摘要
在信息论中,互信息作为一个关键概念,用于衡量两个随机变量之间的信息共享程度。证明互信息是先验概率的上凸函数,对于深入理解信源与信道特性、优化信息传输以及信道容量的研究等方面具有重要意义。本文将详细阐述互信息的定义、先验概率的概念,并逐步推导证明互信息关于先验概率的上凸性质,通过严谨的数学论证过程揭示其内在规律。
一、引言
信息论由克劳德・香农(Claude Shannon)创立,旨在研究信息的量化、存储、传输等问题。互信息作为信息论中的核心度量,在通信系统、数据压缩、模式识别等众多领域有着广泛应用。先验概率作为信源的固有属性,其对互信息的影响是信息论研究的重要内容。深入探讨互信息关于先验概率的凸性,能够为信源编码、信道编码以及通信系统的优化设计提供坚实的理论基础。
二、相关概念介绍
(一)互信息的定义
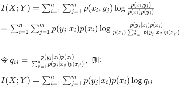
互信息 I(X;Y) 定义为联合概率分布 p(x,y) 与各自边缘概率分布 p(x) 和 p(y) 的对数比值的期望,即:
![]()
它反映了通过观察随机变量 Y 所获得的关于随机变量 X 的信息量,或者反之。
(二)先验概率
先验概率 p(x) 是在不考虑任何观测信息时,信源发出符号 x 的概率分布。它描述了信源的固有不确定性,是信源的基本属性之一。例如,在一个离散信源中,若有符号集 {x1,x2,⋯,xn},先验概率 p(xi) 表示信源发出符号 xi 的概率,且满足
。
(三)后验概率
后验概率 p(x∣y) 是在已知观测到随机变量 Y 取某个值 y 的条件下,随机变量 X 取某个值 x 的概率。根据贝叶斯定理,后验概率与先验概率、转移概率 p(y∣x) 之间的关系为:
![]()
(四)熵与条件熵
信源熵 H(X) 用于衡量信源的不确定性,定义为:
![]()
条件熵 H(X∣Y) 表示在已知随机变量 Y 的条件下,随机变量 X 的不确定性,定义为:
![]()
互信息与熵、条件熵之间存在重要关系:I(X;Y)=H(X)−H(X∣Y)=H(Y)−H(Y∣X)。
三、证明互信息是先验概率的上凸函数
(一)设定前提
设信源 X 的符号集为 {x1,x2,⋯,xn},先验概率分布为 p=(p(x1),p(x2),⋯,p(xn)),且 ∑i=1np(xi)=1,p(xi)≥0,i=1,2,⋯,n。信道转移概率 p(yj∣xi) 固定不变,即信道特性已确定。
(二)利用 Jensen 不等式
Jensen 不等式是证明凸函数性质的重要工具。对于一个严格上凸函数 f(x),若有随机变量 X,其概率分布为 p(x),则有 E(f(X))≤f(E(X))。
设 f(t)=logt,因为对数函数 f(t)=logt(底数大于 1)是严格上凸函数。
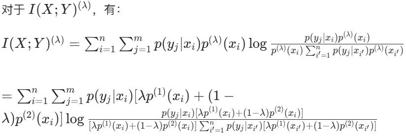
对于互信息 I(X;Y),可将其展开:
考虑两个不同的先验概率分布
,以及它们的凸组合
,0≤λ≤1。
对应的互信息分别为
。


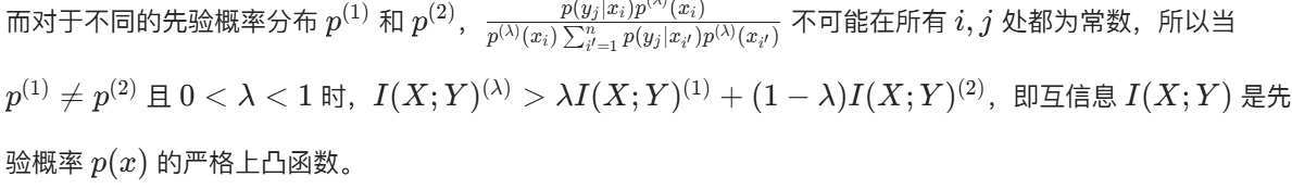
(三)严格上凸性的证明
若要证明严格上凸性,需证明当
且 0<λ<1 时,
。
由于对数函数 f(t)=logt 是严格上凸的,根据 Jensen 不等式等号成立的条件,当且仅当对于所有的 i,j,
为常数时,等号成立。

四、结论
通过上述详细的推导证明过程,我们得出在固定信道转移概率的情况下,互信息是先验概率的上凸函数这一重要结论。这一结论在信息论领域有着广泛的应用和深远的意义。在信道容量的研究中,由于互信息是先验概率的上凸函数,对于给定的信道,必然存在一个特定的先验概率分布(匹配信源),使得互信息达到最大值,即信道容量。这为寻找最佳信源分布、优化信道传输效率提供了理论依据。在实际通信系统设计中,可根据信道特性调整信源的先验概率分布,以实现最大的信息传输速率,提高通信系统的性能。同时,该结论也为信息论中其他相关问题的研究奠定了基础,有助于进一步拓展信息论在各个领域的应用。
2091

被折叠的 条评论
为什么被折叠?



