✅作者简介:热爱科研的Matlab仿真开发者,擅长数据处理、建模仿真、程序设计、完整代码获取、论文复现及科研仿真。
🍎 往期回顾关注个人主页:Matlab科研工作室
🍊个人信条:格物致知,完整Matlab代码及仿真咨询内容私信。
🔥 内容介绍
车载通信(Vehicle-to-Everything, V2X)作为智能交通系统的核心技术,支持车辆与车辆(V2V)、车辆与基础设施(V2I)、车辆与行人(V2P)的实时数据交互,是实现自动驾驶、交通调度和安全预警的关键支撑。然而,车载环境的高动态性(车辆高速移动导致信道快速变化)、密集干扰(大量车辆并发通信引发同频干扰)和能量约束(车载设备电池容量有限),使得能量谱效率(Energy Spectral Efficiency, ESE,单位:bit/J/Hz)成为制约系统性能的核心瓶颈。传统功率控制方法多聚焦于单一目标(如最大化吞吐量或最小化能耗),难以在复杂车载场景中实现鲁棒性与效率的平衡。本文提出一种基于联合聚类与定价机制的鲁棒功率控制方法,通过动态分组降低干扰复杂度,结合经济杠杆引导功率分配,最终实现能量谱效率的全局优化。
一、车载通信的能量谱效率挑战与优化需求
1.1 车载通信的核心特性与干扰模型
车载通信的无线信道具有以下独特特性,直接影响能量谱效率:
- 高移动性:车辆时速可达 120km/h,导致信道在毫秒级内发生剧烈变化(如多普勒频偏可达 1kHz 以上),传统静态功率控制策略失效。
- 密集部署:在城市道路或高速公路场景中,每平方公里可存在数百辆通信车辆,V2V 链路的并发传输易引发同频干扰,使接收端信噪比(SNR)波动超过 20dB。
- 信道非平稳性:车辆间的距离快速变化导致路径损耗和阴影衰落呈现非线性特征,信道增益的预测误差可达 10dB 以上。
- 能量约束:车载通信设备(如 OBU,On-Board Unit)依赖车载电池供电,过度发射功率会缩短设备续航,增加维护成本。
干扰模型可描述为:某车辆的接收信噪比(SNR)为:
TypeScript取消自动换行复制
SNR_k = (p_k · g_kk) / (σ² + Σ_{j≠k} p_j · g_kj)
其中,p_k为车辆k的发射功率,g_kk为车辆k到自身接收端的信道增益(V2I 场景)或目标车辆的信道增益(V2V 场景),g_kj为车辆j对车辆k的干扰信道增益,σ²为高斯白噪声功率。能量谱效率(ESE)定义为:
TypeScript取消自动换行复制
ESE_k = (log2(1 + SNR_k)) / p_k
(单位:bit/J/Hz),反映单位能量和单位频谱下的有效传输速率。
1.2 现有功率控制方法的局限性
传统功率控制方法在车载场景中存在明显短板:
- 分布式功率控制(如 Foschini-Miljanic 算法):仅基于本地信道信息调整功率,易陷入 “干扰抬升” 恶性循环(某车辆增大功率对抗干扰,导致其他车辆跟进增功)。
- 集中式优化:依赖中心节点(如路侧单元 RSU)收集全局信息,在高动态场景中因信息更新延迟导致鲁棒性不足。
- 单一目标优化:或追求最大吞吐量(忽略能耗),或追求最小能耗(牺牲传输质量),未实现能量与频谱的联合高效利用。
- 缺乏干扰管理机制:未对干扰源进行分类处理,在密集场景中计算复杂度呈指数增长。
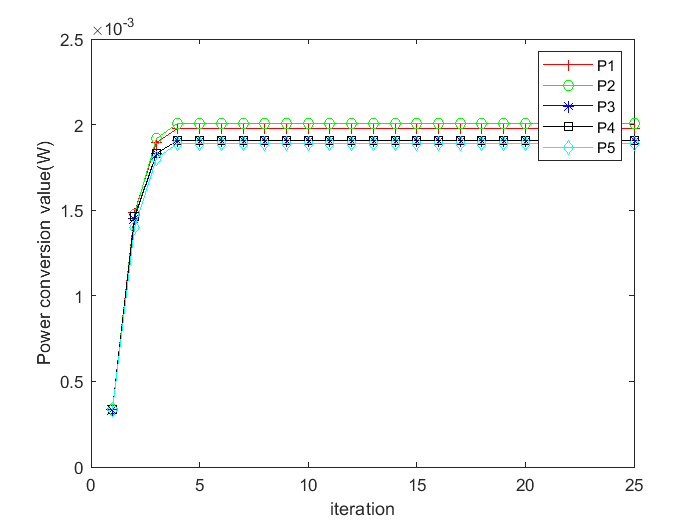
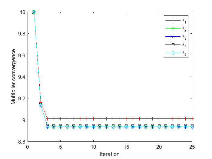
⛳️ 运行结果



📣 部分代码
V1=18*ones(1,5)+2*F*ones(1,5);%The speed vector of active CM transmitters in all clusters
V2=[20,20,20,20,20];%The speed vector of CH receivers in all clusters.
v=zeros(5,5);%Initialize the relative velocity matrix between vehicles.
h=zeros(5,5);%Initialize the mobile links¡¯channel fast fading component in previous time.
G=zeros(5,5);%%Initialize average channel gain matrix between vehicles.
I=zeros(5,5);% Initialize interference channel gain matrix between vehicles.
%(All diagonal elements are 0 elements, because diagonal elements are effective channel gains)
for i=1:5
🔗 参考文献
Y. Xie, Z. Liu, K. Y. Chan and X. Guan, "Energy-Spectral Efficiency Optimization in Vehicular Communications: Joint Clustering and Pricing-based Robust Power Control Approach," in IEEE Transactions on Vehicular Technology, doi: 10.1109/TVT.2020.3021478.
🎈 部分理论引用网络文献,若有侵权联系博主删除
👇 关注我领取海量matlab电子书和数学建模资料
🏆团队擅长辅导定制多种科研领域MATLAB仿真,助力科研梦:
🌈 各类智能优化算法改进及应用
生产调度、经济调度、装配线调度、充电优化、车间调度、发车优化、水库调度、三维装箱、物流选址、货位优化、公交排班优化、充电桩布局优化、车间布局优化、集装箱船配载优化、水泵组合优化、解医疗资源分配优化、设施布局优化、可视域基站和无人机选址优化、背包问题、 风电场布局、时隙分配优化、 最佳分布式发电单元分配、多阶段管道维修、 工厂-中心-需求点三级选址问题、 应急生活物质配送中心选址、 基站选址、 道路灯柱布置、 枢纽节点部署、 输电线路台风监测装置、 集装箱调度、 机组优化、 投资优化组合、云服务器组合优化、 天线线性阵列分布优化、CVRP问题、VRPPD问题、多中心VRP问题、多层网络的VRP问题、多中心多车型的VRP问题、 动态VRP问题、双层车辆路径规划(2E-VRP)、充电车辆路径规划(EVRP)、油电混合车辆路径规划、混合流水车间问题、 订单拆分调度问题、 公交车的调度排班优化问题、航班摆渡车辆调度问题、选址路径规划问题、港口调度、港口岸桥调度、停机位分配、机场航班调度、泄漏源定位
🌈 机器学习和深度学习时序、回归、分类、聚类和降维
2.1 bp时序、回归预测和分类
2.2 ENS声神经网络时序、回归预测和分类
2.3 SVM/CNN-SVM/LSSVM/RVM支持向量机系列时序、回归预测和分类
2.4 CNN|TCN|GCN卷积神经网络系列时序、回归预测和分类
2.5 ELM/KELM/RELM/DELM极限学习机系列时序、回归预测和分类
2.6 GRU/Bi-GRU/CNN-GRU/CNN-BiGRU门控神经网络时序、回归预测和分类
2.7 ELMAN递归神经网络时序、回归\预测和分类
2.8 LSTM/BiLSTM/CNN-LSTM/CNN-BiLSTM/长短记忆神经网络系列时序、回归预测和分类
2.9 RBF径向基神经网络时序、回归预测和分类
2.10 DBN深度置信网络时序、回归预测和分类
2.11 FNN模糊神经网络时序、回归预测
2.12 RF随机森林时序、回归预测和分类
2.13 BLS宽度学习时序、回归预测和分类
2.14 PNN脉冲神经网络分类
2.15 模糊小波神经网络预测和分类
2.16 时序、回归预测和分类
2.17 时序、回归预测预测和分类
2.18 XGBOOST集成学习时序、回归预测预测和分类
2.19 Transform各类组合时序、回归预测预测和分类
方向涵盖风电预测、光伏预测、电池寿命预测、辐射源识别、交通流预测、负荷预测、股价预测、PM2.5浓度预测、电池健康状态预测、用电量预测、水体光学参数反演、NLOS信号识别、地铁停车精准预测、变压器故障诊断
🌈图像处理方面
图像识别、图像分割、图像检测、图像隐藏、图像配准、图像拼接、图像融合、图像增强、图像压缩感知
🌈 路径规划方面
旅行商问题(TSP)、车辆路径问题(VRP、MVRP、CVRP、VRPTW等)、无人机三维路径规划、无人机协同、无人机编队、机器人路径规划、栅格地图路径规划、多式联运运输问题、 充电车辆路径规划(EVRP)、 双层车辆路径规划(2E-VRP)、 油电混合车辆路径规划、 船舶航迹规划、 全路径规划规划、 仓储巡逻
🌈 无人机应用方面
无人机路径规划、无人机控制、无人机编队、无人机协同、无人机任务分配、无人机安全通信轨迹在线优化、车辆协同无人机路径规划
🌈 通信方面
传感器部署优化、通信协议优化、路由优化、目标定位优化、Dv-Hop定位优化、Leach协议优化、WSN覆盖优化、组播优化、RSSI定位优化、水声通信、通信上传下载分配
🌈 信号处理方面
信号识别、信号加密、信号去噪、信号增强、雷达信号处理、信号水印嵌入提取、肌电信号、脑电信号、信号配时优化、心电信号、DOA估计、编码译码、变分模态分解、管道泄漏、滤波器、数字信号处理+传输+分析+去噪、数字信号调制、误码率、信号估计、DTMF、信号检测
🌈电力系统方面
微电网优化、无功优化、配电网重构、储能配置、有序充电、MPPT优化、家庭用电、电/冷/热负荷预测、电力设备故障诊断、电池管理系统(BMS)SOC/SOH估算(粒子滤波/卡尔曼滤波)、 多目标优化在电力系统调度中的应用、光伏MPPT控制算法改进(扰动观察法/电导增量法)
🌈 元胞自动机方面
交通流 人群疏散 病毒扩散 晶体生长 金属腐蚀
🌈 雷达方面
卡尔曼滤波跟踪、航迹关联、航迹融合、SOC估计、阵列优化、NLOS识别
🌈 车间调度
零等待流水车间调度问题NWFSP 、 置换流水车间调度问题PFSP、 混合流水车间调度问题HFSP 、零空闲流水车间调度问题NIFSP、分布式置换流水车间调度问题 DPFSP、阻塞流水车间调度问题BFSP
👇

被折叠的 条评论
为什么被折叠?



