一、概率基本概念
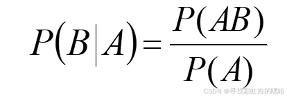
1.1.条件概率:
事件B在事件A已经发生下的发生概率

1.2联合概率:
表示两件事共同发生的概率,A与B的联合概率表示为 P(AB) 或者P(A,B),或者P(A∩B)
1.3.概率的独立性
当两个随机事件A与B满足:

说明它们是统计独立的
二、一些随机变量及其分布
2.1离散型随机变量及其分布律
2.1.1离散型随机变量的定义
若一个随机变量最多有可数的可能结果,则称这个变量是离散型随机变量(有限个或者无限可数)。
对于一个离散型随机变量X ,定义X 的概率分布列p(a)为

2.1.2分布函数与概率密度函数
分布函数:分布函数F(X)表示x小于等于X时发生的概率

概率密度函数:表示事件发生在x附件的概率(在连续性变量出现,离散型下感觉就是p(x))
2.1.3两点分布b(1,p)
随机变量X只有0、1两个值,分布律p(k):

2.1.4二项分布b(n,p)
重复n次伯努利试验(即每次实验满足两点分布),则某一事件X表示事件A发生的次数。那么显然在n次实验中,发生A的次数为k,Aˉ的次数即为n-k。即n次实验中,发生k次的概率:

2.1.5泊松分布

2.2连续性随机变量及其概率密度
概率密度函数f(x):

2.2.1均匀分布

如果离散型随机变量的概率密度函数满足这样,则该变量的分布即为均匀分布,记作X~U(a,b).
2.2.2指数分布

2.2.3正态分布
标准正态分布N(0,1):即均值为0,标准差为1的正态分布

正态分布(高斯分布):

2.2.4常用分布汇总

三、分布函数及其性质
3.1分布函数的概念:
设X是随机变量,x是任意实数,则
![]()
为随机变量X的分布函数,记作X~F(x)
3.2分布函数的性质(定义域R,值域[0,1],单调不减右连续):
1.F(x)是x的单调不减函数
2.F(x)是x的右连续函数
3.

四、随机变量函数的分布(分布函数法,公式法)
1.公式法:略
2.分布函数法(更常用):


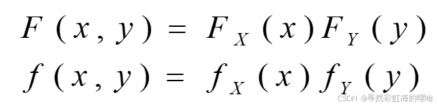
五、多维随机变量的联合分布
当随机变量相互独立时,联合等于边缘的乘积,以二维为例:

六、随机变量数字特征
1.随机变量期望和方差的计算

2.期望与方差的性质(独立):

七、切比雪夫不等式
设随机变量X的方差D(X)存在,则对任一实数ϵ>0,都有:

其实质就是对|X-EX|≥ ϵ这一事件(X相对于概率平均值偏离情况)发生概率的一个保守估计。
八、极限定理
8.1辛钦大数定理

即,独立同分布的随机变量序列的算数平均值依概率收敛于期望(注意是依概率收敛)
8.2伯努利大数定理

即,独立重复实验中,频率收敛于概率
8.3独立同分布的中心极限定理(CLT)

它描述了当从总体中抽取大量独立随机样本,并计算这些样本的均值时,样本均值约等于总体均值,且不要求总体分布类型,样本均值服从正态分布。要点:
1.样本大小:CLT要求样本大小足够大,通常认为当样本大小(n)大于等于30时,CLT开始生效。即越明显呈现依总体均值的正态分布
2.独立同分布:样本须是独立抽取,且具有相同的分布
3.总体分布不限制:CLT并不要求原始总体必须服从正态分布,它可以适用于任何总体分布,包括均匀分布、指数分布、二项分布等
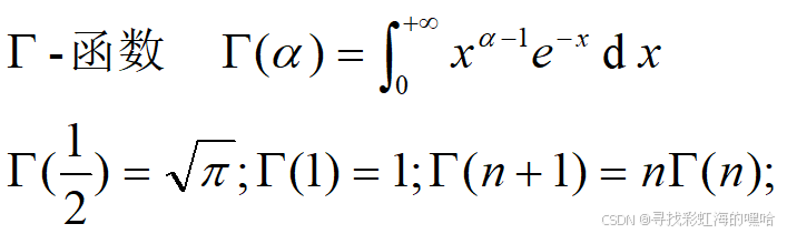
九、常用工具

6166

被折叠的 条评论
为什么被折叠?



