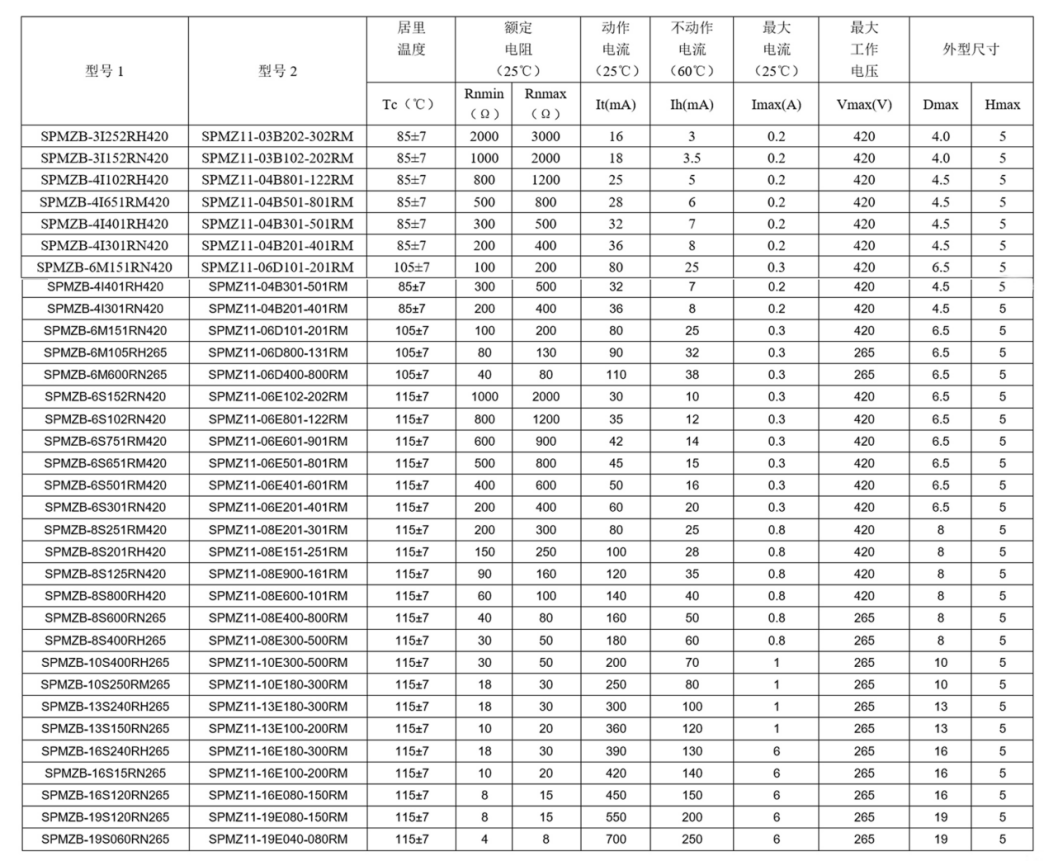
SPMZB / SPMZ11系列PTC热敏电阻是一种自动保护、自动恢复使用、无触点、无噪音、无火花的“万次保险丝”,或称“自恢复保险丝”,是继“温度保险丝”和“温度开关”之后推出的第三代保护器件。
1 应用领域
智能电度表、万用表、充电器、小型变压器、数字万用表、微电机、小型电子仪器等
2 产品优点
型号齐全,各种体积大小、电流大小产品,适用范围广,满足不同产品的需求;性能稳定,可靠性好,一致性好
3 应用原理
应用原理如下图所示:把PTCR串联在变压器初级电路中,当电路处于正常工作状态时,通过PTCR的电流不超过额定电流即不超过PTCR的最大不动作电流,PTCR处于常态,阻值较小,不会影响被保护电路的正常工作。当电路出现故障,电流大大超过额定电流,PTCR骤然发热,呈高阻态,使电路处于相对“断开”状态,达到保护目的。当故障排除后,PTCR自动恢复正常工作。


25

被折叠的 条评论
为什么被折叠?



