此博客是抄论文的,你可以认为是转载的
1.线性递推数列
有限数列显然是线性递推数列。
无限数列
a
i
a_i
ai设其生成函数为
A
(
x
)
A(x)
A(x)
那么如果
A
(
x
)
A(x)
A(x)能被表示为
C
(
x
)
B
(
x
)
\frac {C(x)}{B(x)}
B(x)C(x)的形式,其中
B
(
x
)
[
x
0
]
=
1
B(x)[x^0] = 1
B(x)[x0]=1,则
A
(
x
)
A(x)
A(x)是线性递推数列。
常数项为
1
1
1是因为递推式你要让
∑
j
=
0
b
j
a
i
−
j
=
0
\sum_{j=0}b_ja_{i-j} = 0
∑j=0bjai−j=0来递推出
a
i
a_i
ai所以常数项需要为
1
1
1。
能这样表示是因为线性递推实质上就是
A
(
x
)
B
(
x
)
=
C
(
x
)
A(x)B(x) = C(x)
A(x)B(x)=C(x),其中
B
(
x
)
B(x)
B(x)是我们的线性递推式。
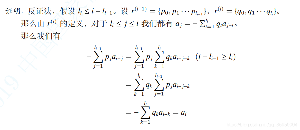
对于一个线性递推数列
a
i
a_i
ai,假设他前
i
i
i项的最短递推式是
R
(
i
)
R^{(i)}
R(i),长度为
l
i
l_i
li,那么如果
R
(
i
−
1
)
R^{(i-1)}
R(i−1)不是前
i
i
i项的最短递推式,那么有
l
i
≥
max
(
l
i
−
1
,
i
+
1
−
l
i
−
1
)
l_i \geq \max(l_{i-1},i+1-l_{i-1})
li≥max(li−1,i+1−li−1),且这个等号是可以通过构造取到的。
首先
l
i
≥
l
i
−
1
l_i \geq l_{i-1}
li≥li−1显然,如果
l
i
≤
i
−
l
i
−
1
l_i \leq i-l_{i-1}
li≤i−li−1的话:

实在不知道怎么用语言表示交换和号。
也就是说如果
l
i
≤
i
−
l
i
−
1
l_i \leq i-l_{i-1}
li≤i−li−1那么原来的递推式必可以继续用。
接下来我们给出在
R
(
i
−
1
)
R^{(i-1)}
R(i−1)不是前
i
i
i项的递推式时
l
i
=
max
(
l
i
−
1
,
i
+
1
−
l
i
−
1
)
l_i = \max(l_{i-1},i+1-l_{i-1})
li=max(li−1,i+1−li−1)的构造方案,也就是
B
M
BM
BM算法。

也就是说每次增长递推式,我们都可以用这个方法使得增长时
l
i
=
max
(
l
i
−
1
,
i
+
1
−
l
i
−
1
)
l_i = \max(l_{i-1},i+1-l_{i-1})
li=max(li−1,i+1−li−1),不增长时
l
i
=
l
i
−
1
l_i = l_{i-1}
li=li−1。
因为上文证明了
l
i
≥
max
(
l
i
−
1
,
i
+
1
−
l
i
−
1
)
l_i \geq \max(l_{i-1},i+1-l_{i-1})
li≥max(li−1,i+1−li−1),所以这个算法对于有限长度的数列求出的递推式一定是最短的。
对于无限长的数列,

所以我们只需要取最短递推式长度的两倍即可。
边界情况:第一次增长递推式的时候,
a
i
a_i
ai应该是第一个非
0
0
0元素,那么
l
i
=
i
l_i = i
li=i个
0
0
0即为前
i
i
i个数的最短递推式,也就是根本没有递推,同时也满足
l
i
≥
i
+
1
−
l
i
−
1
,
(
l
i
−
1
=
0
)
l_i \geq i+1-l_{i-1},(l_{i-1}=0)
li≥i+1−li−1,(li−1=0)。
这里需要纠正一个错误观念,一个最短线性递推式的最后一项是可以为
0
0
0的,因为假如一个长度为
n
n
n的递推式
F
(
x
)
F(x)
F(x)对于
a
n
=
∑
i
=
1
n
F
(
x
)
[
x
i
]
a
n
−
i
a_n = \sum_{i=1}^n F(x)[x^i]a_{n-i}
an=∑i=1nF(x)[xi]an−i不成立,我们需要在递推式的最后补一个
0
0
0,这样
a
n
a_n
an就不在递推式成立的范围内。
也就是说一个线性递推数列被表示为
S
(
x
)
R
(
x
)
\frac {S(x)}{R(x)}
R(x)S(x)的形式,则它的递推式的长度是
R
(
x
)
R(x)
R(x)的次数和
S
(
x
)
S(x)
S(x)的次数加一取
max
\max
max。
线性递推求第
n
n
n项:

代码:luogu【模板】Berlekamp-Massey算法

C
o
d
e
:
\mathcal Code:
Code:(真的很短。)
#include<bits/stdc++.h>
#define rep(i,j,k) for(int i=(j),LIM=(k);i<=LIM;i++)
#define per(i,j,k) for(int i=(j),LIM=(k);i>=LIM;i--)
#define maxn 10005
#define pb push_back
#define vi vector<int>
#define mod 998244353
using namespace std;
int n,m,a[maxn];
int Pow(int b,int k){ int r=1;for(;k;k>>=1,b=1ll*b*b%mod) if(k&1) r=1ll*r*b%mod;return r; }
vi BM(int *a,int n){ // a[0 ~ n] is used
vi r(1,1),p,t;int lt;
rep(i,0,n){
int d=0;
rep(j,0,r.size()-1) d = (d + r[j] * 1ll * a[i-j]) % mod;
if(!d) continue;
t = r;
r.resize(max(r.size() , i+2-(r.size()-(r.size()!=0))));
rep(j,0,p.size()-1) r[j+i-lt] = (r[j+i-lt] - 1ll * d * p[j]) % mod;
int iv = Pow(d , mod-2);
p = t , lt = i;
rep(i,0,p.size()-1) p[i] = 1ll * p[i] * iv % mod;
}
return r; // a \times r = const
}
typedef vi poly;
poly Mul(const poly &A,const poly &B,const poly &P){
poly r(A.size() + B.size() - 1);
rep(i,0,A.size()-1) rep(j,0,B.size()-1) r[i+j] = (r[i+j] + 1ll * A[i] * B[j]) % mod;
per(i,r.size()-1,P.size()-1) if(r[i]){// in this problem P[P.size()-1] = 1 , so there is no need to getinv.
int t = r[i];
rep(j,1,P.size())
r[i-j+1] = (r[i-j+1] - 1ll * P[P.size()-j] * t) % mod;
}
r.resize(P.size()-1);
return r;
}
int main(){
scanf("%d%d",&n,&m);
rep(i,0,n-1) scanf("%d",&a[i]);
vi P = BM(a,n-1);
rep(i,1,P.size()-1) printf("%d%c",(mod-(P[i]+mod)%mod) % mod," \n"[i==P.size()-1]);
reverse(P.begin(),P.end());
poly r(1,1),t(2,0);
t[1] = 1;
for(;m;m>>=1,t=Mul(t,t,P)) if(m&1)
r = Mul(r,t,P);
int ans = 0;
rep(i,0,r.size()-1) ans = (ans + 1ll * r[i] * a[i]) % mod;
printf("%d\n",(ans+mod)%mod);
}
向量序列的最短递推式:

矩阵的零化多项式:使得矩阵
M
M
M:
f
(
M
)
=
∑
i
=
0
n
a
i
M
i
=
0
f(M) = \sum_{i=0}^n a_iM^i = 0
f(M)=∑i=0naiMi=0
矩阵的最小多项式:
零化多项式中次数最低的多项式。
如何求矩阵的最小多项式:
直接求
I
,
M
,
M
2
.
.
.
{I,M,M^2...}
I,M,M2...的最短递推式即可,对于稀疏矩阵可以做到
O
(
n
(
n
+
e
)
)
O(n(n+e))
O(n(n+e))。

BM与矩阵的特征多项式:
特征多项式是矩阵的一个零化多项式,
而
B
M
BM
BM求出的最小多项式也是矩阵的一个零化多项式

最小多项式是特征多项式的一个因式,因为如果不是则可以做带余除法得到余式为更小的零化多项式。
对于一个线性递推问题,我们可以通过零化多项式得到线性递推式,所以在解决线性递推时可以找最小多项式(用BM),也可以求特征多项式。
但是特征多项式的最经典的解法是根据定义
∣
λ
−
I
E
∣
=
0
|\lambda - IE| = 0
∣λ−IE∣=0来求行列式后拉格朗日插值求出多项式,
O
(
n
4
)
O(n^4)
O(n4)相较于
B
M
O
(
n
3
)
BMO(n^3)
BMO(n3)感觉没有什么竞争力,尽管特征多项式有
O
(
n
3
)
O(n^3)
O(n3)的巧妙解法,但是这个解法无法计算出线性递推的前
n
n
n项(就是不能用递推式的部分),有了前
n
n
n项那为什么不用
B
M
BM
BM呢?
综上在信息学奥赛的当前时代最小多项式完爆特征多项式,很多打着特征多项式的旗子的题目都可以用BM解决。
接下来我们看一个例题:
「2018 集训队互测 Day 1」完美的旅行
n
n
n个点的有向图,一次旅行是走
a
≥
1
a\geq1
a≥1步,愉悦值为起点和终点的编号
a
n
d
and
and和。
多次旅行的愉悦值是每次旅行的
a
n
d
and
and和,对于所有的愉悦值
0
≤
x
<
n
0\leq x\lt n
0≤x<n和
1
≤
a
≤
m
1\leq a \leq m
1≤a≤m的总步数,求愉悦值为
x
x
x总步数为
a
a
a的多次旅行方案数。
先求
a
n
d
and
and为集合
S
S
S的超集的方案数
f
S
f_S
fS,然后用
F
M
T
FMT
FMT一次就可以求出
a
n
d
and
and为集合
S
S
S的方案数。
a
n
d
and
and为集合
S
S
S的超集的一次旅行走了
a
a
a步,可以发现就是邻接矩阵
A
A
A的
a
a
a次方的一些位置的和。
大小为
n
n
n的矩阵一定有次数
≤
n
\leq n
≤n的特征多项式,所以一次旅行的走了
a
a
a步的那些答案就是一个
n
n
n阶线性递推。
假设一次旅行的生成函数为
G
(
x
)
G(x)
G(x),则多次旅行的生成函数为
F
(
x
)
=
1
1
−
G
(
x
)
F(x) = \frac 1{1 - G(x)}
F(x)=1−G(x)1
因为
G
(
x
)
G(x)
G(x)为
n
n
n阶递推,所以
G
(
x
)
=
S
(
x
)
R
(
x
)
G(x) = \frac {S(x)}{R(x)}
G(x)=R(x)S(x),其中
R
(
x
)
R(x)
R(x)次数
≤
n
\leq n
≤n,
S
(
x
)
S(x)
S(x)次数
≤
n
−
1
\leq n-1
≤n−1。
F
(
x
)
=
R
(
x
)
R
(
x
)
−
S
(
x
)
F(x) = \frac {R(x)}{R(x) - S(x)}
F(x)=R(x)−S(x)R(x),分子次数可以为
n
n
n,所以
F
(
x
)
F(x)
F(x)是
n
+
1
n+1
n+1阶线性递推。





本文深入探讨了线性递推数列的性质,包括如何判断和构造最短递推式,以及Berlekamp-Massey算法的应用。此外,还提及了整式递推数列在有向图旅行问题中的应用,通过特征多项式和最小多项式解决线性递推问题,并指出在信息学竞赛中最小多项式的优势。
6064

被折叠的 条评论
为什么被折叠?



