✅作者简介:热爱科研的Matlab仿真开发者,擅长数据处理、建模仿真、程序设计、完整代码获取、论文复现及科研仿真。
🍎 往期回顾关注个人主页:Matlab科研工作室
🍊个人信条:格物致知,完整Matlab代码及仿真咨询内容私信。
🔥 内容介绍
地震P波的准确到达时间是地震定位、地震层析成像、震源机制解以及地震预警等研究的基础。长期以来,地震学家们致力于开发高效、可靠的P波到达时间拾取方法。传统的P波拾取依赖于人工判读,耗时费力,且容易受到观测者主观因素的影响。随着地震监测台网规模的不断扩大,自动化的P波拾取技术显得尤为重要。近年来,各种自动P波拾取算法层出不穷,但仍然面临着噪声干扰、弱震信号识别以及拾取结果的准确性评估等挑战。本文将探讨一种具有信噪比(SNR)输出的自动P波到达时间选择器,重点关注其原理、优势以及在实际应用中的潜在价值。
自动P波拾取算法的发展现状
现有的自动P波拾取算法可以大致分为以下几类:
-
基于特征函数的方法: 这类方法通过计算地震波形的某种特征函数,如能量、振幅、频率等,来识别P波的到达。常用的特征函数包括STA/LTA(短时平均/长时平均)比值、AIC(Akaike Information Criterion)准则、以及各种改进的基于能量的特征函数。STA/LTA算法实现简单,计算速度快,但容易受到突发噪声的干扰,尤其是在信噪比较低的情况下。AIC准则在理论上具有一定的优势,但需要精确的参数选择,且计算量相对较大。
-
基于模式识别的方法: 这类方法将地震波形视为一种模式,通过机器学习或深度学习等技术,训练模型来自动识别P波的到达。常用的模式识别算法包括神经网络、支持向量机(SVM)以及各种卷积神经网络(CNN)。基于模式识别的算法通常需要大量的训练数据,且模型的泛化能力至关重要。
-
基于小波变换的方法: 小波变换具有良好的时频分析能力,可以有效地提取地震波形的瞬时特征。基于小波变换的P波拾取算法通常通过检测小波系数的突变来识别P波的到达。这类方法对噪声具有一定的鲁棒性,但参数设置较为复杂。
尽管这些算法在一定程度上提高了P波拾取的效率,但仍然存在一些不足之处。例如,很多算法对噪声敏感,在信噪比较低的情况下容易出现误判。此外,大多数算法缺乏对拾取结果的可靠性评估,难以区分真正的P波信号和噪声干扰。
具有信噪比输出的自动P波到达时间选择器
本文探讨的自动P波到达时间选择器旨在克服传统算法的不足,通过引入信噪比的评估,提高拾取结果的可靠性。该算法的基本思路如下:
-
预处理: 对地震波形进行预处理,包括去均值、去趋势、滤波等,以降低噪声的影响。
-
特征提取: 选择合适的特征函数,如改进的STA/LTA比值或基于能量的特征函数,来初步识别潜在的P波到达时间。在特征函数的选择上,需要权衡其对不同类型地震信号的敏感性和对噪声的鲁棒性。
-
信噪比评估: 在初步识别的P波到达时间附近,计算信号的信噪比。信噪比的计算可以采用多种方法,例如:
- 经典方法:
选取P波到达时间前后一段时间内的波形作为信号和噪声,分别计算其能量,然后计算信号能量与噪声能量的比值。
- 基于频率域的方法:
对信号和噪声进行傅里叶变换,分析其频谱特征,选取P波主要频率成分所在的频段,计算该频段内信号能量与噪声能量的比值。
- 基于小波变换的方法:
利用小波变换的时频分析能力,提取P波的特征频率成分,计算该成分的能量与噪声能量的比值。
- 经典方法:
-
阈值判决: 设定信噪比阈值,只有信噪比高于阈值的P波到达时间才被认为是有效的。阈值的设定需要根据实际地震数据的噪声水平进行调整。
-
精细化调整: 对于通过信噪比阈值判决的P波到达时间,可以进一步进行精细化调整,例如采用插值算法或基于波形相似度的匹配方法,以提高拾取的精度。
该算法的优势
相比于传统的自动P波拾取算法,该算法具有以下优势:
-
提高拾取结果的可靠性: 通过引入信噪比的评估,可以有效区分真正的P波信号和噪声干扰,降低误判率。
-
自适应性强: 信噪比阈值的设定可以根据实际地震数据的噪声水平进行调整,使其具有较强的自适应性。
-
易于实现: 该算法的各个步骤都相对简单,易于实现,且计算效率较高。
实际应用中的潜在价值
该算法在实际应用中具有广泛的潜在价值:
-
提高地震定位精度: 准确的P波到达时间是地震定位的基础。该算法可以提供更可靠的P波到达时间,从而提高地震定位的精度。
-
改进地震层析成像结果: 地震层析成像利用地震波的传播时间来反演地球内部的结构。该算法可以提供更准确的传播时间数据,从而改进地震层析成像的结果。
-
提升地震预警系统的效率: 地震预警系统需要在地震发生后快速确定震源位置和震级。该算法可以提高P波拾取的效率和准确性,从而提升地震预警系统的效率。
-
自动化地震监测: 随着地震监测台网规模的不断扩大,自动化的地震监测变得越来越重要。该算法可以实现P波到达时间的自动拾取,从而降低人工判读的负担。
未来研究方向
尽管该算法具有一定的优势,但仍然存在一些需要进一步研究的方向:
-
优化特征函数: 选择更有效的特征函数,使其对不同类型地震信号的敏感性和对噪声的鲁棒性达到最佳平衡。
-
改进信噪比计算方法: 研究更精确的信噪比计算方法,例如结合时频分析和机器学习等技术,以提高信噪比评估的准确性。
-
自适应阈值设定: 开发自适应的阈值设定方法,使其能够根据实际地震数据的噪声水平自动调整阈值,从而提高算法的自适应性。
-
深度学习的应用: 将深度学习技术应用于该算法的各个步骤,例如利用卷积神经网络来提取更鲁棒的特征,或利用循环神经网络来预测P波的到达时间。
结论
本文探讨了一种具有信噪比输出的自动P波到达时间选择器,重点关注其原理、优势以及在实际应用中的潜在价值。该算法通过引入信噪比的评估,可以有效区分真正的P波信号和噪声干扰,提高拾取结果的可靠性。该算法在地震定位、地震层析成像、地震预警以及自动化地震监测等方面具有广泛的应用前景。未来的研究可以集中在优化特征函数、改进信噪比计算方法、开发自适应阈值设定方法以及深度学习的应用等方面,以进一步提高该算法的性能。总而言之,具有信噪比输出的自动P波到达时间选择器是地震学研究领域一个具有重要意义的研究方向,值得我们深入探索。
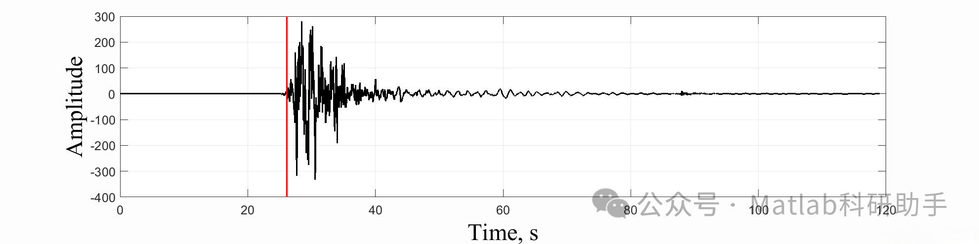
⛳️ 运行结果




🔗 参考文献
[1] 戴澜,姜岩峰,刘文楷.基于Matlab的高速高精度ADC测试研究[J].计算机测量与控制, 2010(9):3.DOI:CNKI:SUN:JZCK.0.2010-09-030.
[2] 朱昊,刘文耀,郝永杰,等.脉冲对实现回波频偏测量的算法研究[J].传感技术学报, 2005, 18(1):6.DOI:10.3969/j.issn.1004-1699.2005.01.051.
[3] 尹勇生,潘云胜,陈红梅.一种时间交织ADC的时间失配后台校准算法[J].华中科技大学学报:自然科学版, 2016, 44(2):5.DOI:10.13245/j.hust.160212.
📣 部分代码
🎈 部分理论引用网络文献,若有侵权联系博主删除
👇 关注我领取海量matlab电子书和数学建模资料
🏆团队擅长辅导定制多种科研领域MATLAB仿真,助力科研梦:
🌈 各类智能优化算法改进及应用
生产调度、经济调度、装配线调度、充电优化、车间调度、发车优化、水库调度、三维装箱、物流选址、货位优化、公交排班优化、充电桩布局优化、车间布局优化、集装箱船配载优化、水泵组合优化、解医疗资源分配优化、设施布局优化、可视域基站和无人机选址优化、背包问题、 风电场布局、时隙分配优化、 最佳分布式发电单元分配、多阶段管道维修、 工厂-中心-需求点三级选址问题、 应急生活物质配送中心选址、 基站选址、 道路灯柱布置、 枢纽节点部署、 输电线路台风监测装置、 集装箱调度、 机组优化、 投资优化组合、云服务器组合优化、 天线线性阵列分布优化、CVRP问题、VRPPD问题、多中心VRP问题、多层网络的VRP问题、多中心多车型的VRP问题、 动态VRP问题、双层车辆路径规划(2E-VRP)、充电车辆路径规划(EVRP)、油电混合车辆路径规划、混合流水车间问题、 订单拆分调度问题、 公交车的调度排班优化问题、航班摆渡车辆调度问题、选址路径规划问题、港口调度、港口岸桥调度、停机位分配、机场航班调度、泄漏源定位
🌈 机器学习和深度学习时序、回归、分类、聚类和降维
2.1 bp时序、回归预测和分类
2.2 ENS声神经网络时序、回归预测和分类
2.3 SVM/CNN-SVM/LSSVM/RVM支持向量机系列时序、回归预测和分类
2.4 CNN|TCN|GCN卷积神经网络系列时序、回归预测和分类
2.5 ELM/KELM/RELM/DELM极限学习机系列时序、回归预测和分类
2.6 GRU/Bi-GRU/CNN-GRU/CNN-BiGRU门控神经网络时序、回归预测和分类
2.7 ELMAN递归神经网络时序、回归\预测和分类
2.8 LSTM/BiLSTM/CNN-LSTM/CNN-BiLSTM/长短记忆神经网络系列时序、回归预测和分类
2.9 RBF径向基神经网络时序、回归预测和分类
2.10 DBN深度置信网络时序、回归预测和分类
2.11 FNN模糊神经网络时序、回归预测
2.12 RF随机森林时序、回归预测和分类
2.13 BLS宽度学习时序、回归预测和分类
2.14 PNN脉冲神经网络分类
2.15 模糊小波神经网络预测和分类
2.16 时序、回归预测和分类
2.17 时序、回归预测预测和分类
2.18 XGBOOST集成学习时序、回归预测预测和分类
2.19 Transform各类组合时序、回归预测预测和分类
方向涵盖风电预测、光伏预测、电池寿命预测、辐射源识别、交通流预测、负荷预测、股价预测、PM2.5浓度预测、电池健康状态预测、用电量预测、水体光学参数反演、NLOS信号识别、地铁停车精准预测、变压器故障诊断
🌈图像处理方面
图像识别、图像分割、图像检测、图像隐藏、图像配准、图像拼接、图像融合、图像增强、图像压缩感知
🌈 路径规划方面
旅行商问题(TSP)、车辆路径问题(VRP、MVRP、CVRP、VRPTW等)、无人机三维路径规划、无人机协同、无人机编队、机器人路径规划、栅格地图路径规划、多式联运运输问题、 充电车辆路径规划(EVRP)、 双层车辆路径规划(2E-VRP)、 油电混合车辆路径规划、 船舶航迹规划、 全路径规划规划、 仓储巡逻
🌈 无人机应用方面
无人机路径规划、无人机控制、无人机编队、无人机协同、无人机任务分配、无人机安全通信轨迹在线优化、车辆协同无人机路径规划
🌈 通信方面
传感器部署优化、通信协议优化、路由优化、目标定位优化、Dv-Hop定位优化、Leach协议优化、WSN覆盖优化、组播优化、RSSI定位优化、水声通信、通信上传下载分配
🌈 信号处理方面
信号识别、信号加密、信号去噪、信号增强、雷达信号处理、信号水印嵌入提取、肌电信号、脑电信号、信号配时优化、心电信号、DOA估计、编码译码、变分模态分解、管道泄漏、滤波器、数字信号处理+传输+分析+去噪、数字信号调制、误码率、信号估计、DTMF、信号检测
🌈电力系统方面
微电网优化、无功优化、配电网重构、储能配置、有序充电、MPPT优化、家庭用电
🌈 元胞自动机方面
交通流 人群疏散 病毒扩散 晶体生长 金属腐蚀
🌈 雷达方面
卡尔曼滤波跟踪、航迹关联、航迹融合、SOC估计、阵列优化、NLOS识别
🌈 车间调度
零等待流水车间调度问题NWFSP 、 置换流水车间调度问题PFSP、 混合流水车间调度问题HFSP 、零空闲流水车间调度问题NIFSP、分布式置换流水车间调度问题 DPFSP、阻塞流水车间调度问题BFSP
👇
975

被折叠的 条评论
为什么被折叠?



