隧穿场效应晶体管模拟基准测试与电路设计
摘要
本文提出了一种用于隧穿场效应晶体管(TFET)在模拟应用中进行基准测试的平台,并利用该平台将选定的 TFET与14纳米节点的FinFET技术进行比较。该基准测试得益于通用TFET SPICE模型的开发以及基于物理的器件仿真器数据的参数提取流程。通过计算模拟性能指标随电流密度的变化,将 TFET与互补金属氧化物半导体在低功耗模拟应用方面进行对比,揭示了系统开发的潜在方向。为了展示具有低于60 mV/十倍频亚阈值摆幅的TFET所开启的设计空间,演示了两个示例电路,包括一个皮瓦级共源放大器和一个超低压环形振荡器。
索引术语 —模拟电路,基准测试,紧凑模型,陡峭亚阈值摆幅,TFET,隧穿场效应晶体管,超低电压电路。
I. 引言
用于数字应用的新型器件基准测试表明,隧穿场效应晶体管(TFET)是低功耗超越CMOS晶体管的主要候选之一[1‐3]。与传统MOSFET依赖势垒上方的热电子发射机制控制亚阈值电流,导致在室温下存在众所周知的60 mV/decade亚阈值摆幅(SS)限制不同,TFET依靠通过势垒的带间隧穿(BTBT)机制[4, 5]。通过栅极调制隧穿势垒厚度以及可隧穿态的态密度切换相结合,可实现低于60 mV/decade的亚阈值摆幅(SS),从而在器件层面显著降低电源电压操作需求,并从系统层面带来显著的节能优势[2]。
大量不同的器件概念和材料体系已通过计算机辅助设计技术(TCAD)或全量子仿真研究进行了深入探索,用以评估隧穿场效应晶体管(TFETs)相对于先进互补金属氧化物半导体(CMOS)技术的性能,并凸显TFETs的优越能力。然而,实验演示普遍未能达到预期,难以同时实现低于60 mV/decade的亚阈值摆幅(SS)以及1‐10 微安/微米的导通电流水平(参见例如[6])。
广泛的但绝非详尽的提议与实验验证的隧穿场效应晶体管之间的列表和比较)。然而,这一趋势最近出现了逆转[7]:实验已成功在硅衬底上集成了III‐V族垂直异质结纳米线隧穿场效应晶体管,实现了亚阈值摆幅(SS)min=48毫伏/十倍频程、导通电流I60= 0.31 μA/μm以及ION> 10 μA/μm,表明III‐V族技术在诸如材料生长、隧穿结陡峭性、高k/半导体界面低陷阱密度等方面已达到此类高难度器件所需的成熟水平。这验证了这类陡坡器件在低功耗逻辑应用中的潜力,同时也在探索其在模拟应用中的可能性 [8‐10]。
尽管陡峭开关器件在数字应用方面的基准测试已取得进展,但模拟基准测试受到的关注较少。Sedighi [9]通过比较亚阈值斜率SS、关态电流IOFF、阈值电压VTH、跨导gm、输出电导gds、本征增益gm/gds、截止频率fT以及等效导通电阻RON等直流特性,对互补金属氧化物半导体(CMOS)、InAs同质结隧穿场效应晶体管和 GaSb‐InAs异质结隧穿场效应晶体管(HTFET)进行了系统性对比。研究还考察了模拟电路基本单元,如跨导运算放大器(OTAs)、电流镜和采样保持电路,以探索隧穿场效应晶体管如何提升模拟电路的性能或改变其拓扑结构。Settino [10]采用InAs/AlGaSb纳米线异质结隧穿场效应晶体管虚拟技术,考虑n型和p型器件之间的非对称行为,进一步研究了采样保持电路和比较器。
Asbeck [8]关注了隧穿场效应晶体管在低功率微波和毫米波电路领域所能提供的性能提升(本研究选用 GaSb/InAs异质结隧穿场效应晶体管作为代表性器件)。由于隧穿场效应晶体管更高的非线性,以及在低漏极电流偏置下具有相对于硅和III‐V族MOSFET更大的gm 值,研究表明,在传统电路中用陡坡器件简单替换互补金属氧化物半导体晶体管,可使整流器、探测器、混频器、低噪声放大器和振荡器等关键模块显著受益[8]。此外,围绕隧穿场效应晶体管独特特性进行的电路设计可能会带来进一步的改进和优化,为极低功耗系统开辟了新的途径,这是传统互补金属氧化物半导体技术无法实现的。
本文提出了一种用于模拟应用的隧穿场效应晶体管基准测试平台,该平台能够探索在14纳米节点下隧穿场效应晶体管相对于FinFET技术的设计空间。该基准测试得益于一种通用的电荷守恒TFET SPICE模型的开发,该模型用于模拟基于物理的器件仿真器获得的器件特性[11‐13]。本研究中采用了基于砷化铟和氮化镓的TFET模型,以代表未来TFET技术的能力。
II. 模拟基准测试
A. 基准技术与器件模型
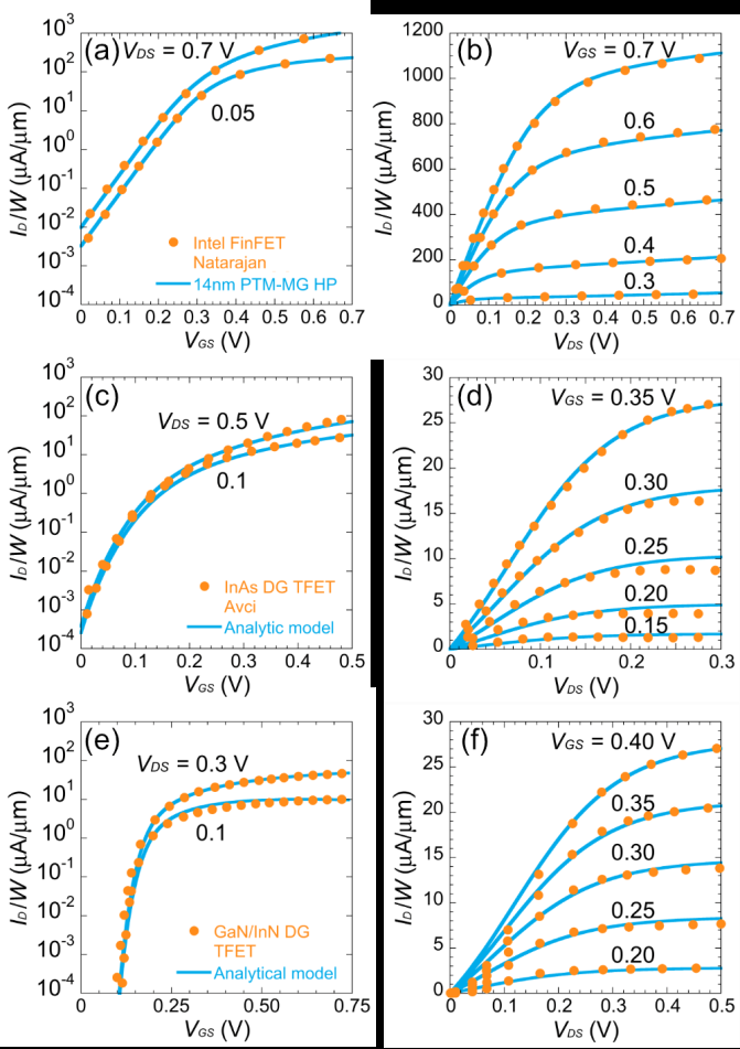
一款商用14纳米n型鳍式场效应晶体管(栅极长度LG= 20 nm)与栅极长度为20 nm的同类14纳米节点砷化铟和氮化镓基隧穿场效应晶体管进行对比。在比较中选择了两种 TFET材料体系,以提供一系列可预期的特性。第一种是具有同质结p‐i‐n结构的砷化铟双栅n型隧穿场效应晶体管,该结构已被先前研究考虑过。由于砷化铟的窄带隙,导致其表现出具有强电子和空穴支路的双极性转移特性。第二种体系是氮化镓/氮化铟/氮化镓双栅n型隧穿场效应晶体管,其采用具有窄带隙氮化铟的异质结源漏结构实现隧穿。氮化镓的大带隙几乎完全抑制了双极性电流。氮化镓/氮化铟/氮化镓 TFET提供的驱动电流与砷化铟TFET相当,并且具有更高的 ION/IOFF比值。其更陡峭的亚阈值斜率使得阈值电压可降至远低于0.1 V,从而实现更低的电源电压。
14纳米FinFET模型是通过将14纳米高性能多栅预测技术模型(PTM‐MG HP)[18]与发表在[14]中的数据进行校准而获得的。所得的转移特性和输出特性如图1(a)和(b)所示。简而言之,CMOS技术使用根据测量结果校准的PTM SPICE模型进行建模,而TFETs则使用根据基于物理的仿真校准的TFET SPICE模型[11‐13, 19‐21]进行建模。
该TFET模型捕捉了隧穿场效应晶体管的独特特性,包括栅极偏压相关的亚阈值摆幅和超线性电流起始。该模型广泛适用于各种材料体系和器件几何结构,并涵盖了电流‐电压特性的全部四个象限,包括双极性电流以及源极 Esaki隧道结的负微分电阻(NDR)。该模型包含栅极隧穿电流,以及沟道中存储电荷的连续模型,并由此推导出电容。最后,噪声模型现在也成为描述的一部分[13]。完整的模型采用Verilog‐A编写,用于建模Avci使用的InAs p‐i‐n TFET [15]和Li提出的 p‐GaN/InN/n‐GaN [16]。这些双栅TFET的转移特性和输出特性如图1(c‐f)所示。
该模型与仿真结果总体上具有良好的一致性,如图1所示。对于InAs TFET,该方程组能够有效复现低VDS下的超线性电流起始现象,如图1(d)所示,仅在中等V GS 时对饱和电流有轻微高估。对于氮化镓TFET,饱和电流区域得到了较好表征,但在低V DS 时模型未能完全准确反映实际情况。因此,在第三节B部分所述的偏置电压V DS 低于10 mV的超低压环形振荡器设计中,对参数集进行了修正,以改善低V DS 下的拟合效果。
图2比较了FinFET与TFET在VDS= VDD/2(VDD= 0.7 V)下的转移特性和亚阈值摆幅(SS),因为在模拟电路中,通常至少有一个p型和一个n型晶体管堆叠在电源轨之间。与FinFET相比,TFET表现出更小的亚阈值摆幅(SS),但导通电流ION也更小。GaN TFET在电流密度达到2 μA/μm时,SS为< 60 mV/decade,比InAs TFET高一个数量级。对于TFET而言,SS强烈依赖于栅源偏压:在约6 nA/μm的电流密度下,GaN和InAs TFET的SSmin分别为~16和38 mV/decade。在较低电流密度下,寄生电流通路(即由栅漏电压VGD控制的栅极漏电流)会导致SS退化,这种退化是器件结构与几何形状[13]的函数。在较高电流密度下,ID/W主要由源极到沟道的隧穿电流决定,因此受隧穿窗口的栅极依赖性以及结区最大电场[12]共同影响。另一方面,FinFET的SS在整个亚阈值区基本保持恒定。这在模拟设计中具有重要意义,下文将对此进行说明。
B. 模拟性能指标
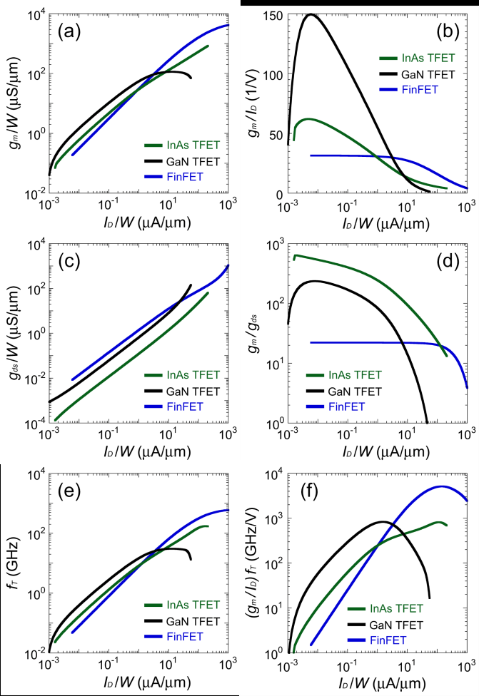
在图3中,三种技术在重要的模拟性能指标(FOMs)方面对各种技术进行了比较,包括gm/W、gm/ID、gds/W、gm/gds、fT 以及(gm/ID)fT。截止频率fT通过fT = gm/[ 2π(CGS + CGD)][8]进行估算。除非另有说明,所有计算均采用VDS = 0.35 V。
fT 的比较。所有计算均采用0.35伏的 漏源电压。)
图3(a)展示了在整个亚阈值区以及高达微安/微米漏极电流密度水平下,TFETs相对于鳍式场效应晶体管( FinFETs)在单位宽度跨导(gm/W)更高时的优势。跨导产生效率(gm/ID)在图3(b)中绘制。在亚阈值区,gm/ID 可依据亚阈值摆幅(SS)表示为[8, 22]:
$$
g_m / I_D = \frac{\ln(10)}{SS}
$$
对于传统开启机制而言,其导通机制为热电子发射,因此在室温下亚阈值摆幅(SS)为> 60 mV/decade,这相当于gm /I D < 38.5 V⁻¹。另一方面,隧道场效应晶体管(TFET)中冷载流子的带间隧穿(BTBT)不受玻尔兹曼限制所带来的相同限制。因此,预测其跨导效率值要大得多,最高可达 150 V⁻¹,相较于互补金属氧化物半导体在漏极电流密度为10纳安/微米范围内的表现,实现了4倍提升。与互补金属氧化物半导体相比,该氮化镓TFET的gm/ID比值(作为VGS和VDS的函数)表现出强烈的偏置依赖性,这种强偏置依赖性引入了非线性。gm/ID在亚阈值区达到峰值,并且在电流密度高达~1‐ 10微安/微米时仍大于互补金属氧化物半导体,如图3(b)所示。
对于模拟应用,输出电导 gds(见图3(c))至关重要,因为它直接影响固有小信号电压增益 gm/gds (如图3(d)所示)。由于隧穿场效应晶体管(TFETs)对短沟道效应具有优异的免疫力(即漏极电压对源端隧穿结电势影响很小),在较宽范围的漏极电流密度下,gds /W 显著低于 MOSFET——对于 InAs TFET 降低了 10 倍。由于低亚阈值摆幅(SS)导致亚阈值区 gm 更大,以及 TFETs 的 gds 相比鳍式场效应晶体管(FinFETs)更小,这两个因素共同作用使得 gm /gds 比值显著提高,在 GaN 和 InAs TFETs 中峰值分别达到 10倍和 30倍(见图3(d))。对于处于亚阈值区的鳍式场效应晶体管(FinFET),gm /I D ~ 31.4 V⁻¹,且 gds /I D ~ 1.4 V⁻¹,因此其固有小信号电压增益 gm /gds ≈ 22.4,大致保持恒定。
模拟得到的 fT 值,如图3(e)所示,表明 TFETs 相较于 鳍式场效应晶体管(FinFETs)具有优势,这直接归因于更高的 gm 以及相对较小的 CGS 和 CGD 电容 [13]。跨导效率与截止频率的乘积 (gm/ID)fT 在图3(f)中作为比较三种技术的另一个优值系数被给出。该优值系数源于模拟电路设计中常见的直流与高频性能之间的权衡 [23], ,在整个亚阈值区,当电流密度低于 ~1 μA/μm 时,由于 TFETs 具有更大的 gm,预计其性能将超过互补金属氧化物半导体(CMOS)。
总结图3可知,在亚阈值和近阈值区域,TFET在所有考虑的优值系数方面均优于FinFET,而在较高电流密度下,互补金属氧化物半导体的性能更优。这促使人们探索将隧穿场效应晶体管用于超低功耗模拟应用。
对于模拟电路,器件的噪声特性非常重要。由于 TFET中的漏极电流由隧穿控制,白漏极电流噪声为散粒噪声,其噪声电流谱密度为 I²n,D = 2qID A²/Hz。图4显示了晶体管输入参考噪声电压 Vn,in 的三种不同技术与漏极电流密度的关系,其中在FinFET情况下,比较时仅考虑了白噪声,即在此基准测试中未考虑闪烁噪声(所有器件的栅极宽度固定为W = 1 μm,V DS= 0.35 V)。按照这种方式,TFET的V²n,in为2qID/gm² , FinFET的情况类似,其噪声电流谱密度I²n,D由亚阈值区的散粒噪声和强反型区的热噪声共同决定。因此,在亚阈值区,FET的gm大于FinFET,这反映为在给定漏极电流密度下具有更优的噪声性能,使得GaN TFET在深亚阈值区的Vn,in降低4倍,并且在漏极电流密度约达2 μA/μm时仍相对于FinFET表现出更优越的性能。这些优势使得电源电压可进一步降低,并为TFET在低功耗和低电压模拟电路设计中的应用开辟了超出互补金属氧化物半导体能力范围的设计空间。
III. 示例隧道场效应晶体管电路设计
A. 皮瓦级共源放大器
作为超低功耗模拟电路的关键构建模块,共源放大器在三种基准技术中被设计为目标增益带宽积为10 MHz的电路。该电路如图5所示,由一个n沟道晶体管M1和一个作为负载的p沟道晶体管M2组成。电源电压设定为V DD= 0.7 V,低于FinFET技术的绝对最大值VDD ,即 0.8 V;负载电容CL= 0.5 fF。根据标准亚阈值CMOS电路设计指南采用了gm/ID方法(参见[24]以详细了解该方法在隧穿场效应晶体管中的应用)。
| 性能 | 鳍式场效应晶体管 | InAs TFET | 氮化镓TFET |
|---|---|---|---|
| ID (pA) | 1071 | 703 | 238 |
| 功耗P(皮瓦) | 750 | 492 | 167 |
| 沟道宽度W(纳米) | 46 | 326 | 27 |
| A₀ (dB) | 20.9 | 49.6 | 40.8 |
| fUG (MHz) | 10 | 10 | 10.2 |
| Vn,in (μV/Hz¹/²) | 7.2 | 0.54 | 0.38 |
| fUG A₀ /P | 0.15 | 6.16 | 6.76 |
| fUG A₀ /(Vn,inP) | 0.0205 | 11.5 | 18 |
表I. 鳍式场效应晶体管和TFET放大器结果的比较,其中所有晶体管具有最小栅极长度。
关键结果总结于表1。与互补金属氧化物半导体相比,隧穿场效应晶体管的优势在于能够在亚阈值区以更大的gm /I D 比值工作,从而实现更高的低频增益(A₀),最高可达鳍式场效应晶体管(FinFETs)的近30倍,同时在相同VDD下的功耗(P)低于200皮瓦(相比之下,互补金属氧化物半导体版本超过1纳瓦)。基于鳍式场效应晶体管的电路表现出更优的输入参考噪声性能(Vn,in)。最重要的特性被归纳为两个基于电路品质因数的指标,这些指标基于第二节中讨论的器件模拟品质因数(FOMs)。第一个电路优值系数定义为 fUGA₀/P,其与器件优值系数的关系如下:
$$
\frac{f_{UG} A_0}{P} \approx \frac{g_m}{2\pi C_L g_{ds}} \cdot \frac{g_m}{I_D V_{DD}} = K \cdot FOM
$$
第二个电路优值系数通过除以输入参考噪声电压来考虑器件的噪声性能,从而得到fUGA₀/(Vn,inP)。这些优值系数预测,在超低功耗应用中,隧穿场效应晶体管相较于 CMOS鳍式场效应晶体管将实现显著的性能提升。
B. 超低电压环形振荡器
从氮化镓TFET结构的TCAD仿真中观察到,当阈值电压接近零时,隧穿场效应晶体管在低漏源电压下的超线性电流起始使得本征增益大于一。因此,在超线性区工作可使隧穿场效应晶体管电路在极低的漏源电压下仍具有增益,从而实现超低电源电压下的工作。在图6中,绘制了不同器件的本征增益随VDS的变化曲线,其中VGS接近于零。从图中可以看出,即使漏源电压仅为4 mV,隧穿场效应晶体管的本征增益仍大于一。因此,该技术有望支持工作电压低于10毫伏的电路。
环形振荡器中使用的隧穿场效应晶体管反相器。两个晶体管的栅极宽度均为 100 nm。(b) 隧穿场效应晶体管反相器传输特性曲线(蓝色)以及在VDD= 8 mV时的增益幅度(绿色)。)
为了说明这种潜力,基于超低电压(0到30毫伏)下的 TCAD仿真提取了一组新的模型参数集(图6中的绿色曲线),并设计了一个用于8毫伏电源电压的9级环形振荡器,使用 Cadence的Spectre仿真器对采用新模型参数集的 Verilog‐A模型实现进行了仿真[25]。该环形振荡器的每一级均由一个标准反相器构成,该反相器使用一个n型隧穿场效应晶体管和一个p型隧穿场效应晶体管,如图7(a)所示。图7(b)显示了在VDD= 8毫伏时反相器的仿真传输特性曲线。此外还包括反相器的增益幅度(|dVout/dVin|)随输入电压的变化情况,表明增益幅度的最大值大于1。
环形振荡器的仿真输出波形如图8所示。振荡频率为 6.7千赫,功耗为1.5飞瓦。该结果突显了隧穿场效应晶体管在极端电压可扩展性方面的潜力。
图8的仿真中未包含器件噪声。为了研究噪声的影响,启用了所有晶体管的散粒噪声,并对环形振荡器在两种电源电压下的情况进行了仿真。带噪声的环形振荡器的一个输出波形示例如图9所示。提取了周期抖动的标准偏差,结果列于表II中。与预期一致,随着电源电压的增加,抖动减小。
| VDD | 抖动 |
|---|---|
| 8 mV | 57微秒 |
| 16毫伏 | 0.4微秒 |
表II. 环形振荡器的周期抖动标准偏差随电源电压的变化。
IV. 结论
在亚阈值和近阈值区的模拟应用中,隧穿场效应晶体管(TFET)在14纳米节点上优于互补金属氧化物半导体(CMOS)。通过利用亚阈值区更大的gm/ID比值,TFET放大器实现了超过40分贝的电压增益,且功耗低于200皮瓦,性能远超CMOS。一个9级环形振荡器可在低至8毫伏的电源电压下工作,功耗仅为1.5飞瓦,非常适合用于能量收集的应用。
51

被折叠的 条评论
为什么被折叠?



