 每个节点的密钥数 = q + 1。
- 低功耗模式(LPM)、CPU计算、传输和监听模式的能量测量值。
- 移动性:曼哈顿网格、随机游走和随机路点。
在本节中,我们比较了在协议中提出的将移动性引入聚合过程的结果。我们比较了传感器节点和聚合节点的能耗。使用能量测量值(Energest)来衡量低功耗模式(LPM)、CPU计算、传输和监听模式下的能耗。能量测量值(Energest)并不直接给出功率,而是以定时器滴答的形式提供所需数据。我们每隔10秒记录每个节点的这些值。公式2用于根据能量测量值(energest)读数计算总功耗。
$$
\text{Energy(in mW)} = \frac{1.8 \times CPU + 0.545 \times LPM + 20 \times Rx + 17.7 \times Tx}{RTIMER_SECOND \times 0.33 \times 10}
$$
天空节点的RTIMER秒为37628。我们在两种不同的拓扑结构中计算能量消耗。一种由3个移动节点和10个传感器节点组成(q= 3)。另一种拓扑结构由5个移动节点和26个传感器节点组成,满足密钥分发条件,其中q−5。我们将三种不同移动模型在给定拓扑结构中的能量需求与静态节点布置进行比较,如图2所示。
我们还在给定的拓扑结构中比较了不同移动模型下的节能效果。可以观察到,尽管在13节点簇中,静态聚合节点位于随机位置时的表现优于移动模型,但当聚合节点为移动而非静态时,高节点数量下可获得显著的节能效果。此外,节能效果取决于所实现的移动模型。可以观察到,与静态聚合相比,随机游走模型实现了最大的能量减少。比较结果如图2(c)所示。
我们将所提出的具有移动性的密钥管理协议与[2,6,10,11]中给出的方案进行了比较。从图2(a)可以推断出,当节点数量增加时,采用移动聚合器的网络在节能方面有显著提升。图2总结了所提出的协议的对比结果。我们还观察到,在三种不同的移动模型中,随机路点模型为我们的密钥管理所提出的协议提供了最大的节能效果。
5 结论
与现有方案相比,我们提出的解决方案具有多项优势。由于采用了组合设计和高效的密钥分发,该方案对存储需求更少。同时表现出较强的抗节点捕获攻击能力。为代理引入移动性进一步提高了效率,并在网络模型中提供了更好的通信和信息可用性服务。该协议的一个主要优势是消除了路径密钥建立阶段的复杂性。作为未来的工作,将研究各种密钥管理采用高效的重新密钥分配技术的无线传感器网络方案可集成以获得有价值的结果。在可能包含多种应用的拓扑结构中,我们可以拥有基于素数阶 q的应用。这将形成一种混合设计。每个应用将拥有其自身的移动节点和根据 q值设计的密钥表。还可以结合路由算法以实现更优的移动特性。
2038

被折叠的 条评论
为什么被折叠?



