1.行列式
行列式是一个可以从方阵(即行数和列数相等的矩阵)形成的一个标量(即一个单一的数值)。
2.二阶行列式
二阶行列式定义:
$$
det(A)=\begin{vmatrix} a_{11}a_{12} \\ a_{21}a_{22} \end{vmatrix}=a_{11}a_{22}-a_{12}a_{21}
$$
aij叫做行列式的元素,i为行标,j为列标
二阶行列式计算:对角线法

图中红色线为主对角线,蓝色线为副对角线
三阶行列式:
$$
det(A)=\begin{vmatrix} a_{11} & a_{12} & a_{13} \\ a_{21} & a_{22} & a_{23} \\ a_{31} & a_{32} & a_{33} \end{vmatrix}
$$
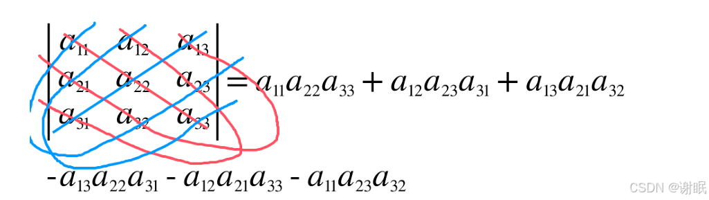
对角线法则计算:
$$
\begin{aligned}\begin{vmatrix} a_{11} & a_{12} & a_{13} \\ a_{21} & a_{22} & a_{23} \\ a_{31} & a_{32} & a_{33} \end{vmatrix}=a_{11}a_{22}a_{33}+a_{12}a_{23}a_{31}+a_{13}a_{21}a_{32}\\ -a_{13}a_{22}a_{31}-a_{12}a_{21}a_{33}-a_{11}a_{23}a_{32}\end{aligned}
$$

或者平移行列式中的元素:

-
将第一、二列平移到行列式右侧
-
如图做出六条斜对角线
-
对角线上的元素相乘,红色相加的和 减去 蓝色相加的和
例:
计算下列行列式:
$$
\begin{aligned}\begin{vmatrix} 1 & 1 & -2 \\ 5 & -2 & 7 \\ 2 & -5 & 4 \end{vmatrix}{=1\times \left( -2\right) \times 4+1\times 7\times 2+5\times \left( -5\right) \times \left( -2\right) }\\ -\left( -2\right) \times \left( -2\right) \times 2-1\times \left( -5\right) \times 7-1\times 5\times 4\\ =63\end{aligned}
$$
上三角形行列式:
$$
det(A)=\begin{vmatrix} a_{11} & a_{12} & a_{13} \\ & a_{22} & a_{23} \\ & & a_{33} \end{vmatrix}=a_{11}a_{22}a_{33}
$$
下三角形行列式:
$$
det(A)=\begin{vmatrix} a_{11} & & \\ a_{12} & a_{22} & \\ a_{13} & a_{32} & a_{33} \end{vmatrix}=a_{11}a_{22}a_{33}
$$
对角形行列式:
$$
det(A)=\begin{vmatrix} a_{11} & & \\ & a_{22} & \\ & & a_{33} \end{vmatrix}=a_{11}a_{22}a_{33}
$$
4.n阶行列式
4.1 排列(有序)
排列是指从一组元素中选出若干个元素,并按照一定的顺序排列起来。对于一个包含 n 个元素的集合,其所有元素的全排列数目是 n!(即 n 的阶乘)。
4.2 逆序
逆序是指在一个排列中,如果一个较大的数排在一个较小的数前面,则称这两个数构成一个逆序。逆序的总数称为逆序数。逆序数可以帮助我们理解排列的“混乱”程度。逆序的表示符号为N或者为τ(读作涛)
逆序数的计算
计算一个排列的逆序数可以通过遍历排列中的每一对元素来实现。具体步骤如下:
-
对于排列中的每一个元素,计算它后面有多少个比它小的元素。
-
将这些计数相加,得到总的逆序数。
4.3 奇排列和偶排列
如果一个排列的逆序数是奇数,则称该排列为奇排列;如果是偶数,则称该排列为偶排列。
4.4 对换
对排列中的任意两个元素进行交换(称为对换),会改变排列的奇偶性。即,奇排列经过一次对换变成偶排列,偶排列经过一次对换变成奇排列。
4.5 n阶行列式定义
以3阶行列式为例:
$$
det(A)=\begin{aligned}\begin{vmatrix} a_{11} & a_{12} & a_{13} \\ a_{21} & a_{22} & a_{23} \\ a_{31} & a_{32} & a_{33} \end{vmatrix}=a_{11}a_{22}a_{33}+a_{12}a_{23}a_{31}+a_{13}a_{21}a_{32}\\ -a_{13}a_{22}a_{31}-a_{12}a_{21}a_{33}-a_{11}a_{23}a_{32}\end{aligned}
$$
从上述公式可以看出:
3阶行列式按行展开后为6项,每项为3个不同行不同列的3个元素相乘
aij元素的行标i都是123的自然排列
aij元素列标j则为:123、231、312、321、213、132,总数为3!=6
分别计算列标排列的逆序数:
N(123) = 0 偶数
N(231) = 1 + 1 = 2 偶数
N(312) = 2 偶数
N(321) = 2 + 1 = 3 奇数
N(213) = 1 奇数
N(132) = 1 奇数
通过观察公式可以看出,逆序数为偶数的排列的运算符号为+,为奇数的排列的运算符号为-
总结:
1.行标取自然排列
2.不同行不同列的3个元素相乘
3.列标取排列的所有可能
4.列标排列的逆序数的奇偶性决定运算符号,逆序数为偶数的运算符号为+,奇数的运算符号为-
从3阶行列式扩展到n阶行列式:
$$
det(A)=\left| a_{ij}\right| =\begin{vmatrix} a_{11}a_{12}\ldots a_{1n} \\ \vdots \\ a_{n1}a_{n2}\ldots a_{nn} \end{vmatrix}
$$
其中,aij是行列式的元素,i是行标,j是列标
定义:
1.按行展开:
$$
\left| a_{ij}\right|=\begin{vmatrix} a_{1}a_{2}\ldots a_{n} \\ \vdots \\ a_{n1}a_{n2}\ldots a_{nn} \end{vmatrix} =\sum _{j_{1}j_{2}\ldots j_{n}}\left( -1\right)^{N\left( j_{1}j_{2}\ldots j_{n}\right) } {a_{1j_{1}}a_{2j_{2}}\ldots a_{nj_{n}}}
$$
-
行标取自然排列
-
不同行不同列的n个元素相乘
-
列标取排列的所有可能
-
列标排列的逆序数的奇偶性决定运算符号,逆序数为偶数的运算符号为
+,奇数的运算符号为-
eg1
计算
$$
\begin{aligned}\begin{vmatrix} 1 & 2 & 0 & 0 \\ 0 & 2 & 3 & 0 \\ 0 & 0 & 3 & 4 \\ 1 & 0 & 0 & 4 \end{vmatrix}=\left( -1\right) ^{N\left( 1234\right)}{1\times 2\times 3\times 4}\ +\left( -1\right) ^{N\left( 2341\right)}{2\times 3\times 4\times 1}\ =24-24=0\end{aligned}
$$
2.按列展开
$$
\left| a_{ij}\right|=\begin{vmatrix} a_{11}a_{12}\ldots a_{1n} \\ \vdots \\ a_{n1}a_{n2}\ldots a_{nn} \end{vmatrix} =\sum _{i_{1}i_{2}\ldots i_{n}}\left( -1\right)^{N\left( i_{1}i_{2}\ldots i_{n}\right) } {a_{i_{1}1}a_{i_{2}2}\ldots a_{i_{n}n}}
$$
与按行展开类似,只是展开时行变成列:
-
列标取自然排列
-
不同行不同列的n个元素相乘
-
行标取排列的所有可能
-
行标排列的逆序数的奇偶性决定运算符号,逆序数为偶数的运算符号为
+,奇数的运算符号为-
计算
$$
\begin{aligned}\begin{vmatrix} 1 & 2 & 0 & 0 \\ 0 & 2 & 3 & 0 \\ 0 & 0 & 3 & 4 \\ 1 & 0 & 0 & 4 \end{vmatrix}=\left( -1\right) ^{N\left( 1234\right)}{1\times 2\times 3\times 4}\ +\left( -1\right) ^{N\left(4123\right)}{1\times 2\times 3\times 4}\ =24-24=0\end{aligned}
$$
4.6 特殊n阶行列式
1.行列式某一行(列)全为0,则行列式为0
$$
\begin{vmatrix} a_{11} & a_{12}\ldots & a_{1n} \\ & \vdots & \\ 0 & 0\ldots & 0 \\ & \vdots & \\ a_{n1} & a_{n2}\ldots & a_{nn} \end{vmatrix}=0
$$
2.三角形行列式等于对角线元素的乘积
$$
\begin{vmatrix} a_{11}\\ a_{21} & a_{22} & & \\ \vdots & & \ddots & \\ a_{n1} & \ldots & & a_{nn} \end{vmatrix}=\begin{vmatrix} a_{11} & a_{12}\ldots & a_{11} \\ & a_{22}\ldots & a_{2n} \\ & \ddots & \vdots \\ & & a_{nn} \end{vmatrix}=\begin{vmatrix} a_{11}\\ & a_{22} & & \\ & & \ddots & \\ & & & a_{nn} \end{vmatrix}=a_{1}a_{22}\ldots a_{nn}
$$
eg2
$$
\begin{vmatrix} & & a_{1n} \\ & a_{2\left(n-1\right) } & a_{2n} \\ & & \vdots \\ a_{n1} & \ldots & a_{n}i \end{vmatrix}=?
$$
按行展开:
$$
\begin{vmatrix} & & a_{1n} \\ & a_{2\left(n-1\right) } & a_{2n} \\ & & \vdots \\ a_{n1} \ldots & & a_{n}i \end{vmatrix}=(-1)^{N(n(n-1)...1)}a_{1n}a_{2(n-1)}\ldots a_{n1} =( -1)^{\dfrac{n\left( n-1\right) }{2}}a_{1n}a_{2(n-1)}\ldots a_{n1}
$$
逆序数N(n(n-1)...1)=(n-1)+(n-2)+...+1=n(n-1)/2
5.行列式性质
5.1 性质1:行列式的转置等于行列式本身。
$$
det(A)^T=det(A)
$$
A是一个方阵,A^T表示 A 的转置矩阵。
5.2 性质2:交换行列式的两行会导致行列式的值变为其原来的相反数。
设 A是一个 n×n的行列式,如果交换 A的第 i 行和第 j 行(其中 i≠j),得到的新矩阵记为 B,那么有:
$$
det(B)=−det(A)
$$
交换两行相当于在排列中交换两个元素,这会改变逆序数的奇偶性,从而使得行列式的值变为其原来的相反数。
假设:
$$
det(A)=\left| a_{ij}\right|=\begin{vmatrix} a_{11}a_{12}\ldots a_{1n} \\ a_{21}a_{22}\ldots a_{2n} \\ \vdots \\ a_{n1}a_{n2}\ldots a_{nn} \end{vmatrix} =\sum _{i_{1}i_{2}\ldots i_{n}}\left( -1\right)^{N\left( j_{1}j_{2}\ldots j_{n}\right) } {a_{1j_{n}}a_{2j_{2}}\ldots a_{nj_{n}}}
$$
现在将第一行和第二行交换
$$
det(B)=\left| a_{ij}\right|=\begin{vmatrix} a_{21}a_{22}\ldots a_{2n} \\ a_{11}a_{12}\ldots a_{1n} \\ \vdots \\ a_{n1}a_{n2}\ldots a_{nn} \end{vmatrix} =\sum _{i_{1}i_{2}\ldots i_{n}}\left( -1\right)^{N\left( j_{2}j_{1}\ldots j_{n}\right) } {a_{1j_{n}}a_{2j_{2}}\ldots a_{nj_{n}}}
$$
此时交换前行列式的逆序数为
$$
(-1)^{N( j_{1}j_{2}\ldots j_{n})}
$$
交换后行列式的逆序数为
$$
(-1)^{N(j_{2}j_{1}\ldots j_{n})}
$$
从逆序数中看出,i1和i2进行了互换,则奇偶性也会发生改变,因此得出:
$$
det(B)=−det(A)
$$
5.2.1 推论:行列式两行(列)相等,则行列式为0
设 A 是一个 n×n的矩阵,如果 AA 的第 i行和第 j行(其中 i≠j)相等,那么有:
$$
det(A)=0
$$
假设 A 的第 i行和第 j行相等,我们可以交换这两行得到一个新的矩阵 B。根据行列式的性质,交换两行会导致行列式的值变为其原来的相反数,即:
$$
det(B)=−det(A)
$$
但是,由于 A的第i行和第j行相等,矩阵 B实际上与矩阵A是相同的。因此,我们有:
$$
det(B)=det(A)
$$
结合这两个等式,我们得到:
$$
det(A)=−det(A)
$$
这意味着:
$$
2det(A)=0
$$
从而得出:
$$
det(A)=0
$$
5.3 性质3:用k乘以行列式某一行的所有元素,等于用k乘以行列式
$$
det(A)=\left| a_{ij}\right|=\begin{vmatrix} a_{11} a_{12}\ldots a_{1n} \\ \vdots \\ ka_{s1} ka_{s2}\ldots ka_{sn} \\ \vdots \\ a_{n1} a_{n2}\ldots a_{nn} \end{vmatrix} =\sum _{j_{1}j_{2}\ldots j_{n}}\left( -1\right)^{N\left( j_{1}j_{2}\ldots j_{n}\right) } k{a_{1j_{n}}a_{2j_{2}}\ldots a_{nj_{n}}}
$$
将k提取出来
$$
det(A)=\left| a_{ij}\right|=\begin{vmatrix} a_{11} a_{12}\ldots a_{1n} \\ \vdots \\ ka_{s1} ka_{s2}\ldots ka_{sn} \\ \vdots \\ a_{n1} a_{n2}\ldots a_{nn} \end{vmatrix} =k\sum _{j_{1}j_{2}\ldots j_{n}}\left( -1\right)^{N\left( j_{1}j_{2}\ldots j_{n}\right) } {a_{1j_{n}}a_{2j_{2}}\ldots a_{nj_{n}}}=k\begin{vmatrix} a_{11} a_{12}\ldots a_{1n} \\ \vdots \\ a_{s1} a_{s2}\ldots a_{sn} \\ \vdots \\ a_{n1} a_{n2}\ldots a_{nn} \end{vmatrix}
$$
5.3.1 推论:如果行列式的某一行(或某一列)的所有元素都有公因子 k,那么这个公因子 k可以提取到行列式外面一次。
数学符号表示为:
设 A 是一个 n×n 的矩阵,如果 A 的第 i行的所有元素都有公因子 k,那么可以将k 提取到行列式外面,得到的新矩阵记为B,那么有:
$$
det(A)=k⋅det(B)
$$
行列式的值是通过对所有排列求和得到的,每个排列对应一个项。如果某一行(或某一列)的所有元素都有公因子k,会使得每个项都乘以k,从而使得整个行列式的值乘以k。
推论:如果一个 n×n的行列式的所有行的所有元素都有公因子 k,那么这个公因子 k 可以提取到行列式外面 n次。
$$
det(A)=k^n ⋅det(B)
$$
所以
$$
\begin{vmatrix} k & 2k & 3k \\ 4k & 5k & 6k \\ 7k & 8k & 9k \end{vmatrix}\neq k\begin{vmatrix} 1 & 2 & 3 \\ 4 & 5 & 6 \\ 7 & 8 & 9 \end{vmatrix}=k^3\begin{vmatrix} 1 & 2 & 3 \\ 4 & 5 & 6 \\ 7 & 8 & 9 \end{vmatrix}
$$
5.3.2 推论:如果一个行列式的两行(或两列)对应成比例,那么这个行列式的值必定为零。
数学符号表示为:
设 A 是一个 n×n 的矩阵,如果 A 的第 i 行和第 j 行(其中 i≠j)对应成比例,即第i 行的每个元素是第j行对应元素的k 倍,那么有:
$$
det(A)=0
$$
假设 A 的第 i 行和第 j 行对应成比例,即第i行的每个元素是第j 行对应元素的k 倍。我们可以将第 i行的所有元素提取公因子 k,得到一个新的矩阵B,其中第i行的元素与第 j 行的元素相等。根据行列式的性质,提取公因子k 后,行列式的值变为原来的 k 倍。
由于B 的第i 行和第j行相等,根据之前的性质,行列式的值为零。因此,我们有:
$$
det(A)=k⋅det(B)=k⋅0=0
$$
5.4 性质4:如果一个行列式的某一行(或某一列)是两个数之和,那么这个行列式可以表示为两个行列式的和。
数学符号表示为:
设 A 是一个 n×n的矩阵,如果 A 的第 i行的每个元素是两个数之和,即第i行的每个元素可以表示为
$$
a_{ij}=b_{ij} + c_{ij}
$$
那么矩阵 A 可以分解为两个矩阵 B 和 B,其中 B 的第 i 行的每个元素是bij,C 的第 i行的每个元素是 cij,其余行与A 相同。那么有:
$$
det(A)=det(B)+det(C)
$$
例如:
$$
det(A)=\left| a_{ij}\right|=\begin{vmatrix} (a_{11}+b_{11})&(a_{12} + b_{12})&\ldots& (a_{1n}+b_{1n}) \\ a_{11}&a_{12}&\ldots& a_{1n} \\ \vdots \\ a_{n1}&a_{n2}&\ldots& a_{nn} \end{vmatrix} =\sum _{j_{1}j_{2}\ldots j_{n}}\left( -1\right)^{N\left( j_{1}j_{2}\ldots j_{n}\right) } {(a_{1j_{n}+b_{1j_{n}})}a_{2j_{2}}\ldots a_{nj_{n}}}\\ =\sum _{j_{1}j_{2}\ldots j_{n}}\left( -1\right)^{N\left( j_{1}j_{2}\ldots j_{n}\right) } {(a_{1j_{n})}a_{2j_{2}}\ldots a_{nj_{n}}} + \sum _{j_{1}j_{2}\ldots j_{n}}\left( -1\right)^{N\left( j_{1}j_{2}\ldots j_{n}\right) } {(b_{1j_{n})}a_{2j_{2}}\ldots a_{nj_{n}}} = det(B) + det(C)
$$
eg3
计算
$$
\begin{vmatrix} 1+2 & 2+3 & 3+4 \\ 5 & -2 & 7 \\ 2 & -5 & 4 \end{vmatrix}=?
$$
按照性质4展开
$$
\begin{vmatrix} 1+2 & 2+3 & 3+4 \\ 0 & -2 & 7 \\ 0 & 0 & 4 \end{vmatrix}=\begin{vmatrix} 1 & 2 & 3 \\ 0 & -2 & 7 \\ 0 & 0 & 4 \end{vmatrix}+\begin{vmatrix} 2 & 3 & 4 \\ 0 & -2 & 7 \\ 0 & 0 & 4 \end{vmatrix}=(-8) + (-16)=-24
$$
5.5性质:将行列式的某一行(列)乘以一个数加到另一行(列)上,行列式的值保持不变。(常用)
设 A 是一个 n×n的矩阵,如果将 A 的第i 行的每个元素乘以一个数k,然后将得到的结果加到第j行的对应元素上,得到的新矩阵记为 B,那么有:
$$
det(B)=det(A)
$$
这个性质的证明可以通过行列式的性质来进行。我们可以利用行列式的线性性质和交换两行行列式值变符号的性质来证明这一点。
假设 A
$$
det(A)=\begin{vmatrix} a & b & c \\ 1 & 2 & 3 \\ m & n & p \end{vmatrix}
$$
将A的第i行的每个元素乘以一个数 k,然后将得到的结果加到第 j 行的对应元素上,得到的新矩阵 B。
$$
det(B)=\begin{vmatrix} a & b & c \\ 1+ka & 2+kb & 3+kc \\ m & n & p \end{vmatrix}
$$
将B再进行拆分:
$$
det(B)=\begin{vmatrix} a & b & c \\ 1+ka & 2+kb & 3+kc \\ m & n & p \end{vmatrix}=\begin{vmatrix} a & b & c \\ 1 & 2 & 3 \\ m & n & p \end{vmatrix}+\begin{vmatrix} a & b & c \\ ka & kb & kc \\ m & n & p \end{vmatrix}=\begin{vmatrix} a & b & c \\ 1 & 2 & 3 \\ m & n & p \end{vmatrix}+0=\begin{vmatrix} a & b & c \\ 1 & 2 & 3 \\ m & n & p \end{vmatrix}
$$
结合这两个等式,我们得到:
$$
det(B)=det(A)
$$
eg4
计算
$$
\begin{vmatrix} 1 & 1 & 1 \\ 1 & 2 & 3 \\ -1 & 1 & -2 \end{vmatrix}=?
$$
首先第一行元素乘以-1与第二行相加,得到:
$$
\begin{vmatrix} 1 & 1 & 1 \\ 1 & 2 & 3 \\ -1 & 1 & -2 \end{vmatrix}\dfrac{\times(-1)}{} \begin{vmatrix} 1\times(-1) & 1\times(-1) & 1\times(-1) \\ 1 & 2 & 3 \\ -1 & 1 & -2 \end{vmatrix}\dfrac{r1+r2}{}\begin{vmatrix} 1 & 1 & 1 \\ 0 & 1 & 2 \\ -1 & 1 & -2 \end{vmatrix}
$$
再将第一行与第三行相加,得到:
$$
\begin{vmatrix} 1 & 1 & 1 \\ 1 & 2 & 3 \\ -1 & 1 & -2 \end{vmatrix}=\begin{vmatrix} 1\times(-1) & 1\times(-1) & 1\times(-1) \\ 1 & 2 & 3 \\ -1 & 1 & -2 \end{vmatrix}\dfrac{r1+r2}{}\begin{vmatrix} 1 & 1 & 1 \\ 0 & 1 & 2 \\ -1 & 1 & -2 \end{vmatrix}\dfrac{r_{1}+r_{3}}{} \begin{vmatrix} 1 & 1 & 1 \\ 0 & 1 & 2 \\ 0 & 2 & -1 \end{vmatrix}
$$
再将第二行乘以(-2)与第三行相加,得到:
$$
\begin{vmatrix} 1 & 1 & 1 \\ 1 & 2 & 3 \\ -1 & 1 & -2 \end{vmatrix}=\begin{vmatrix} 1\times(-1) & 1\times(-1) & 1\times(-1) \\ 1 & 2 & 3 \\ -1 & 1 & -2 \end{vmatrix}\dfrac{r1+r2}{}\begin{vmatrix} 1 & 1 & 1 \\ 0 & 1 & 2 \\ -1 & 1 & -2 \end{vmatrix}\dfrac{r_{1}+r_{3}}{} \begin{vmatrix} 1 & 1 & 1 \\ 0 & 1 & 2 \\ 0 & 2 & -1 \end{vmatrix}\dfrac{r_{2}\times(-2)+r_{3}}{} \begin{vmatrix} 1 & 1 & 1 \\ 0 & 1 & 2 \\ 0 & 0 & -5 \end{vmatrix}\\ =1\times1\times(-5)=-5
$$
结论:将行列式转换为三角形行列式后计算更方便。
练习2:
1.行列式两行相等则行列式为0
2.行列式两行成比例则行列式为0
3.行列式某一行为0则行列式为0
那么,如果行列式det(A)=0,则以上三个条件必有一个满足,对吗?
不对,举例:
$$
\begin{vmatrix} 1 & 2 & 3 \\ 4 & 5 & 6 \\ 7 & 8 & 9 \end{vmatrix}\dfrac{r_{2}\times(-1)+r_{3}}{} \begin{vmatrix} 1 & 2 & 3 \\ 4 & 5 & 6 \\ 3 & 3 & 3 \end{vmatrix}\dfrac{r_{1}\times(-1)+r_{2}}{} \begin{vmatrix} 1 & 2 & 3 \\ 3 & 3 & 3 \\ 3 & 3 & 3 \end{vmatrix}=0
$$
练习3:
计算
$$
\begin{vmatrix} 1+a_{1} & 2+a_{1} & 3+a_{1} \\ 1+a_{2} & 2+a_{2} & 3+a_{2} \\ 1+a_{3} & 2+a_{3} & 3+a_{3} \end{vmatrix}=?
$$
提示:按列计算,第一列乘以(-1)分别加到第二列和第三列
6.代数余子式
余子式:
给定一个 n×n的矩阵 A,其第 i 行第j 列的元素 aij的余子式 Mij是指去掉第i行和第j列后得到的 (n−1)×(n−1) 子矩阵的行列式。
具体步骤如下:
-
选择元素:选择矩阵 AA 中的一个元素 aij。
-
构造余子矩阵:去掉矩阵 AA 的第 i 行和第 j 列,得到一个 (n−1)×(n−1) 的子矩阵。
-
计算行列式:计算这个 (n−1)×(n−1) 子矩阵的行列式,这个行列式就是元素 aij 的余子式 Mij。
余子式的一个重要应用是计算行列式的值。行列式 det(A)可以通过任意一行或一列的元素与其对应的余子式和代数余子式的乘积之和来计算。
例如,对于一个 3×3的矩阵 A:
$$
A = \begin{vmatrix} a_{11} & a_{12} & a_{13} \\ a_{21} & a_{22} & a_{23} \\ a_{31} & a_{32} & a_{33} \end{vmatrix}
$$
元素 a11 的余子式 M11是去掉第 1 行和第 1 列后得到的 2×2子矩阵的行列式:
$$
M_{11} = \begin{vmatrix} a_{22} & a_{23} \\ a_{32} & a_{33} \end{vmatrix}
$$
计算这个 2×2 行列式的值:
$$
M_{11}=a_{22}a_{33}−a_{23}a_{32}
$$
类似地,可以计算其他元素的余子式。
代数余子式:
给定一个 n×n 的矩阵 A,其第i行第j列的元素 aij 的代数余子式 Cij定义为:
$$
C_{ij}=(−1)^{i+j}⋅M_{ij}
$$
其中,Mij是元素 aij 的余子式,即去掉矩阵 A的第i 行和第 j 列后得到的 (n−1)×(n−1子矩阵的行列式。
具体步骤如下:
-
选择元素:选择矩阵 A 中的一个元素 aij。
-
构造余子矩阵:去掉矩阵 A 的第i 行和第 j 列,得到一个 (n−1)×(n−1)的子矩阵。
-
计算行列式:计算这个 (n−1)×(n−1)子矩阵的行列式,这个行列式就是元素 aij 的余子式 Mij。
-
计算代数余子式:根据公式
$$
C_{ij}=(−1)^{i+j}⋅M_{ij}
$$计算代数余子式。
代数余子式的一个重要应用是计算行列式的值。根据拉普拉斯展开定理,行列式 det(A)可以通过任意一行或一列的元素与其对应的代数余子式的乘积之和来计算。
例如,对于一个 3×3的矩阵 A:
$$
A = \begin{vmatrix} a_{11} & a_{12} & a_{13} \\ a_{21} & a_{22} & a_{23} \\ a_{31} & a_{32} & a_{33} \end{vmatrix}
$$
元素 a11的代数余子式 C11是:
$$
C_{11}=(−1)^{1+1}⋅M_{11}=M_{11}
$$
其中,余子式 M11是去掉第 1 行和第 1 列后得到的 2×2子矩阵的行列式:
$$
M_{11} = \begin{vmatrix} a_{22} & a_{23} \\ a_{32} & a_{33} \end{vmatrix} = a_{22}a_{33} - a_{23}a_{32}
$$
因此,代数余子式 C11 为:
$$
C_{11}=a_{22}a_{33} - a_{23}a_{32}
$$
类似地,可以计算其他元素的代数余子式。
例:
计算行列式
$$
\begin{vmatrix} 1 & 2 & 3 \\ -1 & 5 & 7 \\ 8 & -1 & 16 \end{vmatrix}
$$
中元素a11和a23的代数余子式。
$$
C_{11}=(-1)^{1+1}M_{11}=M_{11}=\begin{vmatrix} 5 & 7 \\ -1 & 16 \end{vmatrix}
$$
$$
C_{23}=(-1)^{2+3}M_{23}=-M_{11}=\begin{vmatrix} 1 & 2 \\ 8 & -1 \end{vmatrix}
$$
拉普拉斯展开定理:
行列式等于它的某一行元素与其代数余子式的乘积之和。
行列式按第i 行展开的公式为:
$$
det(A)=a_{i1}C_{i1}+a_{i2}C_{i2}+...+a_{in}C_{in}=\Sigma _{j=1}^{n}a_{ij}C_{ij}
$$
其中,A 是一个 n×n 的矩阵,aij是矩阵 A的第 i行第 j列的元素,Cij是元素 aij的代数余子式。
代数余子式 Cij的定义为:
$$
C_{ij}=(−1)^{i+j}M_{ij}
$$
其中,Mij 是元素 aij 的余子式,即去掉矩阵 A 的第 i 行和第j列后得到的 (n−1)×(n−1)子矩阵的行列式。
类似地,行列式也可以按第j列展开:
$$
det(A)=a_{1j}C_{1j}+a_{2j}C_{2j}+...+a_{nj}C_{nj}=\Sigma _{i=1}^{n}a_{ij}C_{ij}
$$
下面通过一个具体的例子来说明如何使用行列式按一行(列)展开定理。
假设有一个 3×3 的矩阵 A:
$$
A = \begin{vmatrix} a_{11} & a_{12} & a_{13} \\ a_{21} & a_{22} & a_{23} \\ a_{31} & a_{32} & a_{33} \end{vmatrix}
$$
我们按第 1 行展开行列式:
$$
det(A)=a_{11}C_{11}+a_{12}C_{12}+a_{13}C_{13}
$$
其中,代数余子式 C11、C12 和 C13 分别为:
$$
C_{11}=(−1)^{1+1}M_{11}=M_{11}
$$
$$
C_{12}=(−1)^{1+2}M_{12}=−M_{12}
$$
$$
C_{13}=(−1)^{1+3}M_{13}=M_{13}
$$
余子式 M11、M12 和 M13分别为:
$$
M_{11} = \begin{vmatrix} a_{22} & a_{23} \\ a_{32} & a_{33} \end{vmatrix} = a_{22}a_{33} - a_{23}a_{32}
$$
$$
M_{12} = \begin{vmatrix} a_{21} & a_{23} \\ a_{31} & a_{33} \end{vmatrix} = a_{21}a_{33} - a_{23}a_{31}
$$
$$
M_{13} = \begin{vmatrix} a_{21} & a_{22} \\ a_{31} & a_{32} \end{vmatrix} = a_{21}a_{32} - a_{22}a_{31}
$$
因此,行列式 det(A) 按第 1 行展开为:
$$
det(A)=a_{11}(a_{22}a_{33}−a_{23}a_{32})−a_{12}(a_{21}a_{33}−a_{23}a_{31})+a_{13}(a_{21}a_{32}−a_{22}a_{31})
$$
通过这种方式,我们可以将一个 n×n 的行列式展开成 n 个 (n−1)×(n−1)的行列式的和,从而简化行列式的计算。
eg5
计算下列行列式
$$
\begin{vmatrix} -1 & 2 & 3 \\ 0 & 2 & 3 \\ 1 & 4 & 9 \end{vmatrix}
$$
按第三行展开(按第一、二行展开同理):
$$
\begin{vmatrix} -1 & 2 & 3 \\ 0 & 2 & 3 \\ 1 & 4 & 9 \end{vmatrix}\dfrac{r3}{} 1\times (-1)^{3+1}M_{31} + 4\times (-1)^{3+2}M_{32} + 9\times (-1)^{3+3}M_{33}\\ =\begin{vmatrix} 2 & 3 \\ 2 & 3 \\ \end{vmatrix} - 4\begin{vmatrix} -1 & 3 \\ 0 & 3 \\ \end{vmatrix}+9\begin{vmatrix} -1 & 2 \\ 0 & 2 \\ \end{vmatrix}=0+12-18=-6
$$
在进行展开计算时:
1.尽可能把某一行化0
2.按0多的行(列)展开
练习:
1.四阶行列式D,第三行元素为-1,2,0,1,对应的余子式为-2,-5,-9,4,求D的值
解:根据行列式拉普拉斯定理按照第三行展开:
$$
D=a_{31}C_{31}+a_{32}C_{32}+a_{33}C_{33}+a_{34}C_{34}\\ =a_{31}(-1)^{3+1}M_{31}+a_{32}(-1)^{3+2}M_{32}+a_{33}(-1)^{3+3}M_{33}+a_{34}(-1^{3+4}M_{34})\\ =(-1)\times(-1)+2\times(-1)\times(-5)+0\times(-9)+1\times(-1)\times4=2+10+0-4=8
$$
2.已知行列式
$$
det(A)=\begin{vmatrix} 3 & 0 & 4 & 0\\ 3 & 2 & 2 & 2\\ 0 & 7 & 0 & 0\\ 5 & 3 & 2 & 2\\ \end{vmatrix}
$$
求:(1)
$$
C_{41}+C_{42}+C_{43}+C_{44}=?
$$
(2)
$$
M_{41}+M_{42}+M_{43}+M_{44}=?
$$
解:(1)将
$$
C_{41}+C_{42}+C_{43}+C_{44} 看作是\\ 1\times C_{41}+1\times C_{42}+1\times C_{43}+1\times C_{44}
$$
则
$$
C_{41}+C_{42}+C_{43}+C_{44}=1\times C_{41}+1\times C_{42}+1\times C_{43}+1\times C_{44}=\begin{vmatrix} 3 & 0 & 4 & 0\\ 3 & 2 & 2 & 2\\ 0 & 7 & 0 & 0\\ 1 & 1 & 1 & 1\\ \end{vmatrix}
$$
然后按照第三行展开:
$$
C_{41}+C_{42}+C_{43}+C_{44}=\begin{vmatrix} 3 & 0 & 4 & 0\\ 3 & 2 & 2 & 2\\ 0 & 7 & 0 & 0\\ 1 & 1 & 1 & 1\\ \end{vmatrix}=7\times (-1)^{3+2}\begin{vmatrix} 3 & 4 & 0\\ 3 & 2 & 2\\ 1 & 1 & 1\\ \end{vmatrix}=(-7)\begin{vmatrix} 3 & 4 & 0\\ 1 & 0 & 0\\ 1 & 1 & 1\\ \end{vmatrix}=7\begin{vmatrix} 1 & 0 & 0\\ 3 & 4 & 0\\ 1 & 1 & 1\\ \end{vmatrix}=28
$$
(2)将余子式转换为代数余子式
$$
C_{41}=(-1)^{4+1}M_{41}=-M_{41}\\ C_{42}=(-1)^{4+2}M_{42}=M_{42}\\ C_{43}=(-1)^{4+3}M_{43}=-M_{43}\\ C_{44}=(-1)^{4+4}M_{44}=M_{44}
$$
所以
$$
M_{41}+M_{42}+M_{43}+M_{44}=-C_{41}+C_{42}-C_{43}+C_{44}
$$
然后按照第一题的思路解题:
$$
M_{41}+M_{42}+M_{43}+M_{44}=-C_{41}+C_{42}-C_{43}+C_{44}=\begin{vmatrix} 3 & 0 & 4 & 0\\ 3 & 2 & 2 & 2\\ 0 & 7 & 0 & 0\\ -1 & 1 & -1 & 1\\ \end{vmatrix}
$$
按照第三行展开:
$$
M_{41}+M_{42}+M_{43}+M_{44}=\begin{vmatrix} 3 & 0 & 4 & 0\\ 3 & 2 & 2 & 2\\ 0 & 7 & 0 & 0\\ -1 & 1 & -1 & 1\\ \end{vmatrix}=7\times (-1)^{3+2}\begin{vmatrix} 3 & 4 & 0\\ 3 & 2 & 2\\ -1 & -1 & 1\\ \end{vmatrix}=(-7)\begin{vmatrix} 3 & 4 & 0\\ 1 & 0 & 4\\ -1 & -1 & 1\\ \end{vmatrix}\\ =7\begin{vmatrix} 1 & 0 & 4\\ 3 & 4 & 0\\ -1 & -1 & 1\\ \end{vmatrix}=7\times (-1)^{1+1}\begin{vmatrix} 4 & 0\\ -1 & 1\\ \end{vmatrix}+28\times (-1)^{1+3}\begin{vmatrix} 3 & 4\\ -1 & -1 \end{vmatrix}=28 + 28=56
$$
7.克莱姆法则(了解)
基本概念
假设有一个由 n 个线性方程组成的n 元线性方程组:
$$
\begin{cases} a_{11}x_1 + a_{12}x_2 + \cdots + a_{1n}x_n = b_1 \\ a_{21}x_1 + a_{22}x_2 + \cdots + a_{2n}x_n = b_2 \\ \vdots \\ a_{n1}x_1 + a_{n2}x_2 + \cdots + a_{nn}x_n = b_n \end{cases}
$$
我们可以将这个方程组写成AX=B,其中:
$$
A = \begin{vmatrix} a_{11} & a_{12} & \cdots & a_{1n} \\ a_{21} & a_{22} & \cdots & a_{2n} \\ \vdots & \vdots & \ddots & \vdots \\ a_{n1} & a_{n2} & \cdots & a_{nn} \end{vmatrix}, \quad X = \begin{vmatrix} x_1 \\ x_2 \\ \vdots \\ x_n \end{vmatrix}, \quad B = \begin{vmatrix} b_1 \\ b_2 \\ \vdots \\ b_n \end{vmatrix}
$$
克莱姆法则
根据克莱姆法则,如果系数矩阵 A 的行列式 det(A)≠0,那么方程组有唯一解,且解 X 的每一个分量 xi可以通过以下公式计算:
$$
x_{i}=\dfrac {det(Ai)}{det(A)}
$$
其中,Ai是将矩阵 A 的第i 列替换为向量 B 后得到的新矩阵。
$$
A_{i} = \begin{vmatrix} a_{11} & \cdots & b_{1} & \cdots & a_{1n} \\ a_{21} & \cdots & b_{2} & \cdots & a_{2n} \\ \vdots & \ddots & b_{i} & \ddots & \vdots \\ a_{n1} & \cdots & b_{n} & \cdots & a_{nn} \end{vmatrix}
$$
注意:克莱姆法则前提:1.方程个数=未知数个数;2.系数行列式det(A)!=0
示例
考虑一个 3×3的线性方程组:
$$
\begin{cases} 2x + 3y - z = 1 \\ 4x - y + 2z = 3 \\ -3x + 2y + 5z = -2 \end{cases}
$$
我们可以将其写成矩阵形式 AX=B:
$$
A = \begin{vmatrix} 2 & 3 & -1 \\ 4 & -1 & 2 \\ -3 & 2 & 5 \end{vmatrix}, \quad X = \begin{vmatrix} x \\ y \\ z \end{vmatrix}, \quad B = \begin{vmatrix} 1 \\ 3 \\ -2 \end{vmatrix}
$$
首先计算系数矩阵 A 的行列式:
$$
det(A) = \begin{vmatrix} 2 & 3 & -1 \\ 4 & -1 & 2 \\ -3 & 2 & 5 \end{vmatrix} = 2(-5 - 4) - 3(20 + 6) - 1(8 + 3) = 2(-9) - 3(26) - 1(11) = -18 - 78 - 11 = -107
$$
由于 det(A)≠0,我们可以使用克莱姆法则求解。
计算 A1、A2和 A3 的行列式:
$$
A_1 = \begin{vmatrix} 1 & 3 & -1 \\ 3 & -1 & 2 \\ -2 & 2 & 5 \end{vmatrix}, \quad A_2 = \begin{vmatrix} 2 & 1 & -1 \\ 4 & 3 & 2 \\ -3 & -2 & 5 \end{vmatrix}, \quad A_3 = \begin{vmatrix} 2 & 3 & 1 \\ 4 & -1 & 3 \\ -3 & 2 & -2 \end{vmatrix}
$$
$$
det(A_1) = \begin{vmatrix} 1 & 3 & -1 \\ 3 & -1 & 2 \\ -2 & 2 & 5 \end{vmatrix} = 1(-5 - 4) - 3(15 + 4) - 1(6 + 2) = 1(-9) - 3(19) - 1(8) = -9 - 57 - 8 = -74
$$
$$
det(A_2) = \begin{vmatrix} 2 & 1 & -1 \\ 4 & 3 & 2 \\ -3 & -2 & 5 \end{vmatrix} = 2(15 + 4) - 1(20 + 6) - 1(8 + 3) = 2(19) - 1(26) - 1(11) = 38 - 26 - 11 = 1
$$
$$
det(A_3) = \begin{vmatrix} 2 & 3 & 1 \\ 4 & -1 & 3 \\ -3 & 2 & -2 \end{vmatrix} = 2(-2 - 6) - 3(-8 - 9) + 1(8 + 3) = 2(-8) - 3(-17) + 1(11) = -16 + 51 + 11 = 46
$$
根据克莱姆法则,解为:
$$
x=\frac{det(A1)}{det(A)}=\frac{−74}{−107}=\frac{74}{107}
$$
$$
y=\frac{det(A2)}{det(A)}=\frac{1}{−107}=-\frac{1}{107}
$$
$$
z=\frac{det(A3)}{det(A)}=\frac{46}{−107}=−\frac{46}{107}
$$
练习:
1.计算方程组的解
$$
\begin{cases} 2x_{1} -x_{2} +x_{3} = 0 \\ 3x_{1} +2x_{2} - 5x_{3} = 1 \\ x_{1} + 3x_{2} -2x_{3} = 4 \end{cases}
$$
解:
$$
det(A)=\begin{vmatrix} 2 & -1 & 1 \\ 3 & 2 & -5 \\ 1 & 3 & -2 \end{vmatrix}=28\neq0,B=\begin{vmatrix} 0 \\ 1\\ 4 \end{vmatrix}
$$
则
$$
det(A_{1})=\begin{vmatrix} 0 & -1 & 1 \\ 1 & 2 & -5 \\ 4 & 3 & -2 \end{vmatrix}=13
$$
$$
det(A_{2})=\begin{vmatrix} 2 & 0 & 1 \\ 3 & 1 & -5 \\ 1 & 4 & -2 \end{vmatrix}=47
$$
$$
det(A_{1})=\begin{vmatrix} 2 & -1 & 0 \\ 3 & 2 & 1 \\ 1 & 3 & 4 \end{vmatrix}=21
$$
得出:
$$
x_{1}=\frac{det(A_{1})}{det(A)}=\frac{13}{28}
$$
$$
x_{2}=\frac{det(A_{2})}{det(A)}=\frac{47}{28}
$$
$$
x_{3}=\frac{det(A_{3})}{det(A)}=\frac{21}{28}=\frac{3}{4}
$$
克莱姆法则在处理小规模、非奇异线性方程组时是一个有用的工具,尤其在理论推导和解析解求解中。然而,对于大规模或数值稳定性要求高的实际问题,通常会选择其他更高效的数值方法,如高斯消元法、LU分解或矩阵求逆等。
4975

被折叠的 条评论
为什么被折叠?



