https://leetcode.cn/problems/symmetric-tree/
给你一个二叉树的根节点 root , 检查它是否轴对称。
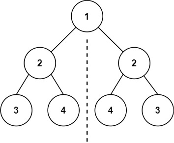
示例 :

输入:root = [1,2,2,3,4,4,3] 输出:true
public class hot101 {
/**
* 递归
*/
public boolean isSymmetric(TreeNode root) {
if (root == null) {
return true;
}
return isMirror(root.left, root.right);
}
private boolean isMirror(TreeNode left, TreeNode right) {
// 如果两个节点都为空,则对称
if (left == null && right == null) {
return true;
}
// 如果只有一个节点为空,则不对称
if (left == null || right == null) {
return false;
}
// 两个节点都不为空时,值相等且子树互为镜像才对称
return (left.val == right.val)
&& isMirror(left.left, right.right)
&& isMirror(left.right, right.left);
}
}
743

被折叠的 条评论
为什么被折叠?



