✅作者简介:热爱科研的Matlab仿真开发者,擅长数据处理、建模仿真、程序设计、完整代码获取、论文复现及科研仿真。
🍎 往期回顾关注个人主页:Matlab科研工作室
🍊个人信条:格物致知,完整Matlab代码及仿真咨询内容私信。
🔥 内容介绍
随着计算机视觉和自主系统领域的飞速发展,精确可靠的物体跟踪技术已成为诸多应用的核心。在复杂的3D环境中,如何有效地对运动物体进行状态估计和轨迹预测,是当前研究面临的关键挑战。扩展卡尔曼滤波器(Extended Kalman Filter, EKF)作为一种经典且强大的非线性滤波方法,在处理非线性系统和噪声数据方面展现出卓越的能力。本文深入探讨了在3D空间中运用EKF进行物体跟踪的理论基础、实现细节及其在实际应用中的优势与局限。文章首先回顾了卡尔曼滤波器的基本原理,并在此基础上详细阐述了EKF如何通过泰勒级数展开对非线性系统进行线性化近似。随后,本文构建了一个适用于3D物体跟踪的系统模型和观测模型,并讨论了状态向量、过程噪声和测量噪声的选取。最后,通过案例分析,展示了EKF在车辆、行人等3D物体跟踪中的实际效果,并对未来的研究方向进行了展望。
关键词
扩展卡尔曼滤波器;3D物体跟踪;非线性滤波;状态估计;计算机视觉
1. 引言
物体跟踪是计算机视觉领域一个长期且活跃的研究课题,其目标是在视频序列中或传感器数据流中持续地识别和定位特定物体。从自动驾驶、机器人导航到人机交互和视频监控,物体跟踪技术无处不在。特别是在3D环境中,由于视点变化、遮挡、光照条件以及物体自身复杂的运动模式,使得3D物体跟踪比2D跟踪更具挑战性。
传统的跟踪方法,如基于特征匹配、光流或模板匹配的方法,往往在面对物体快速运动、形变或部分遮挡时表现不佳。近年来,基于模型的方法,特别是利用概率滤波框架的方法,因其能够有效地融合多源信息并处理不确定性而受到广泛关注。其中,卡尔曼滤波器(Kalman Filter, KF)及其变种是处理线性高斯系统状态估计的标准工具。然而,现实世界中的物体运动和传感器观测模型往往是非线性的,这使得KF无法直接应用。
为了应对非线性系统的挑战,科学家们发展出了扩展卡尔曼滤波器(EKF)。EKF通过在每个时间步对非线性函数进行局部线性化,从而将非线性问题近似为一系列线性问题,并在此基础上应用卡尔曼滤波的预测-更新框架。尽管EKF在某些情况下可能面临线性化误差和不稳定性问题,但其相对较低的计算复杂性和易于实现的特点,使其成为3D物体跟踪领域中广泛应用的有效工具。
本文旨在全面探讨EKF在3D物体跟踪中的应用。第二节将简要回顾卡尔曼滤波器的基本原理,为理解EKF奠定基础。第三节将深入阐述EKF的数学推导和算法流程,并介绍其在3D物体跟踪中的系统模型和观测模型构建。第四节将通过具体案例分析EKF在不同场景下的跟踪表现,并讨论其优缺点。第五节将总结全文,并对未来的研究方向提出展望。
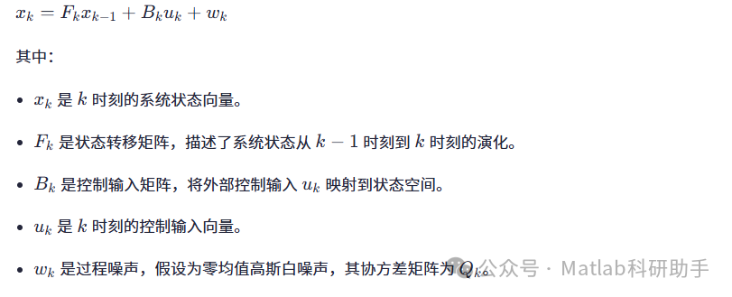
2. 卡尔曼滤波器原理回顾
卡尔曼滤波器是一个最优线性估计器,它能够在存在高斯噪声的线性动态系统中,通过一系列包含噪声的测量值,估计系统状态。卡尔曼滤波器通过预测和更新两个步骤迭代地进行状态估计。
2.1 系统模型
卡尔曼滤波器假设系统状态随时间演化可以用以下线性差分方程表示:




3. 扩展卡尔曼滤波器在3D物体跟踪中的应用
卡尔曼滤波器强大的地方在于它能够结合预测和观测来得到更准确的估计。然而,当系统动态和观测模型是非线性时,标准的卡尔曼滤波器就无法直接使用了。扩展卡尔曼滤波器通过在当前估计点附近对非线性函数进行线性化来解决这个问题。
3.1 扩展卡尔曼滤波器原理
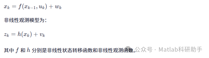
EKF的核心思想是利用泰勒级数展开将非线性函数近似为线性函数。假设非线性系统模型为:

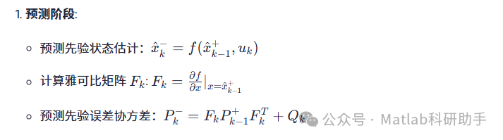
EKF的预测和更新步骤如下:




3.2 3D物体跟踪中的系统模型构建
在3D物体跟踪中,我们需要定义一个状态向量来描述物体在3D空间中的运动。一个常见的状态向量包括物体的位置、速度和加速度。例如,一个6维状态向量可以表示为:

运动模型(状态转移函数 ff):
一个常用的运动模型是匀速直线运动模型(Constant Velocity Model)。在这种模型下,我们假设物体在预测间隔内保持匀速运动,其状态转移函数为:

![]()

如果考虑更复杂的运动模式,如匀加速运动模型(Constant Acceleration Model),状态向量会增加加速度项,相应的状态转移函数和雅可比矩阵也会变得更复杂。

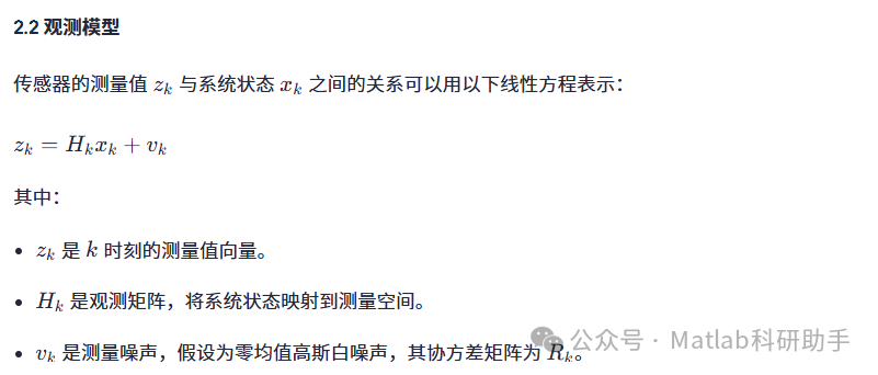
3.3 3D物体跟踪中的观测模型构建
观测模型描述了传感器测量值与物体状态之间的关系。在3D物体跟踪中,常用的传感器包括激光雷达(LiDAR)、毫米波雷达和立体摄像头等。





3.4 EKF的优势与局限
优势:
- 处理非线性系统
: EKF能够处理非线性的运动和观测模型,使其适用于更广泛的实际应用。
- 计算效率高
: 相较于粒子滤波器等其他非线性滤波方法,EKF的计算复杂度较低,适用于实时应用。
- 融合多源信息
: EKF能够有效地融合来自不同传感器(如激光雷达、雷达、摄像头)的数据,提高跟踪的鲁棒性和精度。
- 提供不确定性估计
: EKF不仅提供状态估计,还提供误差协方差矩阵,量化了估计的不确定性。
局限:
- 线性化误差
: EKF通过泰勒级数展开进行局部线性化,当非线性程度非常高时,线性化误差可能导致滤波器性能下降甚至发散。
- 对初始值敏感
: EKF的性能在一定程度上依赖于初始状态估计的准确性,不佳的初始估计可能导致滤波器收敛到错误的局部最优解。
- 雅可比矩阵计算
: 对于复杂的非线性函数,手动计算雅可比矩阵可能繁琐且容易出错。
- 不适用于强非高斯噪声
: EKF假设过程噪声和测量噪声是高斯分布,当噪声分布严重偏离高斯分布时,EKF的性能会受到影响。
4. 案例分析
本节将通过一个具体的案例来展示EKF在3D物体跟踪中的应用,以更好地理解其工作原理和实际效果。假设我们需要在自动驾驶场景中跟踪一辆车辆。

4.2 EKF实现细节

运动模型:
采用匀速直线运动模型,状态转移函数和雅可比矩阵如3.2节所述。时间步长 ΔtΔt 取决于激光雷达的采样频率。
观测模型:
激光雷达直接提供目标车辆的3D位置信息,因此观测函数是线性的,如3.3节所述。
噪声参数:



4.3 跟踪结果分析
通过仿真或实际数据,我们可以观察到EKF的跟踪效果。
- 平滑性
: EKF能够有效地滤除测量噪声,使得跟踪轨迹比原始测量数据更加平滑。
- 鲁棒性
: 即使在某些时刻测量数据缺失或存在较大噪声时,EKF也能够利用其预测能力维持对物体状态的合理估计。
- 预测能力
: EKF能够根据当前的运动模型对物体未来的位置进行预测,这对于路径规划和碰撞避免至关重要。
- 局限性展示
: 当目标车辆突然进行急转弯或急加速时,如果我们的匀速运动模型不能很好地捕捉这种动态变化,EKF的估计可能会出现滞后或偏差。此时,增大过程噪声协方差 QQ 可以使滤波器更快地响应变化,但也会增加对测量噪声的敏感性。
5. 结论与展望
本文详细介绍了扩展卡尔曼滤波器在3D物体跟踪中的理论基础、系统模型和观测模型构建以及实际应用。EKF作为一种强大的非线性滤波工具,在处理存在噪声的非线性系统时表现出良好的性能,尤其适用于自动驾驶、机器人和监控等实时应用。通过融合多源传感器数据,EKF能够提供平滑、鲁棒且具有不确定性估计的物体跟踪结果。
尽管EKF在实践中取得了显著成功,但其固有的线性化近似和高斯噪声假设也带来了局限性。未来,以下几个方向值得深入研究:
- 改进非线性处理能力
: 探索更先进的非线性滤波方法,如无迹卡尔曼滤波器(Unscented Kalman Filter, UKF)或粒子滤波器(Particle Filter, PF),它们在处理强非线性系统和非高斯噪声方面具有优势,但计算复杂度也更高。
- 自适应噪声估计
: 研究如何动态地估计过程噪声和测量噪声的协方差矩阵,使其能够根据环境和物体运动模式的变化而调整,从而提高滤波器的自适应性。
- 多目标跟踪
: 将EKF扩展到多目标跟踪场景,解决数据关联问题,即如何将传感器测量值正确地分配给不同的目标。
- 结合深度学习
: 探索将EKF与深度学习技术相结合,利用深度学习模型从原始传感器数据中提取更鲁棒、更准确的特征,并将其作为EKF的输入,以提高跟踪性能,尤其是在复杂场景和遮挡情况下。
- 语义信息融合
: 考虑将物体的高级语义信息(如物体类别、行为意图)融入到跟踪框架中,以实现更智能、更准确的跟踪。
随着传感器技术和计算能力的不断进步,以及对更高级别自主系统需求的增长,3D物体跟踪技术将持续发展。扩展卡尔曼滤波器及其变种将继续在这一领域发挥重要作用,并与其他先进技术共同推动物体跟踪技术迈向新的高度。
⛳️ 运行结果



🔗 参考文献
[1] 宗长富,潘钊,胡丹,等.基于扩展卡尔曼滤波的信息融合技术在车辆状态估计中的应用[J].机械工程学报, 2009, 45(10):6.DOI:10.3901/JME.2009.10.272.
[2] 庞涛,徐壮,徐殿国.基于扩展卡尔曼滤波器的永磁同步电动机无传感器矢量控制[J].微电机, 2009(1):3.DOI:10.3969/j.issn.1001-6848.2009.01.003.
[3] 黄智武,何继爱,田亚菲,等.采用扩展卡尔曼滤波实现无传感的调速系统仿真[J].甘肃科学学报, 2005, 17(2):4.DOI:10.3969/j.issn.1004-0366.2005.02.025.
📣 部分代码
🎈 部分理论引用网络文献,若有侵权联系博主删除
👇 关注我领取海量matlab电子书和数学建模资料
🏆团队擅长辅导定制多种科研领域MATLAB仿真,助力科研梦:
🌈 各类智能优化算法改进及应用
生产调度、经济调度、装配线调度、充电优化、车间调度、发车优化、水库调度、三维装箱、物流选址、货位优化、公交排班优化、充电桩布局优化、车间布局优化、集装箱船配载优化、水泵组合优化、解医疗资源分配优化、设施布局优化、可视域基站和无人机选址优化、背包问题、 风电场布局、时隙分配优化、 最佳分布式发电单元分配、多阶段管道维修、 工厂-中心-需求点三级选址问题、 应急生活物质配送中心选址、 基站选址、 道路灯柱布置、 枢纽节点部署、 输电线路台风监测装置、 集装箱调度、 机组优化、 投资优化组合、云服务器组合优化、 天线线性阵列分布优化、CVRP问题、VRPPD问题、多中心VRP问题、多层网络的VRP问题、多中心多车型的VRP问题、 动态VRP问题、双层车辆路径规划(2E-VRP)、充电车辆路径规划(EVRP)、油电混合车辆路径规划、混合流水车间问题、 订单拆分调度问题、 公交车的调度排班优化问题、航班摆渡车辆调度问题、选址路径规划问题、港口调度、港口岸桥调度、停机位分配、机场航班调度、泄漏源定位
🌈 机器学习和深度学习时序、回归、分类、聚类和降维
2.1 bp时序、回归预测和分类
2.2 ENS声神经网络时序、回归预测和分类
2.3 SVM/CNN-SVM/LSSVM/RVM支持向量机系列时序、回归预测和分类
2.4 CNN|TCN|GCN卷积神经网络系列时序、回归预测和分类
2.5 ELM/KELM/RELM/DELM极限学习机系列时序、回归预测和分类
2.6 GRU/Bi-GRU/CNN-GRU/CNN-BiGRU门控神经网络时序、回归预测和分类
2.7 ELMAN递归神经网络时序、回归\预测和分类
2.8 LSTM/BiLSTM/CNN-LSTM/CNN-BiLSTM/长短记忆神经网络系列时序、回归预测和分类
2.9 RBF径向基神经网络时序、回归预测和分类
2.10 DBN深度置信网络时序、回归预测和分类
2.11 FNN模糊神经网络时序、回归预测
2.12 RF随机森林时序、回归预测和分类
2.13 BLS宽度学习时序、回归预测和分类
2.14 PNN脉冲神经网络分类
2.15 模糊小波神经网络预测和分类
2.16 时序、回归预测和分类
2.17 时序、回归预测预测和分类
2.18 XGBOOST集成学习时序、回归预测预测和分类
2.19 Transform各类组合时序、回归预测预测和分类
方向涵盖风电预测、光伏预测、电池寿命预测、辐射源识别、交通流预测、负荷预测、股价预测、PM2.5浓度预测、电池健康状态预测、用电量预测、水体光学参数反演、NLOS信号识别、地铁停车精准预测、变压器故障诊断
🌈图像处理方面
图像识别、图像分割、图像检测、图像隐藏、图像配准、图像拼接、图像融合、图像增强、图像压缩感知
🌈 路径规划方面
旅行商问题(TSP)、车辆路径问题(VRP、MVRP、CVRP、VRPTW等)、无人机三维路径规划、无人机协同、无人机编队、机器人路径规划、栅格地图路径规划、多式联运运输问题、 充电车辆路径规划(EVRP)、 双层车辆路径规划(2E-VRP)、 油电混合车辆路径规划、 船舶航迹规划、 全路径规划规划、 仓储巡逻
🌈 无人机应用方面
无人机路径规划、无人机控制、无人机编队、无人机协同、无人机任务分配、无人机安全通信轨迹在线优化、车辆协同无人机路径规划
🌈 通信方面
传感器部署优化、通信协议优化、路由优化、目标定位优化、Dv-Hop定位优化、Leach协议优化、WSN覆盖优化、组播优化、RSSI定位优化、水声通信、通信上传下载分配
🌈 信号处理方面
信号识别、信号加密、信号去噪、信号增强、雷达信号处理、信号水印嵌入提取、肌电信号、脑电信号、信号配时优化、心电信号、DOA估计、编码译码、变分模态分解、管道泄漏、滤波器、数字信号处理+传输+分析+去噪、数字信号调制、误码率、信号估计、DTMF、信号检测
🌈电力系统方面
微电网优化、无功优化、配电网重构、储能配置、有序充电、MPPT优化、家庭用电
🌈 元胞自动机方面
交通流 人群疏散 病毒扩散 晶体生长 金属腐蚀
🌈 雷达方面
卡尔曼滤波跟踪、航迹关联、航迹融合、SOC估计、阵列优化、NLOS识别
🌈 车间调度
零等待流水车间调度问题NWFSP 、 置换流水车间调度问题PFSP、 混合流水车间调度问题HFSP 、零空闲流水车间调度问题NIFSP、分布式置换流水车间调度问题 DPFSP、阻塞流水车间调度问题BFSP
👇

被折叠的 条评论
为什么被折叠?



