| 删除链表中的重复元素
存在一个按升序排列的链表,给你这个链表的头节点 head ,请你删除所有重复的元素,使每个元素 只出现一次 。
返回同样按升序排列的结果链表。

输入:head = [1,1,2]
输出:[1,2]

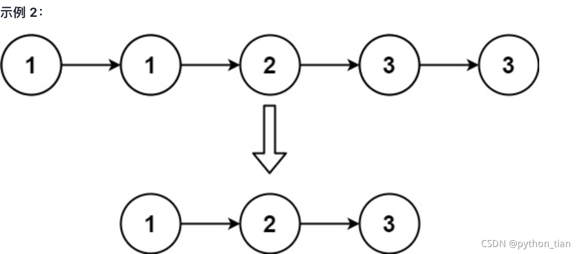
输入:head = [1,1,2,3,3]
输出:[1,2,3]
| 题解
# Definition for singly-linked list.
# class ListNode:
# def __init__(self, val=0, next=None):
# self.val = val
# self.next = next
class Solution:
def deleteDuplicates(self, head: ListNode) -> ListNode:
# 如果是空链表直接返回
if not head:
return head
cur = head
while cur.next:
# 从链表的第一个元素开始判断cur.val
if cur.val == cur.next.val:
cur.next = cur.next.next
else:
cur = cur.next
return head

该博客介绍了如何删除一个按升序排列的链表中的重复元素,使得每个元素只出现一次。提供的解决方案从链表头部开始遍历,当遇到相同值的连续节点时,直接跳过,保持链表的有序性。最终返回结果链表。
301

被折叠的 条评论
为什么被折叠?



