卡码网题 C#版本
98. 所有可达路径
题目描述
给定一个有 n 个节点的有向无环图,节点编号从 1 到 n。请编写一个函数,找出并返回所有从节点 1 到节点 n 的路径。每条路径应以节点编号的列表形式表示。
输入描述
第一行包含两个整数 N,M,表示图中拥有 N 个节点,M 条边
后续 M 行,每行包含两个整数 s 和 t,表示图中的 s 节点与 t 节点中有一条路径
输出描述
输出所有的可达路径,路径中所有节点之间空格隔开,每条路径独占一行,存在多条路径,路径输出的顺序可任意。如果不存在任何一条路径,则输出 -1。
注意输出的序列中,最后一个节点后面没有空格! 例如正确的答案是 `1 3 5`,而不是 `1 3 5 `, 5后面没有空格!
输入示例
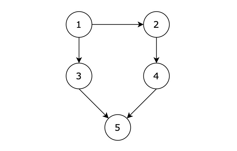
5 5
1 3
3 5
1 2
2 4
4 5
输出示例
1 3 5
1 2 4 5
提示信息

用例解释:
有五个节点,其中的从 1 到达 5 的路径有两个,分别是 1 -> 3 -> 5 和 1 -> 2 -> 4 -> 5。
因为拥有多条路径,所以输出结果为:
1 3 5
1 2 4 5
或
1 2 4 5
1 3 5
都算正确。
数据范围:
- 图中不存在自环
- 图中不存在平行边
- 1 <= N <= 100
- 1 <= M <= 500
第一段代码
for (int i = 0; i < graph[x].Length; i++)
{ int next = graph[x][i];
path.Add(next);
Dfs(graph, next);
path.RemoveAt(path.Count - 1); }
这里使用的是 graph[x].Length,因为 graph 是一个邻接表,每个 graph[x] 是一个列表,表示节点 x 的所有邻居节点。因此,您需要遍历该列表的所有元素。
第二段代码
for (int i = 1; i <= n; i++)
{ if (graph[x, i] == 1)
{ path.Add(i);
Dfs(graph, i, n);
path.RemoveAt(path.Count - 1); }
}
在这里,使用的是一个邻接矩阵(假设 graph 是一个二维数组),n 是节点的总数。这段代码循环到 n 是因为需要检查节点 x 是否与每个可能的节点相连。具体来说,循环条件是 i <= n,在每次迭代中检查 graph[x, i] 是否为 1,以确定节点 x 是否与节点 i 直接相连。
总结
- 邻接表:使用
graph[x].Length是因为每个graph[x]是一个列表,直接表示节点x的所有邻居。 - 邻接矩阵:使用
i <= n是因为需要检查所有可能的节点(1 到 n),并通过graph[x, i]来判断它们之间的连接关系。
string.Join 是 C# 中一个非常有用的方法,用于将字符串数组或集合中的元素连接成一个单一的字符串。它允许您指定一个分隔符,作为连接各个元素的中间字符。
语法
string.Join(string separator, IEnumerable<string> values);
参数
- separator:一个字符串,用作连接元素之间的分隔符。
- values:要连接的字符串集合或数组。
示例
假设您有一个字符串数组:
string[] words = { "Hello", "World", "!" };
使用 string.Join 可以将这些单词连接成一个完整的句子:
string result = string.Join(" ", words); // 结果是 "Hello World !"
//声明邻接矩阵的方法
using System;
using System.Collections.Generic;
public class MainClass {
List<IList<int>> result=new List<List<int>>(); //存放结果
List<int> path=new List<int>(); //收集的路径
public void DFs(int[,] grahp ,int x,int n) //x是当前节点 n是最终节点
{
if(x==n)
{
result.Add(new List<int>(path));
return ;
}
for(int i=0;i<=n;i++) //遍历节点 x 链接的所有节点
{
if(grahp[x,i]==1)//横向遍历
{
path.Add(i);//将遍历到的节点加进路径中
DFs(grahp,i,n);//进入下一层递归
path.RemoveAt(path.Count-1);// 回溯,撤销本节点
}
}
}
public static void Main(string[] zifu )
{
//先处理第一行的MN
string[] inputs=Console.ReadLine().Split();
int n=int.Parse(inputs[0]);
int m=int.Parse(inputs[1]);
//编号从1 到n所以申请n+1这么大的二维数组
int[,] grahp=new int[n+1,n+1];
for(int i=0;i<m;i++)//循环输入节点 存入邻接矩阵
{
inputs=Console.ReadLine().Split();
int s=int.Parse(inputs[0]);
int t=int.Parse(inputs[1]);
//使用邻接矩阵标识无向图 1标识s与t相连
grahp[s,t]=1;
}
//无论是怎么走都是从1节点出发
path.Add(1);
DFs(grahp,1,n);//开始遍历
//输出结果
if(result==0)
{
Console.WriteLine(-1);
}
else
{
for (int i = 0; i < result.Count; i++) {
Console.WriteLine(string.Join(" ", result[i]));
}
}
}
}
C#实现有向无环图所有可达路径查找

被折叠的 条评论
为什么被折叠?



