一、元线性回归模型
1.1基本介绍

1.2回归方程的显著性检验
对任一组数据都可以都得到回归直线,但这并不说明y和x之间存在线性关系,因此需要进行回归性检验。

1.3检验方法

1.4一些定理

二、单因子方差分析
2.1基本介绍

2.2步骤
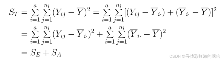
2.2.1分解ST
其中,SE反映了在相同条件下各次实验的差异,称为误差平方或组内平方和;SA反映了来自不同总体的样本之间的差异,即反映因子各水平效应的影响,称为组间平方和。
2.2.2选取统计量,给出拒绝域(F检验),判断是否显著

2.2.3列方差分析表

2.2.4对检验结果作答。
三、卡方拟合优度检验
3.1整体介绍

3.2假设检验步骤

注:1.每个区间至少5个样本,若少于,则与相邻样本进行合并;
2.若为复合假设,即参数值未知,需用极大似然估计进行参数估计后再检验;
3.进行参数估计后,卡方统计量减少了s个自由度(s为未知参数的个数)
四、列联表独立性检验
4.1概述
列联表检验即检验X、Y之间是否相互独立。
4.2具体检验方法



1014

被折叠的 条评论
为什么被折叠?



