目录
1.程序功能描述
LSTM网络的性能高度依赖于超参数配置,其中隐含层个数是影响模型性能的关键超参数之一。传统的超参数优化方法如网格搜索、随机搜索存在效率低、易陷入局部最优等问题。山羚羊优化是一种新型元启发式优化算法,其核心是用山羚羊优化算法(MGO)自适应搜索LSTM隐含层最优神经元数量,以最小化时间序列预测误差。
2.测试软件版本以及运行结果展示
MATLAB2022A/MATLAB2024B版本运行



3.部分程序
...............................................................................
% 将优化得到的最佳参数转换为整数,作为LSTM隐藏层神经元数量
% 加1是为了确保至少有1个神经元
NN=floor(BestX)+1;
% 定义LSTM神经网络结构
layers = [ ...
sequenceInputLayer(indim) % 序列输入层,输入维度为indim
lstmLayer(NN) % LSTM层,神经元数量为优化得到的NN
reluLayer % ReLU激活函数层,增加非线性能力
fullyConnectedLayer(outdim) % 全连接层,输出维度为outdim
regressionLayer]; % 回归层,用于回归任务(输出连续值)
% 设置网络训练参数
options = trainingOptions('adam', ... % 使用Adam优化器,适合深度学习训练
'MaxEpochs', 240, ... % 最大训练轮数为240
'GradientThreshold', 1, ... % 梯度阈值为1,防止梯度爆炸
'InitialLearnRate', 0.004, ... % 初始学习率为0.004
'LearnRateSchedule', 'piecewise', ...% 学习率调度方式为分段衰减
'LearnRateDropPeriod', 60, ... % 每60轮衰减一次学习率
'LearnRateDropFactor',0.2, ... % 学习率衰减因子为0.2(变为原来的20%)
'L2Regularization', 0.01, ... % L2正则化系数为0.01,防止过拟合
'ExecutionEnvironment', 'gpu',... % 使用GPU加速训练(需配置GPU支持)
'Verbose', 0, ... % 不显示训练过程细节
'Plots', 'training-progress'); % 显示训练进度图表(损失变化等)
% 训练LSTM网络
[net,INFO] = trainNetwork(Pxtrain, Txtrain, layers, options);
% 使用训练好的网络进行预测
Dat_yc1 = predict(net, Pxtrain); % 对训练数据进行预测(归一化尺度)
Dat_yc2 = predict(net, Pxtest); % 对测试数据进行预测(归一化尺度)
% 将预测结果反归一化,恢复到原始数据范围
Datn_yc1 = mapminmax('reverse', Dat_yc1, Norm_O);
Datn_yc2 = mapminmax('reverse', Dat_yc2, Norm_O);
% 将细胞数组转换为矩阵(方便后续处理和分析)
Datn_yc1 = cell2mat(Datn_yc1);
Datn_yc2 = cell2mat(Datn_yc2);
% 保存训练信息、预测结果和收敛曲线到MAT文件,便于后续分析
save R2.mat INFO Datn_yc1 Datn_yc2 T_train T_test cnvg
127
4.算法理论概述
山羚羊优化算法(MGO)是一种模拟山羚羊野外生存行为的群智能优化算法,它通过模拟山羚羊的随机游走、群体聚集、最优个体跟随等行为,在解空间中高效搜索全局最优解,具有收敛速度快、寻优精度高、不易陷入局部最优的特点。
MGO-LSTM模型的核心是将LSTM的关键超参数(本程序中为隐藏层神经元数量)作为MGO的优化变量,将LSTM的预测误差(如均方误差MSE)作为MGO的适应度函数,通过MGO在预设的超参数搜索空间中迭代搜索,找到使LSTM预测性能最优的超参数组合,再用该最优超参数构建并训练LSTM模型,最终实现一维时间序列的高精度预测。
整个模型的逻辑框架可概括为:
时间序列数据预处理→MGO超参数寻优→最优参数LSTM模型构建与训练→模型预测与结果反归一化→预测性能评估。
MGO模拟山羚羊在山地环境中的生存行为,将每一个“山羚羊个体”对应一个待优化的超参数组合(本程序中为LSTM隐藏层神经元数量),将“山羚羊的适应度”对应LSTM的预测误差,通过多轮迭代实现最优超参数的搜索,核心行为包括:
随机种群初始化:山羚羊种群随机分布在搜索空间中,每个个体代表一个候选超参数。
群体聚集行为:山羚羊倾向于向群体中心聚集,实现局部搜索,提升解的稳定性。
最优个体跟随:山羚羊会向当前种群中的最优个体(适应度最优)移动,实现全局搜索,加快收敛速度。
系数向量调节:通过随迭代次数变化的系数向量,平衡算法的探索能力(全局搜索)和开发能力(局部搜索)。
种群更新与筛选:每轮迭代后生成新个体,筛选出适应度最优的个体组成新种群,直至达到最大迭代次数。
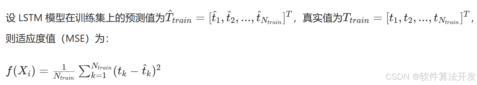
整个优化过程,适应度函数定义为:

其中,f(Xi) 为第i个个体的适应度值,值越小表示对应的LSTM模型预测精度越高。
MGO的核心优势在于:通过聚集行为保证局部搜索精度,通过最优个体跟随保证全局搜索能力,通过系数向量动态调节两者的平衡,相比遗传算法、粒子群优化算法,具有收敛速度更快、寻优精度更高的特点。
5.完整程序
VVV
关注后手机上输入程序码:130


被折叠的 条评论
为什么被折叠?



