✅作者简介:热爱科研的Matlab仿真开发者,擅长数据处理、建模仿真、程序设计、完整代码获取、论文复现及科研仿真。
🍎 往期回顾关注个人主页:Matlab科研工作室
🍊个人信条:格物致知,完整Matlab代码及仿真咨询内容私信。
🔥 内容介绍
卫星姿态控制是航天工程领域的核心问题之一,其目标是确保卫星始终保持期望的姿态,从而完成各种空间任务,如对地观测、空间通信和科学探测。由于空间环境的复杂性和卫星自身动力学模型的非线性,设计高效可靠的姿态控制器具有很大的挑战性。本文将探讨一种经典控制策略——双积分器引导设计,并结合ODE45数值求解器,解决卫星姿态控制问题。通过详细的理论分析和仿真验证,旨在展示双积分器引导设计在姿态控制中的优势和适用性。
一、卫星姿态控制系统的模型与挑战
卫星姿态控制系统通常包括传感器(如陀螺仪、星敏感器)、控制器和执行机构(如反作用轮、磁力矩器)。系统模型可以用一组非线性微分方程来描述,其中最常见的是欧拉动力学方程,描述了角速度与角动量之间的关系,以及运动学方程,描述了角速度与姿态角之间的关系。该模型的复杂性主要体现在以下几个方面:
- 非线性:
欧拉动力学方程和运动学方程都是非线性的,这使得线性控制方法难以直接应用,需要进行线性化处理或采用非线性控制方法。
- 耦合性:
卫星的三个姿态轴之间存在耦合,即一个轴的运动会影响其他轴的姿态,这增加了控制设计的难度。
- 外部扰动:
卫星在空间运行过程中会受到各种外部扰动的影响,如太阳光压、大气阻力、引力梯度等,这些扰动会改变卫星的姿态,需要控制器进行补偿。
- 执行机构限制:
执行机构的能力有限,例如反作用轮的转速和力矩输出都有限制,这需要在控制器设计中加以考虑。
因此,设计一个鲁棒、高效的卫星姿态控制器需要综合考虑以上因素,并采用合适的控制策略。
二、双积分器引导设计的基本原理
双积分器引导设计是一种经典的线性控制方法,其核心思想是将控制对象简化为一个双积分器模型,即输出的二阶导数(加速度)直接由控制输入决定。对于复杂的系统,可以通过适当的线性化和解耦处理,将其近似为多个独立的双积分器模型,从而简化控制器的设计。
双积分器模型的传递函数可以表示为:
G(s) = 1/s²
为了实现对该模型的控制,通常采用比例-微分 (PD) 控制器,其传递函数为:
C(s) = Kp + Kd * s
其中,Kp是比例增益,Kd是微分增益。闭环传递函数为:
T(s) = C(s) * G(s) / (1 + C(s) * G(s)) = (Kd * s + Kp) / (s² + Kd * s + Kp)
该闭环系统是一个二阶系统,其阻尼比ζ和自然频率ωn分别为:
ζ = Kd / (2 * sqrt(Kp))
ωn = sqrt(Kp)
通过合理选择Kp和Kd,可以调整闭环系统的阻尼比和自然频率,从而获得期望的控制性能,如快速响应、低超调和良好的稳定性。
对于卫星姿态控制问题,通常将每个姿态轴(如滚转、俯仰、偏航)近似为一个独立的双积分器模型。通过分别设计每个轴的PD控制器,实现对卫星姿态的控制。
三、卫星姿态控制中的双积分器引导设计步骤
- 模型简化与线性化:
将卫星姿态动力学模型进行适当简化和线性化,得到每个姿态轴的近似双积分器模型。例如,可以采用小角度近似,将非线性运动学方程线性化。
- 解耦处理:
针对姿态轴之间的耦合,可以采用解耦控制方法,将耦合项视为扰动,并利用控制器进行补偿。也可以通过坐标变换等方法,降低姿态轴之间的耦合程度。
- PD控制器设计:
根据期望的控制性能指标(如响应时间、超调量、稳态误差),选择合适的比例增益Kp和微分增益Kd,设计每个姿态轴的PD控制器。
- 仿真验证:
利用仿真软件(如MATLAB/Simulink)建立完整的卫星姿态控制系统模型,包括卫星动力学模型、传感器模型、执行机构模型和PD控制器。通过仿真验证控制器的性能,并根据仿真结果调整Kp和Kd,进行参数优化。
- 鲁棒性分析:
分析控制器对模型误差、外部扰动和执行机构限制的鲁棒性。可以采用灵敏度分析、蒙特卡洛仿真等方法,评估控制器的鲁棒性,并采取相应的措施,如增加积分项(PID控制器)或采用鲁棒控制方法,提高控制器的鲁棒性。
四、ODE45数值求解器在仿真中的应用
ODE45是MATLAB中常用的数值求解器,用于求解常微分方程。它是一种变步长的龙格-库塔(Runge-Kutta)方法,具有较高的精度和稳定性。在卫星姿态控制系统的仿真中,需要求解卫星动力学方程和运动学方程,这些方程都是常微分方程,因此可以利用ODE45进行数值求解。
ODE45的使用方法非常简单。首先需要定义一个函数,描述待求解的常微分方程。然后调用ODE45函数,传入该函数、时间范围和初始条件,即可得到数值解。
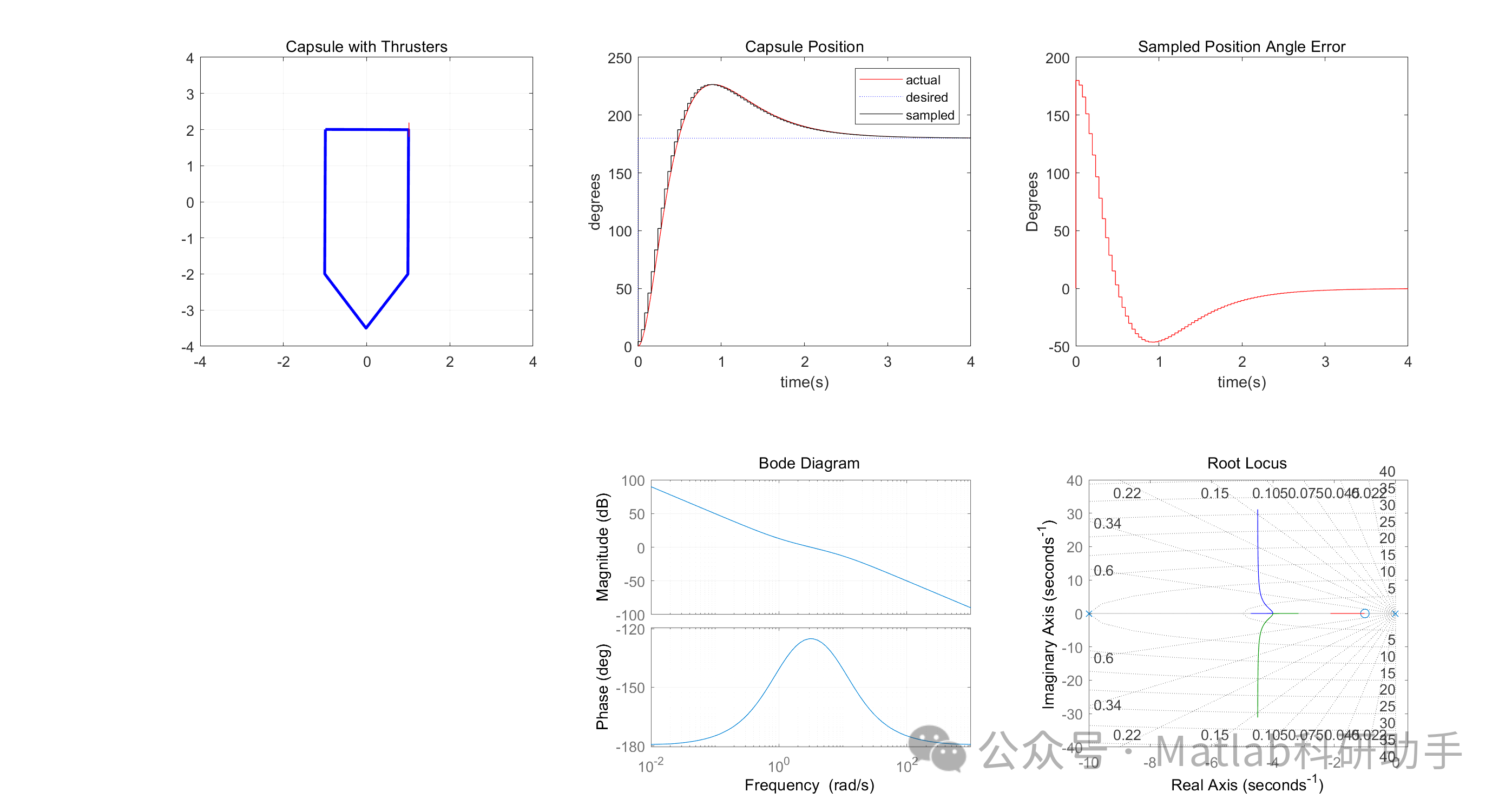
五、典型仿真结果与分析
通过仿真,可以验证双积分器引导设计在卫星姿态控制中的有效性。典型的仿真结果包括:
- 姿态角响应曲线:
可以观察姿态角随时间的变化,评估控制器的响应速度、超调量和稳态误差。
- 角速度响应曲线:
可以观察角速度随时间的变化,评估控制器的稳定性。
- 控制力矩曲线:
可以观察控制力矩的大小,评估控制器的能量消耗和执行机构的利用率。
通过分析仿真结果,可以评估控制器的性能,并进行参数优化。例如,如果姿态角响应速度太慢,可以适当增加比例增益Kp。如果姿态角超调量太大,可以适当增加微分增益Kd。
六、双积分器引导设计的优势与局限性
双积分器引导设计具有以下优势:
- 简单易用:
该方法原理简单,易于理解和实现。
- 计算量小:
该方法计算量小,适用于实时控制系统。
- 良好的稳定性:
通过合理选择参数,可以获得良好的稳定性。
然而,双积分器引导设计也存在一定的局限性:
- 模型简化:
该方法需要对系统模型进行简化和线性化,这可能会导致模型误差,降低控制器的性能。
- 鲁棒性:
该方法对模型误差和外部扰动的鲁棒性较差,需要采取相应的措施,提高控制器的鲁棒性。
- 非线性系统:
对于高度非线性的系统,该方法的性能可能不佳,需要采用非线性控制方法。
七、结论与展望
本文探讨了经典双积分器引导设计在卫星姿态控制中的应用,并结合ODE45数值求解器进行了仿真验证。结果表明,双积分器引导设计可以有效地实现卫星姿态控制,但需要注意模型简化、鲁棒性和非线性因素的影响。
未来的研究方向可以包括:
- 鲁棒控制方法:
采用鲁棒控制方法,提高控制器对模型误差和外部扰动的鲁棒性。
- 自适应控制方法:
采用自适应控制方法,根据卫星的实际运行状态,自动调整控制器参数,提高控制性能。
- 非线性控制方法:
采用非线性控制方法,处理高度非线性的系统,提高控制精度。
- 智能控制方法:
采用人工智能技术,如神经网络、模糊逻辑等,设计智能化的姿态控制器。
⛳️ 运行结果

🔗 参考文献
[1] 黄文恺,浣石.非线性动力系统极限环Runge-Kutta法求解的1个注记 优先出版[J].华南师范大学学报:自然科学版, 2016.
[2] 黄文恺,浣石.非线性动力系统极限环Runge-Kutta法求解的1个注记[J].华南师范大学学报:自然科学版, 2016, 48(4):5.DOI:10.6054/j.jscnun.2016.03.020.
📣 部分代码
🎈 部分理论引用网络文献,若有侵权联系博主删除
👇 关注我领取海量matlab电子书和数学建模资料
🏆团队擅长辅导定制多种科研领域MATLAB仿真,助力科研梦:
🌈 各类智能优化算法改进及应用
生产调度、经济调度、装配线调度、充电优化、车间调度、发车优化、水库调度、三维装箱、物流选址、货位优化、公交排班优化、充电桩布局优化、车间布局优化、集装箱船配载优化、水泵组合优化、解医疗资源分配优化、设施布局优化、可视域基站和无人机选址优化、背包问题、 风电场布局、时隙分配优化、 最佳分布式发电单元分配、多阶段管道维修、 工厂-中心-需求点三级选址问题、 应急生活物质配送中心选址、 基站选址、 道路灯柱布置、 枢纽节点部署、 输电线路台风监测装置、 集装箱调度、 机组优化、 投资优化组合、云服务器组合优化、 天线线性阵列分布优化、CVRP问题、VRPPD问题、多中心VRP问题、多层网络的VRP问题、多中心多车型的VRP问题、 动态VRP问题、双层车辆路径规划(2E-VRP)、充电车辆路径规划(EVRP)、油电混合车辆路径规划、混合流水车间问题、 订单拆分调度问题、 公交车的调度排班优化问题、航班摆渡车辆调度问题、选址路径规划问题、港口调度、港口岸桥调度、停机位分配、机场航班调度、泄漏源定位
🌈 机器学习和深度学习时序、回归、分类、聚类和降维
2.1 bp时序、回归预测和分类
2.2 ENS声神经网络时序、回归预测和分类
2.3 SVM/CNN-SVM/LSSVM/RVM支持向量机系列时序、回归预测和分类
2.4 CNN|TCN|GCN卷积神经网络系列时序、回归预测和分类
2.5 ELM/KELM/RELM/DELM极限学习机系列时序、回归预测和分类
2.6 GRU/Bi-GRU/CNN-GRU/CNN-BiGRU门控神经网络时序、回归预测和分类
2.7 ELMAN递归神经网络时序、回归\预测和分类
2.8 LSTM/BiLSTM/CNN-LSTM/CNN-BiLSTM/长短记忆神经网络系列时序、回归预测和分类
2.9 RBF径向基神经网络时序、回归预测和分类
2.10 DBN深度置信网络时序、回归预测和分类
2.11 FNN模糊神经网络时序、回归预测
2.12 RF随机森林时序、回归预测和分类
2.13 BLS宽度学习时序、回归预测和分类
2.14 PNN脉冲神经网络分类
2.15 模糊小波神经网络预测和分类
2.16 时序、回归预测和分类
2.17 时序、回归预测预测和分类
2.18 XGBOOST集成学习时序、回归预测预测和分类
2.19 Transform各类组合时序、回归预测预测和分类
方向涵盖风电预测、光伏预测、电池寿命预测、辐射源识别、交通流预测、负荷预测、股价预测、PM2.5浓度预测、电池健康状态预测、用电量预测、水体光学参数反演、NLOS信号识别、地铁停车精准预测、变压器故障诊断
🌈图像处理方面
图像识别、图像分割、图像检测、图像隐藏、图像配准、图像拼接、图像融合、图像增强、图像压缩感知
🌈 路径规划方面
旅行商问题(TSP)、车辆路径问题(VRP、MVRP、CVRP、VRPTW等)、无人机三维路径规划、无人机协同、无人机编队、机器人路径规划、栅格地图路径规划、多式联运运输问题、 充电车辆路径规划(EVRP)、 双层车辆路径规划(2E-VRP)、 油电混合车辆路径规划、 船舶航迹规划、 全路径规划规划、 仓储巡逻
🌈 无人机应用方面
无人机路径规划、无人机控制、无人机编队、无人机协同、无人机任务分配、无人机安全通信轨迹在线优化、车辆协同无人机路径规划
🌈 通信方面
传感器部署优化、通信协议优化、路由优化、目标定位优化、Dv-Hop定位优化、Leach协议优化、WSN覆盖优化、组播优化、RSSI定位优化、水声通信、通信上传下载分配
🌈 信号处理方面
信号识别、信号加密、信号去噪、信号增强、雷达信号处理、信号水印嵌入提取、肌电信号、脑电信号、信号配时优化、心电信号、DOA估计、编码译码、变分模态分解、管道泄漏、滤波器、数字信号处理+传输+分析+去噪、数字信号调制、误码率、信号估计、DTMF、信号检测
🌈电力系统方面
微电网优化、无功优化、配电网重构、储能配置、有序充电、MPPT优化、家庭用电
🌈 元胞自动机方面
交通流 人群疏散 病毒扩散 晶体生长 金属腐蚀
🌈 雷达方面
卡尔曼滤波跟踪、航迹关联、航迹融合、SOC估计、阵列优化、NLOS识别
🌈 车间调度
零等待流水车间调度问题NWFSP 、 置换流水车间调度问题PFSP、 混合流水车间调度问题HFSP 、零空闲流水车间调度问题NIFSP、分布式置换流水车间调度问题 DPFSP、阻塞流水车间调度问题BFSP
👇
437

被折叠的 条评论
为什么被折叠?



