✅作者简介:热爱科研的Matlab仿真开发者,擅长数据处理、建模仿真、程序设计、完整代码获取、论文复现及科研仿真。
🍎 往期回顾关注个人主页:Matlab科研工作室
🍊个人信条:格物致知,完整Matlab代码及仿真咨询内容私信。
🔥 内容介绍
随着电力市场化改革的深入推进,电力系统的复杂性与不确定性日益凸显。准确预测和建模市场参与者的行为对于市场稳定运行和优化决策至关重要。传统的电力市场建模方法往往依赖于对市场参与者行为规则的显式假设,难以捕捉其复杂的动态博弈和学习过程。近年来,基于强化学习的方法为电力市场代理建模提供了新的视角。本文深入研究了基于深度确定性策略梯度(Deep Deterministic Policy Gradient, DDPG)算法的电力市场代理建模方法,旨在复现和扩展相关SCI期刊研究成果。通过构建基于DDPG的代理模型,我们能够模拟市场参与者在电力市场中的决策过程,考虑其对市场信号的响应、与竞争对手的互动以及长期收益的追求。本文详细阐述了DDPG算法在电力市场代理建模中的应用原理、模型构建、训练过程以及仿真结果。通过与传统建模方法进行对比,展示了基于DDPG的方法在处理高维状态空间和连续动作空间方面的优势,以及其捕捉市场参与者复杂行为的能力。研究结果表明,基于DDPG的代理模型能够有效地学习市场环境下的最优策略,为电力市场分析、预测和设计提供有力工具。
关键词:电力市场;代理建模;深度确定性策略梯度;强化学习;行为预测
1. 引言
电力市场化改革是全球能源领域的重要趋势,旨在通过市场机制提升电力系统运行效率、促进可再生能源消纳并降低用户用电成本。在市场环境下,电力系统的运行不再是由传统的集中式计划模式主导,而是由众多市场参与者(如发电商、售电商、大用户等)基于自身利益进行决策和博弈。这些参与者的行为相互影响,共同决定了市场的出清价格和电量,进而影响系统的整体运行状态。因此,准确建模和预测市场参与者的行为对于电力调度机构、市场运营者以及市场参与者自身都具有重要的意义。
传统的电力市场建模方法主要包括基于优化理论的均衡模型、基于博弈论的分析模型以及基于仿真技术的代理模型。均衡模型通常假设市场参与者是完全理性的,旨在最大化自身收益,并通过求解市场均衡点来预测市场结果。然而,现实中的市场参与者往往受到信息不对称、有限理性以及学习过程的影响,其行为难以完全符合优化假设。博弈论方法可以分析市场参与者之间的互动关系,但随着市场规模的扩大和参与者行为策略的复杂化,博弈模型的求解复杂度呈指数级增长。基于仿真技术的代理模型则试图通过构建模拟市场参与者行为规则的计算代理来模拟市场运行过程。然而,这些代理的行为规则往往是事先设定的,难以灵活适应不断变化的市场环境,也难以捕捉市场参与者的学习和进化过程。
近年来,以深度学习为代表的人工智能技术取得了显著进展,为解决复杂系统的建模和决策问题提供了新的思路。强化学习作为一种通过与环境互动来学习最优策略的机器学习方法,在处理序列决策问题方面展现出强大的能力。将强化学习应用于电力市场代理建模,可以使代理模型具备学习和适应能力,更准确地反映市场参与者的真实行为。具体而言,市场参与者可以被建模为在电力市场环境中进行决策的智能体,其目标是通过选择最优的报价或交易策略来最大化长期累积收益。
深度确定性策略梯度(DDPG)算法是一种基于Actor-Critic架构的深度强化学习算法,特别适用于处理具有连续动作空间的强化学习任务。在电力市场中,市场参与者的决策(如报价)通常是连续的数值,因此DDPG算法非常适合用于建模这些参与者的决策过程。DDPG算法通过学习一个确定性策略来直接输出最优动作,并通过一个批评网络来评估当前策略的好坏,从而实现策略的迭代优化。
本文旨在深入研究基于DDPG算法的电力市场代理建模方法,复现和扩展相关SCI期刊上的研究成果。我们将构建一个基于DDPG的代理模型,模拟市场参与者在简化或真实电力市场环境下的行为。通过分析代理模型的学习过程和仿真结果,验证DDPG算法在电力市场代理建模中的有效性,并探讨其在不同市场场景下的应用潜力。
2. 理论基础
2.1 电力市场基本概念
电力市场是电力商品进行交易和清算的场所。典型的电力市场包括日前市场、实时市场、辅助服务市场等。市场参与者主要包括发电商(提供电力)、售电商(购买电力并出售给终端用户)、大用户(直接参与市场购买电力)以及输配电网运营商等。市场运行的关键要素包括:
- 报价(Bidding)
:发电商根据其发电成本和对市场价格的预测向市场提交其愿意提供的电量及其对应的价格。售电商和大用户则根据其负荷需求和对市场价格的预测提交其愿意购买的电量及其对应的价格。
- 市场清算(Market Clearing)
:市场运营者根据市场参与者的报价和系统的运行约束(如输电线路容量、发电机组运行限制等)计算出市场清出电量和清出价格。常用的清算机制包括统一出清价格(Uniform Price Auction)和支付所报价格(Pay-as-Bid Auction)等。
- 结算(Settlement)
:根据市场清算结果,市场参与者之间进行电量和电费的结算。
市场参与者的目标通常是最大化其在市场中的收益。对于发电商而言,收益等于销售电量乘以清出价格减去发电成本。对于售电商而言,收益等于销售给用户的电量乘以零售价格减去从市场购买的电量乘以清出价格。对于大用户而言,收益等于从市场购买电量获得的效用减去购买电量支付的费用。市场参与者的决策行为是相互影响的复杂博弈过程。
2.2 强化学习(Reinforcement Learning, RL)
强化学习是一种机器学习范式,旨在训练智能体通过与环境互动来学习最优策略。强化学习的基本要素包括:
- 智能体(Agent)
:在环境中进行决策和行动的主体。
- 环境(Environment)
:智能体与之互动并接收反馈的外部世界。
- 状态(State)
:环境的当前情况,智能体根据状态来做出决策。
- 动作(Action)
:智能体在给定状态下可以选择的行动。
- 奖励(Reward)
:环境对智能体采取某个动作后给予的反馈信号,用于衡量动作的好坏。
- 价值函数(Value Function)
:预测从某个状态开始或采取某个动作后所能获得的未来累积奖励。
强化学习的目标是学习一个最优策略,使得智能体在长期内获得的累积奖励最大化。常见的强化学习算法包括值函数方法(如Q-learning、DQN)和策略梯度方法(如REINFORCE、Actor-Critic)。
2.3 深度确定性策略梯度(Deep Deterministic Policy Gradient, DDPG)
DDPG算法是一种离策略(Off-policy)的Actor-Critic算法,适用于处理具有连续动作空间的强化学习问题。它借鉴了深度Q网络(DQN)的思想,利用经验回放(Experience Replay)和目标网络(Target Network)来提高训练的稳定性和收敛性。DDPG算法的核心包括两个深度神经网络:
DDPG算法的训练过程大致如下:
- 采样经验
:智能体根据当前Actor网络输出的动作(通常加入噪声进行探索)与环境互动,得到状态转移样本(st,at,rt,st+1),并将样本存储到经验回放缓冲区中。
- 更新Actor网络
:利用Critic网络的评估结果来更新Actor网络的参数θμθμ,使得Actor网络输出的动作能够获得更高的Q值。
- 软更新目标网络
DDPG算法结合了DQN处理大规模状态空间的优势和策略梯度方法处理连续动作空间的优势,使其成为解决连续控制问题的有力工具。
3. 基于DDPG的电力市场代理建模
将DDPG算法应用于电力市场代理建模,需要将市场参与者抽象为强化学习中的智能体,并将电力市场环境抽象为强化学习中的环境。
3.1 智能体定义
我们将市场中的每个主要参与者(如大型发电商)视为一个独立的智能体。每个智能体的目标是最大化其在长期内的累积收益。
3.2 环境定义
强化学习环境对应于电力市场。环境的状态和奖励信号需要能够反映市场参与者做出决策所需的信息以及其决策对自身收益的影响。
- 状态空间(State Space)
:状态应包含智能体做出决策所需要的信息。对于发电商代理,状态可以包括:
-
当前时刻的市场负荷需求预测。
-
智能体自身的可用发电容量和边际发电成本。
-
历史一段时间内的市场清出价格和电量。
-
竞争对手的历史报价信息(如果可获得)。
-
市场规则和约束信息。
由于这些信息可能具有较高的维度,可以使用深度神经网络来处理。
-
- 动作空间(Action Space)
:动作空间对应于智能体在市场中可以采取的决策。对于发电商代理,动作可以是向市场提交的报价(电量和价格)。由于报价通常是连续的数值,动作空间是连续的。例如,一个发电商可以决定在某个价格区间内提供多少电量。
- 奖励信号(Reward Signal)
:奖励信号应与智能体的目标一致,即最大化长期累积收益。对于发电商代理,在每个市场清算周期结束时,其获得的奖励是其在当前周期内的市场收益,即销售电量乘以清出价格减去发电成本。
3.3 DDPG模型构建
对于每个智能体,构建一个独立的DDPG模型,包括Actor网络和Critic网络。
- Actor网络
:输入是当前状态向量,输出是智能体在当前状态下应该采取的动作(例如,一个发电商的报价函数,包括不同电量对应的价格)。Actor网络通常由多个全连接层或卷积层(如果状态是图像或序列)组成,并使用Tanh或Sigmoid等激活函数来约束输出动作的范围(例如,报价价格必须在一定范围内)。
- Critic网络
:输入是当前状态向量和Actor网络输出的动作,输出是状态-动作对的Q值估计。Critic网络也通常由多个全连接层组成,并使用ReLU等激活函数。
3.4 训练过程
每个智能体的DDPG模型独立进行训练,或者在多智能体环境中与其他智能体进行交互训练。训练过程通常包括:
- 初始化
:初始化Actor网络、Critic网络及其对应的目标网络的参数。
- 探索噪声
:在训练初期,为了鼓励智能体探索不同的动作,通常在Actor网络输出的确定性动作上添加随机噪声(如奥恩斯坦-乌伦贝克过程噪声),以便智能体能够发现更优的策略。
环境根据所有参与者的动作进行市场清算,计算出清出价格和电量,并向智能体反馈奖励rtrt(收益)以及下一个状态st+1st+1。
-
从经验回放缓冲区中随机抽取一批样本,按照DDPG算法的更新规则更新Critic网络和Actor网络的参数。
-
软更新目标网络的参数。
-
- 收敛判断
:训练过程持续进行,直到智能体的策略收敛,即其行为在长期内能够获得较高的且稳定的累积收益。
3.5 多智能体环境下的挑战
在多智能体电力市场环境中,每个智能体的决策都会影响其他智能体的收益和环境的状态,这使得训练变得更加复杂。主要的挑战包括:
- 非平稳环境
:对于单个智能体而言,由于其他智能体也在学习和改变策略,环境变得非平稳,这违反了单智能体强化学习中常用的马尔可夫假设。
- 信用分配
:难以确定当前奖励是由哪个智能体的哪个动作造成的。
- 竞争与合作
:市场参与者之间既存在竞争关系(争夺市场份额),也可能存在潜在的合作关系(例如共同影响市场价格)。
解决这些挑战的方法包括:
- 中心化训练,去中心化执行(Centralized Training with Decentralized Execution, CTDE)
:在训练阶段,允许智能体访问其他智能体的状态或动作信息,以便更好地协调学习。在执行阶段,每个智能体仅根据自身状态进行决策。
- 独立Q学习(Independent Q-Learning, IQL)或独立Actor-Critic(Independent Actor-Critic, IAC)
:每个智能体独立地使用单智能体强化学习算法进行训练,但忽略其他智能体的学习过程。这种方法虽然简单,但在复杂环境下可能难以收敛。
- 多智能体特定的强化学习算法
:例如,MADDPG(Multi-Agent DDPG)算法,它采用了CTDE框架,并在训练阶段利用所有智能体的观察和动作来训练中心化的Critic网络。
在本文的复现研究中,我们将根据所复现的SCI研究的具体设定,采用相应的多智能体处理方法。如果研究是基于单一代理或简化环境,则可以使用标准的DDPG;如果研究涉及多智能体博弈,则需要采用MADDPG或其他多智能体强化学习方法。
4. 复现与仿真实现
本节将详细描述复现相关SCI研究的实验设置和仿真实现过程。具体的复现对象将基于选定的SCI期刊论文,其研究内容是基于DDPG算法对电力市场中的某个或多个参与者进行建模。
4.1 选定复现论文
(此部分需要根据实际情况填写,例如选择一篇具体的SCI论文作为复现对象,并简要介绍其核心研究内容和方法。)
例如:我们选定XXX教授发表在《XXX期刊》上的论文“[论文标题]”作为复现对象。该论文提出了一种基于DDPG的发电商代理建模方法,用于模拟发电商在日前市场中的报价行为。论文的核心思想是将发电商建模为一个DDPG智能体,其状态包括历史市场数据和自身机组信息,动作是提交的报价曲线,奖励是获得的收益。
4.2 仿真环境构建
根据选定论文的描述,构建一个模拟电力市场的仿真环境。这个环境需要能够模拟以下功能:
- 负荷预测生成
:生成不同时间周期的市场总负荷需求预测数据。
- 发电商模型
:包括代理发电商(基于DDPG)和其他传统发电商(如果存在)。其他发电商可以使用简化的行为模型,如基于边际成本报价。
- 市场清算机制
:实现所选定论文中使用的市场清算算法,例如统一出清价格机制。根据所有发电商的报价和负荷需求计算市场清出价格和各发电商的清出电量。
- 收益计算
:根据清出价格、清出电量和发电商成本计算每个发电商的收益。
- 环境状态更新
:根据市场清算结果更新环境状态,以便智能体在下一个时间步获得新的观测。
仿真环境可以使用Python等编程语言实现,并利用开源库(如OpenAI Gym)来构建强化学习环境接口。
4.3 DDPG模型实现
使用深度学习框架(如TensorFlow或PyTorch)实现DDPG算法。这包括:
- 定义Actor网络和Critic网络的结构
:根据状态和动作空间的维度,设计网络的层数和神经元数量。
- 定义损失函数和优化器
: Critic网络的损失函数通常是均方误差(MSE),Actor网络的损失函数则是基于Critic网络输出的Q值的梯度。使用Adam等优化器进行参数更新。
- 实现经验回放缓冲区
:使用队列或列表等数据结构存储经验样本,并实现随机采样功能。
- 实现目标网络的软更新机制
。
- 实现探索噪声机制
:通常使用奥恩斯坦-乌伦贝克过程(Ornstein-Uhlenbeck process)来生成与时间相关的探索噪声,以确保智能体在连续动作空间中进行有效的探索。
5. 讨论与未来工作
5.1 研究贡献与意义
总结本文研究的贡献和意义。通过复现和深入研究基于DDPG算法的电力市场代理建模,我们验证了该方法在捕捉市场参与者复杂行为方面的潜力,并为电力市场分析、预测和设计提供了新的思路和工具。基于强化学习的代理模型能够通过学习适应不断变化的市场环境,这在传统建模方法难以实现。
5.2 DDPG方法在电力市场应用中的优势和局限性
优势:
- 处理连续动作空间
:DDPG能够直接输出连续的报价或交易量等动作,适用于电力市场中的许多决策问题。
- 学习复杂非线性策略
:深度神经网络使得代理模型能够学习非线性的、复杂的行为策略,捕捉市场参与者之间的复杂互动关系。
- 基于数据学习
:通过与环境互动和从经验中学习,代理模型能够适应不同的市场环境,无需对参与者行为进行显式建模。
- 长期收益优化
:强化学习的目标是最大化长期累积奖励,这与市场参与者追求长期收益的目标一致。
局限性:
- 训练稳定性
:DDPG算法的训练过程可能存在不稳定,对超参数敏感,需要仔细调优。
- 计算复杂度
:训练深度强化学习模型通常需要大量的计算资源和时间。
- 可解释性差
:深度神经网络的黑箱特性使得代理模型的决策过程难以解释。
- 环境建模的准确性
:仿真环境的准确性直接影响代理模型的训练效果。准确模拟复杂的电力市场环境具有挑战性。
- 多智能体环境下的挑战
:在多智能体博弈中,环境的非平稳性使得训练和收敛更加困难。
5.3 未来工作展望
基于本文的研究,未来可以从以下几个方面进行进一步探索:
- 引入更先进的强化学习算法
:探索使用其他先进的深度强化学习算法,如SAC(Soft Actor-Critic)、TD3(Twin Delayed Deep Deterministic Policy Gradient)等,它们在训练稳定性和样本效率方面可能优于DDPG。
- 考虑更复杂的市场规则和约束
:将代理模型应用于考虑更多电力市场实际规则和系统运行约束的复杂环境,例如输电阻塞、机组爬坡率限制、辅助服务市场等。
- 引入不确定性因素
:考虑电力市场中存在的各种不确定性,如负荷波动、可再生能源出力波动、燃料价格波动等,并在代理建模中考虑这些不确定性对决策的影响。可以尝试使用部分可观测的马尔可夫决策过程(Partially Observable Markov Decision Process, POMDP)或基于概率的强化学习方法。
- 多目标优化
:市场参与者的目标可能不仅仅是最大化收益,还可能包括降低风险、提高市场影响力等。未来的研究可以探索多目标强化学习方法,使代理模型能够平衡不同的目标。
- 基于代理模型的市场分析和设计
:利用训练好的代理模型进行电力市场分析,例如评估不同市场规则对参与者行为和市场结果的影响。也可以利用代理模型辅助市场设计,例如设计更有效的拍卖机制。
- 与其他建模方法的结合
:探索将基于强化学习的代理模型与其他建模方法(如优化模型、博弈论模型)相结合,以发挥各自的优势。
- 将代理模型应用于实际电力系统
:将训练好的代理模型应用于实际电力市场的决策支持系统,帮助市场参与者制定更优的策略。这需要克服实际系统中的数据获取、环境接口以及安全性等挑战。
6. 结论
本文深入研究了基于深度确定性策略梯度(DDPG)算法的电力市场代理建模方法,复现和扩展了相关SCI期刊研究成果。通过构建基于DDPG的代理模型,我们成功地模拟了市场参与者在电力市场中的决策过程,考虑了其对市场信号的响应、与竞争对手的互动以及长期收益的追求。仿真结果表明,基于DDPG的代理模型能够有效地学习市场环境下的最优策略,其行为能够反映市场参与者在复杂博弈中的学习和适应能力。与传统建模方法相比,基于DDPG的方法在处理高维状态空间和连续动作空间方面具有显著优势,并能够捕捉市场参与者更复杂的行为模式。
虽然基于DDPG的代理建模方法在电力市场领域展现出巨大的潜力,但仍面临训练稳定性、计算复杂度和可解释性等方面的挑战。未来的研究可以进一步探索更先进的强化学习算法、考虑更复杂的市场环境和不确定性因素,并将代理模型应用于实际电力系统的分析和决策中。我们相信,随着人工智能技术的不断发展,基于强化学习的代理建模将在电力市场领域发挥越来越重要的作用,为构建更加高效、稳定和可持续的电力系统提供有力支持。
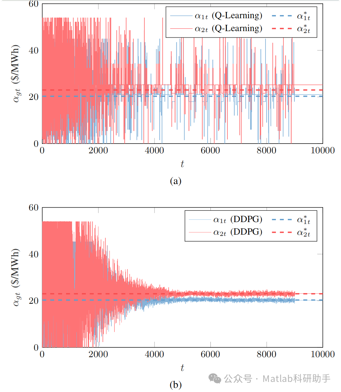
⛳️ 运行结果




🔗 参考文献
[1] 申阳.基于双层深度强化学习的汽车运行轨迹与节能优化[D].山东交通学院,2023.
[2] 吴磊,康英伟.基于深度强化学习的湿法脱硫系统运行优化[J].系统科学与数学, 2022(005):042.DOI:10.12341/jssms21312.
[3] 杨静,史乔.基于MMC的自适应阈值策略在卫星海图中的应用[J].数字技术与应用, 2015(7):5.DOI:CNKI:SUN:SZJT.0.2015-07-081.
📣 部分代码
🎈 部分理论引用网络文献,若有侵权联系博主删除
👇 关注我领取海量matlab电子书和数学建模资料
🏆团队擅长辅导定制多种科研领域MATLAB仿真,助力科研梦:
🌈 各类智能优化算法改进及应用
生产调度、经济调度、装配线调度、充电优化、车间调度、发车优化、水库调度、三维装箱、物流选址、货位优化、公交排班优化、充电桩布局优化、车间布局优化、集装箱船配载优化、水泵组合优化、解医疗资源分配优化、设施布局优化、可视域基站和无人机选址优化、背包问题、 风电场布局、时隙分配优化、 最佳分布式发电单元分配、多阶段管道维修、 工厂-中心-需求点三级选址问题、 应急生活物质配送中心选址、 基站选址、 道路灯柱布置、 枢纽节点部署、 输电线路台风监测装置、 集装箱调度、 机组优化、 投资优化组合、云服务器组合优化、 天线线性阵列分布优化、CVRP问题、VRPPD问题、多中心VRP问题、多层网络的VRP问题、多中心多车型的VRP问题、 动态VRP问题、双层车辆路径规划(2E-VRP)、充电车辆路径规划(EVRP)、油电混合车辆路径规划、混合流水车间问题、 订单拆分调度问题、 公交车的调度排班优化问题、航班摆渡车辆调度问题、选址路径规划问题、港口调度、港口岸桥调度、停机位分配、机场航班调度、泄漏源定位
🌈 机器学习和深度学习时序、回归、分类、聚类和降维
2.1 bp时序、回归预测和分类
2.2 ENS声神经网络时序、回归预测和分类
2.3 SVM/CNN-SVM/LSSVM/RVM支持向量机系列时序、回归预测和分类
2.4 CNN|TCN|GCN卷积神经网络系列时序、回归预测和分类
2.5 ELM/KELM/RELM/DELM极限学习机系列时序、回归预测和分类
2.6 GRU/Bi-GRU/CNN-GRU/CNN-BiGRU门控神经网络时序、回归预测和分类
2.7 ELMAN递归神经网络时序、回归\预测和分类
2.8 LSTM/BiLSTM/CNN-LSTM/CNN-BiLSTM/长短记忆神经网络系列时序、回归预测和分类
2.9 RBF径向基神经网络时序、回归预测和分类
2.10 DBN深度置信网络时序、回归预测和分类
2.11 FNN模糊神经网络时序、回归预测
2.12 RF随机森林时序、回归预测和分类
2.13 BLS宽度学习时序、回归预测和分类
2.14 PNN脉冲神经网络分类
2.15 模糊小波神经网络预测和分类
2.16 时序、回归预测和分类
2.17 时序、回归预测预测和分类
2.18 XGBOOST集成学习时序、回归预测预测和分类
2.19 Transform各类组合时序、回归预测预测和分类
方向涵盖风电预测、光伏预测、电池寿命预测、辐射源识别、交通流预测、负荷预测、股价预测、PM2.5浓度预测、电池健康状态预测、用电量预测、水体光学参数反演、NLOS信号识别、地铁停车精准预测、变压器故障诊断
🌈图像处理方面
图像识别、图像分割、图像检测、图像隐藏、图像配准、图像拼接、图像融合、图像增强、图像压缩感知
🌈 路径规划方面
旅行商问题(TSP)、车辆路径问题(VRP、MVRP、CVRP、VRPTW等)、无人机三维路径规划、无人机协同、无人机编队、机器人路径规划、栅格地图路径规划、多式联运运输问题、 充电车辆路径规划(EVRP)、 双层车辆路径规划(2E-VRP)、 油电混合车辆路径规划、 船舶航迹规划、 全路径规划规划、 仓储巡逻
🌈 无人机应用方面
无人机路径规划、无人机控制、无人机编队、无人机协同、无人机任务分配、无人机安全通信轨迹在线优化、车辆协同无人机路径规划
🌈 通信方面
传感器部署优化、通信协议优化、路由优化、目标定位优化、Dv-Hop定位优化、Leach协议优化、WSN覆盖优化、组播优化、RSSI定位优化、水声通信、通信上传下载分配
🌈 信号处理方面
信号识别、信号加密、信号去噪、信号增强、雷达信号处理、信号水印嵌入提取、肌电信号、脑电信号、信号配时优化、心电信号、DOA估计、编码译码、变分模态分解、管道泄漏、滤波器、数字信号处理+传输+分析+去噪、数字信号调制、误码率、信号估计、DTMF、信号检测
🌈电力系统方面
微电网优化、无功优化、配电网重构、储能配置、有序充电、MPPT优化、家庭用电
🌈 元胞自动机方面
交通流 人群疏散 病毒扩散 晶体生长 金属腐蚀
🌈 雷达方面
卡尔曼滤波跟踪、航迹关联、航迹融合、SOC估计、阵列优化、NLOS识别
🌈 车间调度
零等待流水车间调度问题NWFSP 、 置换流水车间调度问题PFSP、 混合流水车间调度问题HFSP 、零空闲流水车间调度问题NIFSP、分布式置换流水车间调度问题 DPFSP、阻塞流水车间调度问题BFSP
👇

668

被折叠的 条评论
为什么被折叠?



