Summary:
双线性插值(Bilinear Interpolation) - 马语者 - 博客园
Intro:
双线性插值(Bilinear Interpolation):双线性插值是用原图像中4(2*2)个点计算新图像中1个点,效果略逊于双三次插值,速度比双三次插值快,属于一种平衡美,在很多框架中属于默认算法。
1. Nearest Interpolation
最近邻法不需要计算只需要寻找原图中对应的点,所以最近邻法速度最快,但是会破坏原图像中像素的渐变关系
2. Linear Interpolation
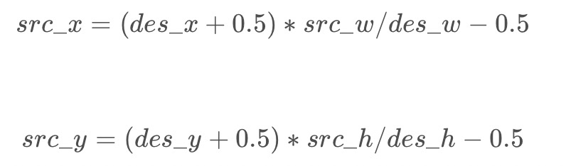
3. Bilinear Interpolation
双线性插值实际上是从2个方向一共进行了3次单线性插值

本文深入探讨了双线性插值算法的工作原理及其在图像处理中的应用。介绍了三种插值方法:最近邻法、线性插值和双线性插值,并详细解释了双线性插值的过程。此外,还讨论了双线性插值在深度学习中的校正问题,特别是几何中心点重合对应公式的应用。




最低0.47元/天 解锁文章

被折叠的 条评论
为什么被折叠?



