参考博文:
NDT 公式推导及源码解析(1)
NDT点云配准算法原理及PCL实现
原始论文:
【1】Scan Registration for Autonomous Mining Vehicles Using 3D-NDT
【2】The Three-Dimensional Normal-Distributions Transform — an Efficient Representation for Registration, Surface Analysis, and Loop Detection
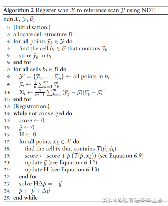
该算法的核心流程如下截图:

LZ用C++和PCL库简单实现了一下(未使用PCL中ndt算法的api)。发现该算法在点云初始位姿较好时可以精调优化位姿(怎么感觉和LZ之前了解的ndt算法一般用于粗配准不太一样?),初始位姿较差时难以收敛。下面的代码写的比较粗糙,上图原理基本上都实现了。不过只实现了第一次迭代,后续迭代过程LZ看了PCL中的ndt.hpp源码,需要使用高斯牛顿法求最小值,其中牵涉到了梯度下降方向,步长等问题(可见ComputeStepLengthMt函数),在源代码里也提到了论文名称,原理比较复杂就没有继续深究了。
#include <iostream>
#include <Eigen/Eigenvalues>
#include <pcl/io/pcd_io.h>
#include <pcl/point_types.h>
#include <pcl/filters/voxel_grid.h>
#include <pcl/common/common.h>
#include <pcl/common/transforms.h>
#include <pcl/search/kdtree.h>
int main(int argc, char** argv)
{
pcl::PointCloud<pcl::PointXYZ>::Ptr target_cloud(new pcl::PointCloud<pcl::PointXYZ>);
pcl::io::loadPCDFile("room_scan1.pcd", *target_cloud);
pcl::PointCloud<pcl::PointXYZ>::Ptr source_cloud(new pcl::PointCloud<pcl::PointXYZ>);
pcl::io::loadPCDFile("room_scan2.pcd", *source_cloud);
pcl::PointCloud<pcl::PointXYZ>::Ptr source_cloud_filtered(new pcl::PointCloud<pcl::PointXYZ>);
pcl::VoxelGrid<pcl::PointXYZ> voxel_filter;
voxel_filter.setLeafSize(0.2f, 0.2f, 0.2f);
voxel_filter.setInputCloud(source_cloud);
voxel_filter.filter(*source_cloud_filtered);
pcl::PointCloud<pcl::PointXYZ>::Ptr source_cloud_copy(new pcl::PointCloud<pcl::PointXYZ>);
pcl::copyPointCloud(*source_cloud_filtered, *source_cloud_copy);
pcl::search::KdTree<pcl::PointXYZ>::Ptr kdtree(new pcl::search::KdTree<pcl::PointXYZ>);
kdtree->setInputCloud(target_cloud);
double outlier_ratio = 0.55f;
double epsilon = 0.1f;
double resolution = 1.0f;
int max_iterations = 1;
//公式(6.8)
double c1 = 10.0f * (1 - outlier_ratio);
double c2 = outlier_ratio / pow(resolution, 3);
double d3 = -std::log(c2);
double d1 = -std::log(c1 + c2) - d3;
double d2 = -2 * std::log((-std::log(c1 * std::exp(-0.5) + c2) - d3) / d1);
//构建栅格结构
pcl::PointXYZ minPt, maxPt;
pcl::getMinMax3D(*target_cloud, minPt, maxPt);
double lx = maxPt.x - minPt.x;
double ly = maxPt.y - minPt.y;
double lz = maxPt.z - minPt.z;
int nx = lx / resolution + 1;
int ny = ly / resolution + 1;
int nz = lz / resolution + 1;
struct cell
{
pcl::PointCloud<pcl::PointXYZ> points;
Eigen::Vector4d center;
Eigen::Matrix3d sigma;
};
//将点云各点分配到栅格中
std::vector<cell> B(nx*ny*nz);
for (size_t i = 0; i < target_cloud->points.size(); i++)
{
int ix = (target_cloud->points[i].x - minPt.x) / resolution;
int iy = (target_cloud->points[i].y - minPt.y) / resolution;
int iz = (target_cloud->points[i].z - minPt.z) / resolution;
int id = ix + iy * nx + iz * nx * ny;
B[id].points.push_back(target_cloud->points[i]);
}
//计算栅格内各点的均值和协方差
for (size_t i = 0; i < B.size(); i++)
{
Eigen::Vector4d voxel_centroid;
Eigen::MatrixXd voxel_demean;
if (B[i].points.size() >= 5)
{
pcl::compute3DCentroid(B[i].points, voxel_centroid);
pcl::demeanPointCloud(B[i].points, voxel_centroid, voxel_demean);
Eigen::Matrix3d sigma = (voxel_demean * voxel_demean.transpose()).topLeftCorner(3, 3) / (B[i].points.size() - 1);
Eigen::SelfAdjointEigenSolver<Eigen::Matrix3d> eigen_solver(sigma);
Eigen::Vector3d eigenvalues = eigen_solver.eigenvalues();
Eigen::Matrix3d eigenvectors = eigen_solver.eigenvectors();
double lamda1 = eigenvalues(0), lamda2 = eigenvalues(1), lamda3 = eigenvalues(2);
if (lamda3 > 100 * lamda1 || lamda3 > 100 * lamda2)
{
lamda1 = lamda3 / 100;
lamda2 = lamda3 / 100;
Eigen::DiagonalMatrix<double, 3> A(lamda1, lamda2, lamda3);
eigenvectors.col(0).swap(eigenvectors.col(2));
sigma = eigenvectors.transpose() * A * eigenvectors;
}
B[i].center = voxel_centroid;
B[i].sigma = sigma;
}
}
//设定初始值
Eigen::AngleAxisd init_rotation(0.6931, Eigen::Vector3d::UnitZ());
Eigen::Translation3d init_translation(1.79387, 0, 0);
Eigen::Matrix4d transformation_matrix = (init_translation * init_rotation).matrix();
Eigen::Matrix3d R = transformation_matrix.topLeftCorner(3, 3);
Eigen::Matrix<double, 3, 1> T = transformation_matrix.topRightCorner(3, 1);
Eigen::Transform<double, 3, Eigen::Affine, Eigen::ColMajor> transformation;
transformation.matrix() = transformation_matrix;
Eigen::Vector3d translation = transformation.translation();
Eigen::Vector3d rotation = transformation.rotation().eulerAngles(0, 1, 2);
double x = rotation(0), y = rotation(1), z = rotation(2);
double tx = translation(0), ty = translation(1), tz = translation(2);
//点云去中心化
Eigen::Vector4d source_cloud_filtered_centroid;
Eigen::MatrixXd source_cloud_filtered_demean;
pcl::compute3DCentroid(*source_cloud_filtered, source_cloud_filtered_centroid);
pcl::demeanPointCloud(*source_cloud_filtered, source_cloud_filtered_centroid, source_cloud_filtered_demean);
source_cloud_filtered_demean = source_cloud_filtered_demean.topLeftCorner(3, source_cloud_filtered_demean.cols());
//迭代求解位姿
int iters = 0;
while (iters < max_iterations)
{
double score = 0.0;
Eigen::Matrix<double, 1, 6> gradient; //梯度向量
gradient.setZero();
Eigen::Matrix<double, 6, 6> hessian; //海塞矩阵
hessian.setZero();
for (size_t k = 0; k < source_cloud_filtered->size(); k++) //遍历点云各点
{
std::cout << k << "/" << source_cloud_filtered->size() << std::endl;
double x1 = source_cloud_filtered->points[k].x;
double x2 = source_cloud_filtered->points[k].y;
double x3 = source_cloud_filtered->points[k].z;
Eigen::Matrix<double, 3, 1> X;
X << x1, x2, x3;
Eigen::Matrix<double, 3, 1> X_trans;
X_trans = R * X + T;
std::vector<int> indices;
std::vector<float> distances;
pcl::PointXYZ p(X_trans(0, 0), X_trans(1, 0), X_trans(2, 0));
int index = -1;
//kdtree->nearestKSearch(p, 1, index, distance);
if (kdtree->radiusSearch(p, resolution, indices, distances, 1) > 0)
index = indices[0];
else
continue;
int ix = (target_cloud->points[index].x - minPt.x) / resolution;
int iy = (target_cloud->points[index].y - minPt.y) / resolution;
int iz = (target_cloud->points[index].z - minPt.z) / resolution;
int id = ix + iy * nx + iz * nx * ny;
if (B[id].points.size() < 5)
continue;
Eigen::Matrix3d sigma = B[id].sigma;
Eigen::Vector4d center = B[id].center;
Eigen::Matrix<double, 3, 1> uk;
uk << center(0), center(1), center(2);
Eigen::Matrix<double, 3, 1> X_;
X_ = X_trans - uk;
//double pxk = -d1 * exp((-d2 / 2 * source_cloud_filtered_demean.transpose() * sigma.inverse() * source_cloud_filtered_demean)(0, 0)); //公式(6.9)
//score += pxk;
//std::cout << score << std::endl;
//公式(6.19)
double a = x1 * (-sin(x) * sin(z) + cos(x) * sin(y) * cos(z)) + x2 * (-sin(x) * cos(z) - cos(x) * sin(y) * sin(z)) + x3 * (-cos(x) * cos(y));
double b = x1 * (cos(x) * sin(z) + sin(x) * sin(y) * cos(z)) + x2 * (-sin(x) * sin(y)* sin(z) + cos(x) * cos(z)) + x3 * (-sin(x) * cos(y));
double c = x1 * (-sin(y) * cos(z)) + x2 * (sin(y) * sin(z)) + x3 * (cos(y));
double d = x1 * (sin(x) * cos(y) * cos(z)) + x2 * (-sin(x) * cos(y) * sin(z)) + x3 * (sin(x) * sin(y));
double e = x1 * (-cos(x) * cos(y) * cos(z)) + x2 * (cos(x) * cos(y) * sin(z)) + x3 * (-cos(x) * sin(y));
double f = x1 * (-cos(y) * sin(z)) + x2 * (-cos(y) * cos(z));
double g = x1 * (cos(x) * cos(z) - sin(x) * sin(y) * sin(z)) + x2 * (-cos(x) * sin(z) - sin(x) * sin(y) * cos(z));
double h = x1 * (sin(x) * cos(z) + cos(x) * sin(y) * sin(z)) + x2 * (-sin(x) * sin(z) + cos(x) * sin(y) * cos(z));
Eigen::Matrix<double, 3, 6> J; //公式(6.18)
J << 1, 0, 0, 0, c, f,
0, 1, 0, a, d, g,
0, 0, 1, b, e, h;
gradient += d1 * d2 * X_.transpose() * sigma.inverse() * J * exp(-d2 / 2 * (X_.transpose() * sigma.inverse() * X_)(0, 0)); //公式(6.12)
//1*6 1*3 3*3 3*6
Eigen::Vector3d a_, b_, c_, d_, e_, f_; //公式(6.21)
a_ << 0,
x1 * (-cos(x) * sin(z) - sin(x) * sin(y) * cos(z)) + x2 * (-cos(x) * cos(z) + sin(x) * sin(y) * sin(z)) + x3 * (sin(x) * cos(y)),
x1 * (-sin(x) * sin(z) + cos(x) * sin(y) * cos(z)) + x2 * (-sin(x) * cos(z) - cos(x) * sin(y) * sin(z)) + x3 * (-cos(x) * cos(y));
b_ << 0,
x1 * (cos(x) * cos(y) * cos(z)) + x2 * (-cos(x) * cos(y) * sin(z)) + x3 * (cos(x) * sin(y)),
x1 * (sin(x) * cos(y) * cos(z)) + x2 * (-sin(x) * cos(y) * sin(z)) + x3 * (sin(x) * sin(y));
c_ << 0,
x1 * (-sin(x) * cos(z) - cos(x) * sin(y) * sin(z)) + x2 * (-sin(x) * sin(z) - cos(x) * sin(y) * cos(z)),
x1 * (cos(x) * cos(z) - sin(x) * sin(y) * sin(z)) + x2 * (-cos(x) * sin(z) - sin(x) * sin(y) * cos(z));
d_ <<x1 * (-cos(y) * cos(z)) + x2 * (cos(y) * sin(z)) + x3 * (-sin(y)),
x1 * (-sin(x) * sin(y) * cos(z)) + x2 * (sin(x) * sin(y) * sin(z)) + x3 * (sin(x) * cos(y)),
x1 * (cos(x) * sin(y) * cos(z)) + x2 * (-cos(x) * sin(y) * sin(z)) + x3 * (-cos(x) * cos(y));
e_ <<x1 * (sin(y)* sin(z)) + x2 * (sin(y)* cos(z)),
x1 * (-sin(x) * cos(y) * sin(z)) + x2 * (-sin(x) * cos(y) * cos(z)),
x1* (cos(x) * cos(y) * sin(z)) + x2 * (cos(x) * cos(y) * cos(z));
f_ <<x1 * (-cos(y)* cos(z)) + x2 * (cos(y)* sin(z)),
x1 * (-cos(x) * sin(z) - sin(x) * sin(y) * cos(z)) + x2 * (-cos(x) * cos(z) + sin(x) * sin(y) * sin(z)),
x1 * (-sin(x) * sin(z) + cos(x) * sin(y) * cos(z)) + x2 * (-sin(x) * cos(z) - cos(x) * sin(y) * sin(z));
Eigen::Matrix<double, 18, 6> H; //公式(6.20)
H.setZero();
H.block<3, 1>(9, 3) = a_;
H.block<3, 1>(12, 3) = b_;
H.block<3, 1>(15, 3) = c_;
H.block<3, 1>(9, 4) = b_;
H.block<3, 1>(12, 4) = d_;
H.block<3, 1>(15, 4) = e_;
H.block<3, 1>(9, 5) = c_;
H.block<3, 1>(12, 5) = e_;
H.block<3, 1>(15, 5) = f_;
for (size_t i = 0; i < hessian.rows(); i++)
{
for (size_t j = 0; j < hessian.cols(); j++)
{
//-d2 / 2 * X_.transpose() * sigma.inverse() * X_ //1*3 3*3 3*1
//-d2 * (X_.transpose()* sigma.inverse()* J.col(j)); //1*3 3*3 3*1
//X_.transpose()* sigma.inverse()* H.block<3, 1>(3 * i, j); //1*3 3*3 3*1
//(J.col(j)).transpose()* sigma.inverse()* J.col(i); //1*3 3*3 3*1
hessian(i, j) += d1 * d2 * exp((-d2 / 2 * X_.transpose() * sigma.inverse() * X_)(0, 0))
* (-d2 * (X_.transpose() * sigma.inverse() * J.col(i))(0, 0)* (X_.transpose()* sigma.inverse()* J.col(j))(0, 0)
+ (X_.transpose() * sigma.inverse()* H.block<3, 1>(3 * i, j))(0, 0) + (J.col(j).transpose() * sigma.inverse()*J.col(i))(0, 0)); //公式(6.13)
}
}
}
Eigen::Matrix<double, 6, 1> delta = - hessian.inverse() * gradient.transpose();
tx += delta(0, 0);
ty += delta(1, 0);
tz += delta(2, 0);
x += delta(3, 0);
y += delta(4, 0);
z += delta(5, 0);
R << cos(y)* cos(z), -cos(y)* sin(z), sin(y),
cos(x)* sin(z) + sin(x)* sin(y)* cos(z), cos(x)* cos(z) - sin(x)* sin(y)* sin(z), -sin(x)* cos(y),
sin(x)* sin(z) - cos(x)* sin(y)* cos(z), sin(x)* cos(z) + cos(x)* sin(y)* sin(z), cos(x)* cos(y);
T << tx, ty, tz;
transformation_matrix << R, T, 0, 0, 0, 1; //公式(6.17)
pcl::transformPointCloud(*source_cloud_filtered, *source_cloud_copy, transformation_matrix);
iters++;
std::cout << transformation_matrix << std::endl;
}
pcl::io::savePCDFile("icp_cloud.pcd", *source_cloud_copy);
return 0;
}
这个算法实现下来感觉还是有些复杂的,主要是公式推导比较多,论文中的求解过程还是比较清晰的。LZ水平有限,如果实现过程存在问题欢迎大家批评指正。

本文介绍了基于C++和PCL库实现的NDT(三维正态分布变换)点云配准算法,探讨了其在初始位姿较好时的精调优化作用以及在较差初始位姿下的收敛问题。代码实现了首次迭代,涉及高斯牛顿法和梯度下降策略,但未深入研究复杂细节。
7716

被折叠的 条评论
为什么被折叠?



