✅作者简介:热爱科研的Matlab仿真开发者,修心和技术同步精进,matlab项目合作可私信。
🍎个人主页:Matlab科研工作室
🍊个人信条:格物致知。
更多Matlab仿真内容点击👇
⛄ 内容介绍
传统传染病SIR模型是一种常见的流行病学模型,用于描述传染病在人群中的传播过程。SIR模型将人群分为三个互相转化的类别:易感者 (Susceptible)、感染者 (Infected) 和康复者 (Recovered)。
以下是传统传染病SIR模型的基本假设和方程:
-
基本假设:
-
人群数量固定,没有出生、死亡、迁移等因素;
-
传染病只通过直接接触传播;
-
一旦感染,个体将一直保持感染状态,不会复发或死亡。
-
-
方程:
-
Susceptible (S) 的变化率:dS/dt = -β * S * I,其中 β 是传染率,表示每个感染者每天传染给易感者的平均人数。
-
Infected (I) 的变化率:dI/dt = β * S * I - γ * I,其中 γ 是恢复率,表示每个感染者每天康复或移除的平均概率。
-
Recovered (R) 的变化率:dR/dt = γ * I。
-
在SIR模型中,初始时刻的人群中大部分为易感者,少部分为感染者或康复者。通过求解上述方程,可以得到随时间变化的易感者、感染者和康复者的数量。一旦康复者达到一定比例,即达到免疫人群的比例,传染病在人群中将得到控制。
需要注意的是,传统的SIR模型是基于一些简化的假设,并不能完全反映真实的传染病传播过程。在实际应用中,可以对SIR模型进行改进,考虑更多复杂的因素,如人群流动性、治疗和疫苗接种等。这些改进的模型可以更好地适应具体传染病的特点和实际情况,用于疫情预测和控制策略制定。
⛄ 部分代码
function [pmCount_X pmCount_Y pmCount_Z] = mean_fieldSIR(N,beta,gamma,T)X = zeros(1,T); % calculate the susceptible individuals in each time step;Y = zeros(1,T); % calculate the infected individuals in each time step;Z = zeros(1,T); % calculate the recovery individuals in each time step;pmCount_X = zeros(1,T); %probability of X;pmCount_Y = zeros(1,T); %probability of Y;pmCount_Z = zeros(1,T); %probability of Z;new_YY = zeros(1,T);%the newly cases in each time stepnew_RR = zeros(1,T);%the newly recovery in each time stepY(1,1) = 100;%100 infected individualsX(1,1) = N - Y(1,1);for t = 2 : Tnew_YY(t) = beta * X(t - 1) * Y(t - 1)/N;X(t) = X(t - 1) - new_YY(t);Y(t) = Y(t - 1) + new_YY(t) - gamma *Y(t - 1);endZ = N - X - Y;pmCount_X = X / N;pmCount_Y = Y / N;pmCount_Z = Z / N;%plot(pmCount_X,'ok');%hold on;%plot(pmCount_Y,'ok');%hold on;%plot(pmCount_Z,'ok');
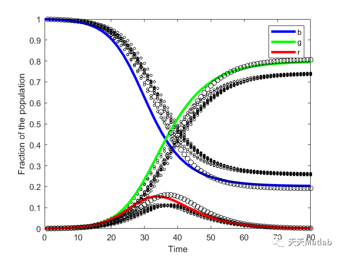
⛄ 运行结果

⛄ 参考文献
[1] 魏巍,邹红文.基于Matlab的传染病动力学模型仿真平台[J].微计算机信息, 2007(34):3.DOI:10.3969/j.issn.1008-0570.2007.34.080.
[2] 丁黄艳铁禧玥.基于SIR传染病模型的印度新冠疫情波及影响分析[J].重庆工商大学学报:自然科学版, 2022, 39(5):70-77.
⛳️ 代码获取关注我
❤️部分理论引用网络文献,若有侵权联系博主删除
❤️ 关注我领取海量matlab电子书和数学建模资料
🍅 仿真咨询
1 各类智能优化算法改进及应用
生产调度、经济调度、装配线调度、充电优化、车间调度、发车优化、水库调度、三维装箱、物流选址、货位优化、公交排班优化、充电桩布局优化、车间布局优化、集装箱船配载优化、水泵组合优化、解医疗资源分配优化、设施布局优化、可视域基站和无人机选址优化
2 机器学习和深度学习方面
卷积神经网络(CNN)、LSTM、支持向量机(SVM)、最小二乘支持向量机(LSSVM)、极限学习机(ELM)、核极限学习机(KELM)、BP、RBF、宽度学习、DBN、RF、RBF、DELM、XGBOOST、TCN实现风电预测、光伏预测、电池寿命预测、辐射源识别、交通流预测、负荷预测、股价预测、PM2.5浓度预测、电池健康状态预测、水体光学参数反演、NLOS信号识别、地铁停车精准预测、变压器故障诊断
2.图像处理方面
图像识别、图像分割、图像检测、图像隐藏、图像配准、图像拼接、图像融合、图像增强、图像压缩感知
3 路径规划方面
旅行商问题(TSP)、车辆路径问题(VRP、MVRP、CVRP、VRPTW等)、无人机三维路径规划、无人机协同、无人机编队、机器人路径规划、栅格地图路径规划、多式联运运输问题、车辆协同无人机路径规划、天线线性阵列分布优化、车间布局优化
4 无人机应用方面
无人机路径规划、无人机控制、无人机编队、无人机协同、无人机任务分配
5 无线传感器定位及布局方面
传感器部署优化、通信协议优化、路由优化、目标定位优化、Dv-Hop定位优化、Leach协议优化、WSN覆盖优化、组播优化、RSSI定位优化
6 信号处理方面
信号识别、信号加密、信号去噪、信号增强、雷达信号处理、信号水印嵌入提取、肌电信号、脑电信号、信号配时优化
7 电力系统方面
微电网优化、无功优化、配电网重构、储能配置
8 元胞自动机方面
交通流 人群疏散 病毒扩散 晶体生长
9 雷达方面
卡尔曼滤波跟踪、航迹关联、航迹融合
文章介绍了使用Matlab进行传染病SIR模型的仿真,包括基本假设、方程和代码实现。此外,还提到了模型在考虑复杂因素如人群流动性后的改进,以及其在疾病预测和控制策略中的应用。同时,作者提供智能优化算法、机器学习、图像处理、路径规划和无线传感器等多个领域的咨询服务。
8万+

被折叠的 条评论
为什么被折叠?



