超越现有技术水平的进展:金属材料在生物植入物应用领域的研究
摘要
金属材料因其在生物医学领域的应用而引起了包括材料科学家、材料工程师、生物学家和医生在内的广泛研究群体的兴趣。一些合金成分已投入市场使用,但存在若干缺点。因此,新型、优化、无毒且生物相容的合金成分正在被不断设计开发。本章首先回顾并讨论了块体金属玻璃(BMGs)在骨科应用中的优势,特别强调其力学性能。给出了新开发的永久性钛基和可降解镁基材料的实例。在本章的第二部分,讨论了目前可用于改性钛合金表面的表面工程方法。与周围组织接触的最外层材料充当生物界面,因此,若经过适当设计,可提高生物植入物的力学性能和耐腐蚀性,并防止离子溶出。最后,分析了通过水热处理在钛基合金表面形成纳米结构二氧化钛涂层的最新进展。
关键词 钛合金 · 镁合金 · Bioimplants · Hydrothermal处理 · Nanostructured coatings
1 引言
用于生物植入物应用的材料研究多年来一直是一个蓬勃发展的课题。植入物生物材料 broadly classified 可分为金属、陶瓷、聚合物和复合材料体系。基于钢的金属材料配方可追溯到20世纪初。然而,由于会引起不良的组织反应,外科医生一度弃用了这些配方,直到1920年代更具生物相容性的316不锈钢(SS)出现。尽管医用级316不锈钢几十年来已被广泛应用于骨科,尤其是在美国,但目前全球大多数人工关节均由金属部件(钛合金或Co–Cr合金)与聚合物(通常是超高分子量聚乙烯)配对组成。Ti6Al4V合金长期以来一直被优选作为人工关节中硬组织替代用的结构金属生物材料。表1列出了一些用于生物植入物应用的金属材料的关键性能。尽管这些材料因其优良的力学性能、易于加工和低成本而具有优势,但其在人体内长期使用时发生的腐蚀以及有毒合金元素的释放,已知会导致多种长期不良健康副作用,包括骨形成/生长停止、滑膜炎和植入物松动、肿瘤形成以及阿尔茨海默病等。
块体金属玻璃(BMGs)由于其相较于晶态对应材料更优越的物理和机械性能,在金属材料中占据着特殊地位。最重要的是,BMGs的化学均匀性以及缺乏位错和晶界等缺陷,使其在人体体液中具有更强的抗腐蚀能力。因此,设计适用于生物医学领域的BMG成分在过去十年中成为众多研究的对象(Schroers et al. 2009)。对于永久性植入物应用而言,钛基和锆基块体金属玻璃是最常被研究的合金,而镁基和钙基块体金属玻璃则被认为是有潜力的可生物降解植入物。锆基块体金属玻璃因其高强度、低杨氏模量和出色的耐磨性,已逐渐成为低摩擦关节置换应用的理想选择。
表1 市场上使用的金属生物植入物材料的一些关键性能
| 性能 | 冷加工316L不锈钢 | Ti6Al4V | 铸造钴铬钼合金 |
|---|---|---|---|
| 密度 (g/cm³) | 7.9 | 4.5 | 8.3 |
| 抗拉强度 (MPa) | 860 | 860 | 655 |
| 屈服强度 (MPa) | 690 | 795 | 450 |
| 伸长率 (%) | 12 | 10 | 8 |
| 断面收缩率 (%) | 50 | 25 | 8 |
| 杨氏模量 (GPa) | 193 | 115 | 230 |
(Chen et al. 2011)。然而,这些合金通常含有镍、铍或铝等有毒元素,这阻碍了它们进入市场的进程。不过,最近针对含铝和/或镍的锆基块体金属玻璃的研究表明其无毒性,且生物相容性水平可与商用Ti6Al4V合金相媲美(Huang et al. 2011;Zhu et al. 2012)。钛基块体金属玻璃无疑是生物植入物应用中最受欢迎的金属材料。这包括人工髋关节和膝关节、骨折固定螺钉、骨板、起搏器和心脏瓣膜假体(Morrison et al. 2007)。近年来,钛基块体金属玻璃领域取得了 numerous 进展,将在第3节中简要回顾。同时,第4节专门讨论镁基可生物降解块体金属玻璃。第5节概述了旨在提高金属材料(特别是钛基合金)生物力学相容性的表面改性策略,重点介绍水热处理。
2 块体金属玻璃的基本原理
严格来说,“金属玻璃”这一术语指的是通过从液态连续快速冷却而形成的非晶态固体。在足够高的冷却速率下,结晶过程受到抑制,液体的原子构型在被称为“玻璃化转变温度”(Tg)的温度下均匀冻结。块体金属玻璃在Tg与开始结晶温度(Tx)之间表现出较宽的过冷液相区。这使得材料可在该温度区间内通过施加较小的压力进行成型。然而,铸造方法所能获得的物体最大尺寸受限于玻璃形成能力(GFA)。GFA是指通过淬火形成玻璃的倾向。针对块体金属玻璃的GFA已提出多种评价指标,例如约化玻璃化转变温度 Trg(= Tg/Tl,其中Tg和Tl分别为玻璃化转变温度和液相线温度)与过冷液相范围ΔTxg之间的关系(卢和刘 2002)。合金成分的合理设计旨在获得较大的玻璃形成能力,以便获得在各个方向上尺寸大于或等于1 mm的块体非晶合金。尽管在优化块体金属玻璃成分方面已取得进展,但棒材的临界直径通常仍低于5 mm。由于块体金属玻璃既不具有长程有序结构,也不具备晶态材料中的典型缺陷,因此它们不会通过位错运动发生变形。相反,块体金属玻璃在室温下的塑性变形集中在剪切带中,这些剪切带迅速贯穿并扩展至整个材料,导致塑性有限。块体金属玻璃的屈服强度和硬度可达钢的两倍。此外,它们的弹性应变和断裂韧性也高于传统陶瓷。尽管块体金属玻璃的塑性有限,但其断裂强度(σf)和维氏显微硬度(Hv)均高于任何一类晶态材料。
尽管块体金属玻璃在本质上是非晶态的,但其一些有趣的物理和机械性能源于局域原子结构。块体金属玻璃中的局域原子结构仍然不清楚,事实上这是该领域最引人关注的问题之一。争论的话题。自Spaepen(1977)和Argon与Kuo(1980)分别于1977年和1980年提出“自由体积”概念以来,已提出了不同的模型来解释非晶合金中原子尺度的结构和缺陷。根据Miracle在2004年提出的密堆积团簇模型,非晶合金由短程有序(SRO)原子团簇组成(Miracle 2004)。据报道,这些原子团簇会影响原子堆垛状态,进而影响块体金属玻璃的性能(Sheng等,2006)。然而,短程有序(SRO)与块体金属玻璃的宏观性能之间的联系仍远未被充分理解,更不用说量化了。
3 永久性金属材料。钛基块体金属玻璃的最新进展
由于人们早已认识到铍具有高毒性,钛基块体金属玻璃通常被分为含铍和无铍合金。它们表现出不同的玻璃形成能力,因而具有不同的力学性能。前一类合金具有较高的断裂强度(σf超过2300 MPa),但塑性较低(<0.5%)。这种较差的塑性会导致在承重应用中发生灾难性失效。相反,后一类合金表现出更大的塑性应变,但相对较低的σf(~1900 MPa)。然而,含铍的钛基块体金属玻璃以及通常包含铝、钒、铬、锰、钴、镍和/或铜的其他成分与人体不相容,因此无法在生物医学领域中应用(卡林等人2013)。不过,铜的毒性仍存在争议,文献中的结果相互矛盾(科蒂佐和费尔南德斯·洛伦佐·德·梅勒2004)。这是因为细胞毒性具有时间和浓度依赖性。近年来,人们已付出巨大努力,致力于开发不含毒性和致敏元素的钛基块体金属玻璃,使其在室温下具有合理的塑性,并且杨氏模量低于目前在生物医学领域使用的商用金属合金。因此,已提出多种生物相容性成分:TiZrFeSi、TiZrFeSiMoNb、TiNbZrSi(卡林等人2013)、TiZrCuPdNb(福内尔等人2013)等。将锡和/或铌与钛进行合金化是一种提高块体金属玻璃塑性的有效策略。例如,有报道称,在钛‐锆‐铜‐钯金属玻璃中添加2%的锡可使塑性提高约3%,同时保持强度和玻璃形成能力不变(朱等人2008)。而添加铌比添加锡更具战略意义,因为铌是一种更坚韧的元素。铌可以通过多种机制提高块体金属玻璃的塑性:(i)原位形成韧性体心立方相(克恩等人 2006),(ii)形成准晶(邱等人2005)或中程有序团簇(朴等人2010),以及(iii)在非晶基体中嵌入纳米颗粒(秦等人2008)。
通常来说,为了提高钛基块体金属玻璃原本有限的塑性,已提出了两种主要策略:
表2 新开发的钛基BMGs的成分及其力学性能
| Alloy | State | Shape | Young’s modulus (GPa) | Yield stress (GPa) | Plastic strain (%) | References |
|---|---|---|---|---|---|---|
| Ti75Zr10Si15 | Calin et al. (2013) | |||||
| Ti60Zr10Nb15Si15 | Calin et al. (2013) | |||||
| Ti40Zr10Cu38Pd12 | Fornell et al. (2013) | |||||
| Ti38.8Zr9.7Cu36.9Pd11.6Nb3 | Amorphous matrix+ NC | Rod | 104 (compression) | 1.75 | 0.2 | Fornell et al. (2013) |
| Ti40Zr10Cu34Pd14Sn2 | Amorphous | Rod | 120 (compression) | 2.00 | 2.4 | Zhu et al. (2008) |
| Ti45Zr15Pd35Si5 | Amorphous | Ribbon | 70 (dynamic Young’s modulus) | 2.2 | – | Oak and Inoue (2008) |
| Oak and Inoue (2007) | ||||||
| Ti60Zr10Ta15Si15 | Oak and Inoue (2007) | |||||
| Pang et al. (2015) | ||||||
| Amorphous matrix+ NC | Ribbon | – | 2.6 | – | ||
| Amorphous | Ribbon | – | 2.2 | – | ||
| Amorphous | Rod | 100 (compression) | 1.90 | 8.7 | ||
| Amorphous | Ribbon | 88 (dynamic Young’s modulus) | 2.4 (tensile stress) | – | ||
| Ti47Cu38Zr7.5Fe2.5Sn2Si1Ag2 | Amorphous | Rod | 92 (compression) | 2.01 | 2.5 |
注 :Ti75Zr10Si15 和 Ti60Zr10Nb15Si15 合金的屈服应力(σ)是根据维氏显微硬度(HV)实验计算得出的,关系式为 σ = HV/3。NC 代表纳米晶体。
(1)在Tg和Tx之间的温度下进行退火处理,可能导致塑性应变的一定增加(Qin等人,2007)。(2)在铸造过程中金属玻璃基体中晶态颗粒的析出。这可以通过设计合适的合金成分,或通过将良好玻璃形成能力的成分与高熔点元素混合来实现,后者将以第二相的形式发生析出(Ott等人,2003)。一些作者已提出原位形成的钛基双峰复合材料(He等人,2003;Zhang等人,2007)。
杨氏模量定义为弹性变形期间的刚度,是骨科领域另一个具有临床相关性的参数。它表明所选材料是否具有与将要替代的硬组织(即骨)相似的弹性性能。骨的弹性模量范围为15–25吉帕(里奇等人,2009年)。为了确保骨植入物的长寿,块体金属玻璃应结合高强度和高弹性极限,并具有相对较低的杨氏模量(尽可能接近骨的模量)。这可以避免植入物松动,这是一种被称为“应力屏蔽效应”的严重生物力学不相容现象。目前,已开发出多种不含高毒性元素的多组分纳米结构钛基合金,例如Ti–50Ta(周和二宫,2008年)、Ti–Sn–Nb(努里等人,2010年)、Ti–Mo–Nb(徐等人,2008年)、Ti–Mo–Zr–Fe(纳加等人,2005年)、Ti–Nb–Zr–Ta(埃利亚斯等人,2006年)、Ti–Fe–Sn(韩等人,2009年)和Ti–Zr–Hf–Fe(希诺夫斯卡等人,2013年)。这些合金构成了所谓的第二代生物材料(吉塔等人,2009年)。通常,它们的杨氏模量值低于传统块体金属玻璃,实际上更接近骨的杨氏模量。然而,其屈服强度通常低于块体金属玻璃。表2列出了近十年来开发的一些新型钛基块体金属玻璃及其在生物医学领域相关的部分力学性能。
4 可生物降解金属材料。镁基块体金属玻璃的最新进展
人们对镁在临时植入物中的应用兴趣可追溯到1940年代。当时,镁植入物曾被用作骨板和螺钉进行测试,但最终大多由于体内植入过程中产生氢气而被放弃(Witte 2010)。镁表现出一种被称为‘负差效应’的奇特现象,即随着阳极过电位的增加,氢气析出速率加快(Song 和 Atrens 1999)。除了氢气聚集及其在周围组织中引起的局部碱化外,纯镁在生理环境中的腐蚀速率相比骨愈合速率也过快。研究表明,通过使用合适元素对镁进行合金化是一种有效的方法,可(i)最小化甚至阻止氢气释放,(ii)改善基体金属的力学性能,以及(iii)降低腐蚀速率。目前,用于临时应用的两大顶级镁基块体金属玻璃体系为二元 Mg–Zn 和三元 Mg–Zn–Ca(Zberg 等,2009;Gu 等,2010)合金。当 Zn 含量高于 28 原子百分比时,材料表面会形成富含 Zn 和 O 的致密非晶层,从而将氢气析出减少至可接受水平。尽管这些合金的玻璃态性质带来了优势(因而最小化了电偶腐蚀效应),但其固有的脆性仍是一个主要的负面问题。虽然这些合金不打算永久留在体内,但仍会承受应力。因此,最近提出了具有高延展性和优异的加工硬化性能的镁基非晶态合金基复合材料,以克服 MgZnCa 体系的脆性及对缺陷敏感的特性(Gao 等,2015)。为了进一步优化玻璃形成能力、减少氢气析出并调节腐蚀速率,最近有研究提出向 Mg–Zn–Ca 块体金属玻璃中添加 Sr(Li 等,2015)。其他元素如链则被发现会破坏该体系的非晶特性,导致完全的晶体结构。在这种情况下,如果合金元素含量保持在足够低的水平,则可在不损害耐腐蚀性的前提下提高耐磨性(González 等,2012)。
图1a 显示了不同可生物降解材料的压缩屈服应力 ry,C 与杨氏模量 E 的关系。可以看出,Mg–Zn–Ca块体金属玻璃的压缩屈服应力值高于聚合物材料。事实上,这些合金是硬度最高的可生物降解材料之一(请注意,ry,C 与硬度成正比)。同时,它们的杨氏模量接近皮质骨的杨氏模量(E = 3–20 GPa)。
同样,图1b描绘了与弹性储能成正比的ry, 2C/E随E的变化关系。前者表示材料在不发生永久变形的情况下可弹性储存的单位体积最大能量。可以看出,MgZnCa块体金属玻璃的弹性储能高于其晶态对应材料,这是由于其具有较高的屈服应变所致。
5 钛基合金的表面工程
尽管在金属生物材料领域取得了进展,但要找到一种能够同时满足所有要求的材料仍然十分罕见。通过自上而下策略改变本体性能通常在经济和技术上并不可行。冶金学家的策略侧重于改善本体性能,而另一方面,材料化学家和生物学家则更关注材料表面最外层原子层的作用。由于其物理化学组成和形貌特征,这一极薄的区域被称为“生物界面”,对体内宿主生物反应具有最重要的影响。实际上,表面性能决定了应力传递、附着力、摩擦、磨损、气体和液体渗透性以及在周围腐蚀性有机环境中的相容性。因此,通过表面工程手段精确控制表面性能,是决定植入物成败的关键因素,这取决于插入材料表面与邻近宿主组织之间“生物界面”上发生的各种事件。因此,在可用于调控生物材料性能的各种方法中,改善表面特性至关重要(Kurella 和 Dahotre 2005)。
当使用钛基合金时,通过空气中的钝化作用,金属钛基表面会自然形成一层非化学计量氧化钛的非晶层(3–7 nm 厚)。尽管这能在生理环境中为整体植入物提供“惰性”以及良好的耐腐蚀保护(Liu 等,2004),至少与其他用于植入物的金属相比是如此,但该层在长期使用中会变得不稳定,耐腐蚀性显著降低。因此,钛元素特别是合金元素原子会释放到周围组织中。为了最大限度地减少不良机体反应并改善植入物的整体骨整合性能,在用于生物应用之前,优选将天然二氧化钛层进行稳定化处理或替换为更化学稳定的二氧化钛涂层。
为了在由二氧化钛制成的钛基植入物上形成稳定的“保护”层,已开发出多种表面改性策略,最终目的是针对不同的临床需求和应用,改善承重骨科金属植入物的表面性能。
已采用多种方法来改性钛基植入物的表面,包括形貌/粗糙度或化学成分方面的改变。现有方法可分为减材法(通过机械或化学方法进行粗化或抛光,去除污染物和/或天然氧化层)和增材法(形成额外材料的外层涂层)。涂层最常用的材料是陶瓷,由仿生材料(例如磷酸钙)或氧化物(钛基、锆基或硅基氧化物)制成。通过化学方法(如蚀刻、溶胶‐凝胶沉积等)、电化学方法(阳极氧化、微弧氧化等)、物理方法(物理气相沉积、热喷涂等)或热处理方法(烧结、热氧化等)进行表面改性,可实现机械稳定的表面涂层(Liu 等,2004;Pawlowski 1999;Hanawa 1999;Bosco 等.2012;Oshida 2007)。Liu 等(2004)对钛基合金的表面改性方法进行了全面综述。
6 生物医学钛合金上通过水热处理制备的纳米结构涂层
纳米技术的最新进展推动了纳米结构涂层的生产,这类涂层具有纳米尺度下显著现象及其对细胞和生物分子影响的优势。在这方面,二氧化钛纳米晶体已知能够克服非晶态、非化学计量比的二氧化钛的局限性,因此在钛基植入物表面获得结晶TiO₂涂层是理想的。目前大多数可用技术(如溶胶‐凝胶沉积、湿法化学蚀刻、电化学氧化⋯⋯)能够制备出厚度和化学成分可控的 TiO₂涂层,但可能导致表面区域发生塑性变形和产生应力,残留化学物质(例如来自蚀刻液的氟),并且难以控制热稳定性和机械稳定性(如与基底的附着力)以及颗粒形貌,尤其是在纳米尺度上。此外,这些技术通常需要高温才能获得结晶产物。其他普遍缺点还包括相对较高的成本和工艺复杂性(Liu等,2004;Riman等,2002)。
水热处理(HT)满足了这些技术需求。该方法简单、低成本、相对环境友好、适合规模化生产,甚至适用于复杂形状,因此不仅在纳米技术和先进材料生产方面非常有前景,而且在生物医学产业中也极具潜力。
术语 “水热”源于地质学,指在高温高压下水的作用。最近,Byrappa 和Yoshimura(2001)将水热定义为“在存在高压和温度条件下使用水溶剂,以溶解和再结晶在普通条件下相对不溶的材料”。
尽管水热法因合成高纯度陶瓷晶体粉末和单晶(均相成核)而广为人知,但关于其通过异相形核(即表面催化或辅助成核过程)在固体基底上生长高度结晶氧化物膜方面的潜在应用却知之甚少(Li 等,2009;Byrappa 和 Yoshimura 2001)。
晶体的生长可通过液相到固相转变实现,起始于离子的过饱和溶液。无论成核过程是均相还是异相,纳米颗粒形成的驱动力均来自于液相过饱和和过冷所关联的有利吉布斯自由能(初始溶液相的自由能大于晶体相与最终溶液相自由能之和)。形成晶体主要涉及四个步骤,即(Jolivet 等,2000):
I. 零电荷前驱体的形成;
II. 实现过饱和或过冷及随之发生的成核;
III. 晶核生长为不同相的单晶;
IV. 老化或二次生长。
表面成核(异相形核)在晶体和薄外延膜的生长过程中起着关键作用。由于固体之间比溶剂化键具有更强的结合力,因此晶体核与固体基底之间的表面张力以及相应的界面能(固‐固)小于晶体与溶液接触时的界面能(固‐液)。这使得在较低的能量和过饱和度下更有利于成核(De Yoreo 和 Vekilov 2003)。一旦发生成核,晶体生长将优先在缺陷处进行,例如台阶、扭结和平台,这些位置作为表面活性位点具有较高的结合能(Mann 2001)。由于晶体并非完美,通常会在位错和边缘处产生缺陷。晶体的示例
生长在受晶体表面缺陷影响的区域,如图 2 所示。此外,可能在先前形成的晶体层上发生二次晶体成核(图 3)。
根据Barna关于结构演化的理论(Barna和Adamik 1995),多晶薄膜的晶体生长阶段导致不完全合并(图4a)或完全合并(图4b),从而形成部分/完全致密堆积涂层。
最近发表的文献表明,水热法在不同金属基材上生长致密film以用于生物医学应用方面具有多功能性,例如钛(Baszkiewicz 等人,2005;小林 A和Kasuga,2008;Ueda 等人,2008;Lorenzetti 等人,2014a)、镍钛合金(Cheng 等人,2004;Wong 等人,2007)、Ti6Al4V(Drnovšek 等人,2009)、TiNb(Ueda 等人,2008)和 Ti13Nb13Zr(Lorenzetti 等人,2014a)。
基材的原子结构和化学成分对晶体成核和生长确实具有重要意义。通过溶解并引入不同的合金元素,相同的水热法工艺可以产生不同数量的晶核以及不同的晶体形貌和尺寸。
基底。例如,Ti6Al4V合金表面存在的铝和钒会抑制晶体发育,而工业纯钛基底仅由钛离子组成(图5a, b)。
此外,基底上的缺陷或吸附杂质也会导致晶核聚集(Barna和 Adamik 1995)。例如,不同的预处理方法(抛光、机械加工、蚀刻 …)会改变初始基底形貌和粗糙度,从而影响表面缺陷的出现,进而可能影响成核过程(图 5b–d)。
Lorenzetti 等人(2014b)观察到,通过表面机械加工获得的沟槽提供了边缘和表面缺陷,这些缺陷作为具有较高结合能的活性位点,促进了溶液中离子的进一步掺入。因此,在经过机械加工的基底上形成的晶核数量比在抛光基底上更多,从而导致生长出更多但更小的晶体。
从上述示例可以看出,合成过程的优化是获得高质量纳米结构涂层的关键因素。除了基底的选择或表面预处理外,实际上还涉及合适溶剂的选择、处理温度、悬浮液pH、钛离子源以及前驱体(TiO₂粉末、钛酸酯、水溶性盐)的选取,氢氧化物等是促进成核和晶体生长的主要参数。晶体发育与蒸压温度密切相关(Obata 和 Kasuga 2008)。在水热处理过程中,温度升高至超过水沸点,以达到蒸汽饱和压力,并实现374°C的超临界条件。高压釜内的内部压力受温度和悬浮液量的强烈影响,可通过给定溶剂的压力‐体积‐温度(PVT)图进行评估(Dhanaraj 等 2010)。此外,晶体向最热力学稳定结构的发展取决于处理时间:处理时间越长,系统越有足够时间趋于平衡。上述合成参数的选择不仅可调控产物化学计量,还能控制颗粒尺寸和形状,并调节结晶过程,形成特定的多晶型相(Vernardou 等 2009;Byrappa 和 Adschiri 2007;Lencka 和 Riman 2003)。图 6显示了在碱性条件下于 Ti13Nb13Zr基底上水热合成的锐钛矿多晶涂层在老化过程中TiO₂‐锐钛矿晶体的晶面生长。由于{101}晶面在TiO₂‐锐钛矿中是最热力学稳定的,晶体随时间推移发生晶面化。
由于TiO₂具有三种晶体形态(锐钛矿、金红石、板钛矿),获得特定的晶体相也变得至关重要,特别是针对某种特定应用(如骨科金属植入物)。通过水热法可获得TiO₂的单相或多相混合物(Hanaor和Sorrell 2011)。尽管金红石‐TiO₂是最热力学稳定的多晶型,但在生物应用中更倾向于制备锐钛矿‐TiO₂,因其具备优异性能。与金红石相和非晶相相比,锐钛矿‐TiO₂对人体更耐受,具有更高的生物活性(即在成骨作用过程中促进类磷灰石晶体形成)(Obata等,2008;Uchida等,2003),并能积极影响细胞和组织反应(Zhao等,2005)。因此,研究人员已开发出多种水热合成路线,旨在获得由以锐钛矿纳米晶体为主导的织构涂层
{001}晶面,属于能量上最具反应活性的晶面之一。Barnard和Curtiss(Barnard and Curtiss 2005)预测了如何通过表面化学控制TiO₂纳米颗粒的相和形貌转变。特别是,典型锐钛矿四角双锥体的截断程度可根据晶体表面的氢化或氧化程度进行调控。制备具有主导{001}晶面的锐钛矿微/纳米结构最成功的方法之一是在含氟封端剂存在下进行水热合成。自Yang等人(2008)在水热条件下使用四氟化钛和氢氟酸成功制备出含有47% {001}晶面的锐钛矿TiO₂晶体以来,该方向已开展了大量研究(Dozzi and Selli 2013)。然而,应避免使用高毒性和腐蚀性的氢氟酸及含氟产品,转而采用更环保的无氟路线。在这方面,Drnovšek等人(2009)系统地研究了在不同pH值下于Ti6Al4V表面进行纳米晶锐钛矿涂层的水热合成,无论是否添加二氧化钛前驱体,如TiO₂粉末或
Ti(OH)₄。在仅改变起始溶液pH值的情况下,当未添加二氧化钛源时,在 pH= 5下于7a中形成了暴露{001}和{101}晶面的致密锐钛矿纳米晶体层;而在pH= 8时,出现了尺寸介于50至300纳米之间的截断锐钛矿双锥体(见 图7b);最后,在强碱性环境pH= 11下观察到其他额外的形貌(见图7c)。
此外,小林和春日的实验(Obata and Kasuga 2008)表明,在碱性条件下,钛表面可大量形成锐钛矿结晶。作者指出,在水热法过程中使用氢氧化钠有助于在表面形成亲水基团,这对植入物的生物相容性具有重要意义。
另一种调控晶体形态并改变pH环境的策略是使用矿化剂。Dong 等人 (2010)表明,四甲基氢氧化铵(TMAH)可通过氢键选择性地吸附在 TiO₂晶体发育过程中的特定晶格平面上,从而限制平行于c轴的晶面生长。Lorenzetti 等人(2014b)利用该原理,在钛基底上成功生长出尺寸在20–30 nm范围内的锐钛矿纳米晶体,并具有良好的(001)晶面发育。锐钛矿表面的择优取向以及键合/吸附的功能基团的存在,带来了对生物应用至关重要的独特效应。例如,某些特定的锐钛矿晶面(如(001)晶面)因其具有高表面能(Lazzeri 等人 2001),能够增强表面亲水性(源于羟基的吸附)。因此,已有报道证实,经纳米结构化的水热法‐TiO₂涂层可有效提升生物活性及细胞反应(Lorenzetti 等人 2015;Drnovsek 等人 2015)。
最后要指出的是,水热合成可以采用一步处理(从天然钝化层开始晶体生长),也可以采用多步法,即与阳极氧化(Yamamoto 等人,2013)或微弧氧化(MAO)(Zhang 等人,2004)结合的后处理方式。应用水热后处理过程可改善预先沉积的二氧化钛层的生物学性能。图8展示了水热法对通过电泳氧化在不同时间形成的预形成二氧化钛层上晶体生长的影响(图8a, b),以及对通过旋涂沉积的纳米TiO₂‐粉末籽晶层上晶体生长的影响(图8c),并与直接施加于天然钝化的钛基底上的相同合成路线进行了对比(图8d)。
此外,通过水热法可实现多相系统或掺杂膜。Ueda 等人(2009)报道了通过在 H₂–TiO₂溶液中进行化学处理,随后进行水热处理,在钛基底上合成用于生物应用的生物惰性 ZrO₂–TiO₂膜。
7 水热生长涂层增强力学性能和耐腐蚀性
当新物种通过表面上已存在的原子发生异相形核时,在界面处会形成接近原子的直接化学键合(Benning 和 Waychunas 2008)。一旦成核开始,该过程允许从基底的最外层原子层直接生长,并持续进行直至形成发育良好的晶体,如图 9 所示。
因此,所获得的纳米结构表现出与基底的高附着力,并且在合成参数最优的情况下,在表面形成致密的纳米结构层。所形成的中间层通过降低水热氧化层的渗透性、反应性和溶解度,在整体(生物医学植入物)与周围组织之间起到保护作用,从而增强体内的耐腐蚀性,并避免释放游离的(有毒)颗粒。
Drnovšek 等人(2012)通过在碱性条件下于多晶 TiO₂涂层上进行剪切强度、划痕测试以及洛氏压痕,证明了水热法涂层具有高附着力
Ti6Al4V合金。此外,这种致密的涂层似乎可以保护基底免受离子析出;在 NaCl盐溶液中浸泡一个月后,Ti、Al和V离子的释放量远低于未涂层基底。
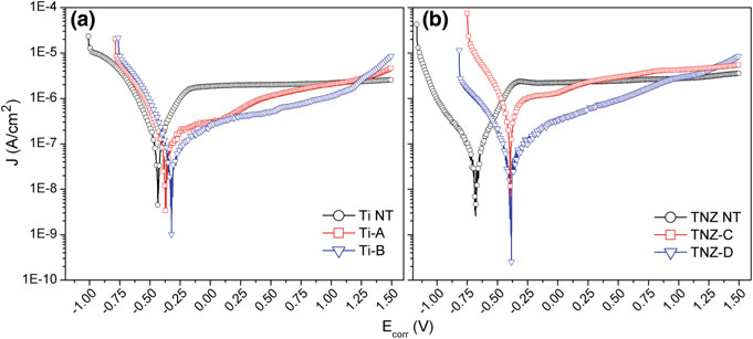
此外,Wong等人(2007)通过仅在水中对NiTi合金进行水热处理,制备了一层光滑均匀的氧化物膜,厚度约为56 nm,由10 nm晶粒组成的致密团聚体构成。从电化学角度来看,这种致密的氧化层足以改善整体材料的耐腐蚀性能,并降低表面原子比Ni/Ti。然而,某些处理工艺,尤其是在低温(120和150 °C)下,得到的膜质量较差。Lorenzetti等人(2014a)评估了在工业纯钛和Ti13Nb13Zr合金上通过水热法合成的二氧化钛涂层的电化学性能,并与未涂层基材进行了比较。研究发现,纳米晶锐钛矿涂层具有更优异的耐腐蚀性,并降低了腐蚀速率。特别是动电位极化曲线显示出腐蚀电位的显著提高(+0.10/+0.15 V(水热处理涂层Ti对比未涂层Ti);+0.25/+0.30 V(水热处理涂层Ti13Nb13Zr对比未涂层Ti13Nb13Zr)),并且HT‐Ti样品的腐蚀电流密度也更低(图10)。该行为被解释为与其他表面特性相关,尤其是涂层的纳米孔隙率。此外,从机械性能方面来看,由于陶瓷锐钛矿的硬度高于钛基金属合金,因此涂层样品的整体表面硬度和杨氏模量均有所提高。
通过阳极氧化钛表面并进一步进行水热处理以在其上生长羟基磷灰石晶体,也获得了良好的耐腐蚀性结果(Park等人 2006)。作者指出,二氧化钛膜的厚度和稳定性以及羟基磷灰石晶体的分布对在0.9% NaCl溶液中的耐腐蚀性产生了积极影响。另一项研究报道了通过微弧氧化、水热处理和壳聚糖浸涂法在钛上依次沉积多层涂层的方法(Neupane等人 2014)。水热法实现了对微弧氧化产生的孔隙的封闭,从而有助于提高在盐溶液中的耐腐蚀性。在经微弧氧化处理的表面上结合使用水热法和壳聚糖涂层,可进一步显著提高耐腐蚀性。
8 结论
用于生物植入物应用的金属材料是近二十年来活跃的研究领域。具有受控微观结构、适宜的力学性能且不含有毒元素的新产品正在被持续开发,并进一步通过体外和体内测试以评估其生物相容性。与晶态材料相比,其非晶态对应材料在体液中表现出更优的力学性能和更强的耐腐蚀性。在金属玻璃领域中,钛基块体金属玻璃材料在永久植入材料中占据重要地位,而镁基材料则更适用于可生物降解应用。全球范围内正在研究多种旨在改善植入物骨整合的表面工程方法,尤其是针对钛基合金。通过低成本且易于放大的方法(如水热处理)形成生物活性纳米结构锐钛矿二氧化钛涂层已被证明极为有益。尽管过去十年已取得显著进展,但预计仍需开发新型具有临床相关性的材料。
55

被折叠的 条评论
为什么被折叠?



