在本文中,我们聚焦于构建面向指数族分布的有效估计器。具体而言,我们首先对平均剂量规范函数(ADCF)进行 von-Mises 展开,揭示了指数族分布下 plug-in 估计器的一阶偏差项;基于上述理论结果,我们将函数目标化正则化技术推广至指数族情形,构建了相应的神经网络估计器,并给出了其理论收敛速率。
背景
因果推断的关键是实现对目标估计量(例如平均处理效应ATE,Average Treatment Effect)的估计,在标准三大假设(SUTVA、Unconfounderness、Overlap)满足的情况下,目标估计量具有可识别性,因果推断问题自然也就转化为一个统计推断问题。因此,我们关注的是如何实现对目标估计量的有效估计(efficient estimation),即如何构建一个具有最小方差的最优无偏估计器。在半参数理论框架下,已有两类估计器被广泛探索应用:DR(Doubly Robust,双重鲁棒)估计器和TMLE(Targeted Maximum Likelihood Estimation,目标极大似然估计)估计器。DR估计器在原始插入估计器(Plug-in estimator)减去偏差项实现有效估计,而TMLE则是对原始分布进行扰动(在有限样本下,TMLE往往比DR估计器更加稳定)。在TMLE的基础上,Dragonnet[1] 设计了目标正则化(Targeted regularization),将TMLE理论嵌入到了神经网络的损失函数设计中,构建了二元处理变量场景下端到端的基于神经网络的有效估计器,VCNet[2] 则提出了函数目标正则化,将这一框架拓展到了连续处理变量的场景。
然而,虽然上述基于神经网络的有效估计器在实践中取得了显著进展,但是它们局限于高斯分布的结果变量。在业务场景下,我们面临的往往是其他类型的分布。例如在推荐场景下,“是否喜欢”服从的是伯努利分布;在滴滴网约车场景下,“发单量”服从的是泊松分布……因此,我们希望对目标正则化这一技术进行改进,克服其高斯分布假设的局限性,设计一个更加通用的,能够面向指数族分布结果变量的新目标正则化项。
为了实现上述目标,我们需要依次解决以下问题:
- 目标估计量定义:如何在一个统一框架下定义指数族分布的因果效应?我们将在第二节回答这个问题。
- 偏差分析:对于指数族分布,其plug-in估计器的偏差是什么?我们将在第三节回答这个问题。
- 偏差修正:如何修正上述偏差,得到有效估计器(efficient estimator)?我们将在第四节回答这个问题。
本文将对滴滴在这一领域内的研究成果做一个简单介绍,更多内容详见论文[3]。
问题设定
我们使用符号A来表示一维的处理变量,A可以是{0, 1}取值的二元变量,也可以是[0, 1]范围内的连续变量,X表示混淆变量,Y表示结果变量,其服从单参数的指数分散族(EDF,Exponetial Dispersion Family )如下所示:

图片
其中,
![]()
是累积函数(cumulant function),
![]()
是分散参数(dispersion parameter),
![]()
是归一化项,
![]()
是自然/规范参数(natural/canonical parameter,下称自然参数),其可被建模为
![]()
![]()
,
![]()
表示指数族分布中的链接函数(link function),
![]()
表示结果变量的条件期望。
因此,在指数族框架下,参考[4]在自然参数尺度统一定义目标估计量为EDF的平均剂量规范函数(ADCF,Average Dose Canonical Function)。

图片
在标准三大假设(SUTVA、Unconfounderness、Overlap)满足的情况下,上述因果层面的目标估计量可转化为统计层面的目标估计量:

图片
Plug-in估计器及偏差分析
对于指数族分布,其plug-in估计器的整体架构仍然遵循Dragonnet/VCNet,如下图所示:

图片
训练该plug-in估计器的损失函数如下所示,第一项表示EDF的负对数似然,第二项表示广义倾向性得分
![]()
的负对数似然:

图片
当损失函数收敛之后,我们构造plug-in估计器如下:

图片
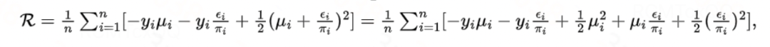
接下来,我们通过推导ADCF的von-Mises展开式,展示该plug-in估计器的偏差所在。

图片
对于von-Mises展开式(5),其第二项是关于nuisance functions的二次项,这意味着它仅由
![]()
与
![]()
之间误差的二阶乘积构成,因此有

。因此,Plug-in估计器的偏差主要取决于第一项所表示的一阶偏差

。
有效估计器的构建
DR估计器
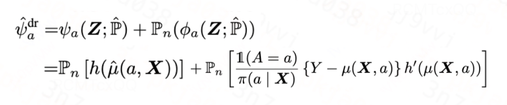
对于plug-in估计器的偏差,一种最直观的思路就是在原估计器基础上,直接将一阶偏差减掉,如此我们便得到了针对指数族分布的DR估计器:

图片
DR估计器建立在
![]()
和
![]()
的基础上,即使两者有一个是不一致,我们也能得到一致估计器(consistent estimator),若两者均一致,那么我们则能得到更快的收敛速率。然而,如[1, 2]中所言,由于DR估计器中倾向性得分出现在分母的位置,这会导致DR估计器在有限样本量下不稳定。
目标正则化
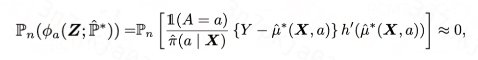
TMLE则是另一种修正plug-in估计器偏差的方法,其通过对原始分布
![]()
进行扰动,使其变成目标分布
![]()
,且满足目标分布
![]()
上的一阶偏差为0,即
![]()
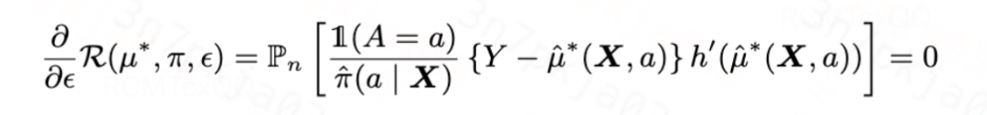
。具体地,我们学习一个新的受扰动的
![]()
,使得其满足

图片
当
![]()
满足上式的时候,我们可以得到新的有效估计器如下:

图片
那么如何将学习
![]()
的过程设计成目标正则化项,并将其融入图1所示的plug-in估计器的损失函数中呢?我们发现,只要令该目标正则化项的导数等于一阶偏差

,那么当训练使得目标正则化项收敛的时候,其导数为0,意味着一阶偏差也为0,即

图片
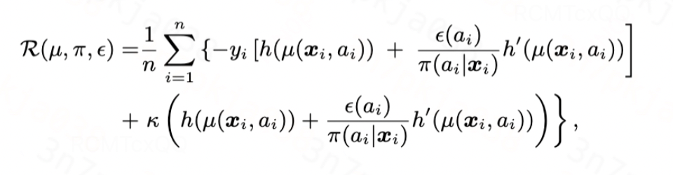
沿着这个思路,我们设计目标正则化项为

图片
综上,基于TMLE理论,我们设计有效估计器的损失函数如下,其中第一项是plug-in估计器的损失函数,第二项是针对指数族分布的目标正则化项:

图片
我们可以在理论上证明,当以下假设满足的时候,我们设计的估计器有良好的收敛性质:

图片
目标正则化的具体例子
上一节已经给出了面向指数族分布的目标正则化项的通用形式。在具体实践中,只需要针对不同的分布,指定不同的累积函数
![]()
、链接函数
![]()
即可。
高斯分布:高斯分布的累积函数为
![]()
,链接函数为恒等函数,代入得到

图片
这和Dragonnet/VCNet中给出的目标正则化项

是等价的。
伯努利分布:伯努利分布的累积函数为

,链接函数为logit函数,代入得到

图片
由于空间限制,此处累积函数不再具体代入。
泊松分布:泊松分布的累积函数为指数函数,链接函数为对数函数,代入得到:

图片
实验
对于高斯分布,我们提出的方法和Dragonnet/VCNet中的目标正则化等价,其有效性已在[1, 2]中得到验证。对于伯努利分布和泊松分布,我们分别在生成数据和半生成数据(News、TCGA)上验证所提出的目标正则化的有效性。
对于二元处理变量,我们使用ATE的
![]()
作为评估指标:

图片
对于连续处理变量,我们使用
![]()
作为评估指标:

此外,该算法也已经在滴滴宏观、微观的多个因果效应估计场景中取得显著效果,被广泛应用在各类因果效应估计模型中。
总结
在本文中,我们聚焦于构建面向指数族分布的有效估计器。具体而言,我们首先对平均剂量规范函数(ADCF)进行 von-Mises 展开,揭示了指数族分布下 plug-in 估计器的一阶偏差项;基于上述理论结果,我们将函数目标化正则化技术推广至指数族情形,构建了相应的神经网络估计器,并给出了其理论收敛速率。实验结果验证了我们理论推导的正确性以及所提模型的有效性。
AI大模型学习福利
作为一名热心肠的互联网老兵,我决定把宝贵的AI知识分享给大家。 至于能学习到多少就看你的学习毅力和能力了 。我已将重要的AI大模型资料包括AI大模型入门学习思维导图、精品AI大模型学习书籍手册、视频教程、实战学习等录播视频免费分享出来。
一、全套AGI大模型学习路线
AI大模型时代的学习之旅:从基础到前沿,掌握人工智能的核心技能!

因篇幅有限,仅展示部分资料,需要点击文章最下方名片即可前往获取
二、640套AI大模型报告合集
这套包含640份报告的合集,涵盖了AI大模型的理论研究、技术实现、行业应用等多个方面。无论您是科研人员、工程师,还是对AI大模型感兴趣的爱好者,这套报告合集都将为您提供宝贵的信息和启示。

因篇幅有限,仅展示部分资料,需要点击文章最下方名片即可前往获
三、AI大模型经典PDF籍
随着人工智能技术的飞速发展,AI大模型已经成为了当今科技领域的一大热点。这些大型预训练模型,如GPT-3、BERT、XLNet等,以其强大的语言理解和生成能力,正在改变我们对人工智能的认识。 那以下这些PDF籍就是非常不错的学习资源。

因篇幅有限,仅展示部分资料,需要点击文章最下方名片即可前往获
四、AI大模型商业化落地方案

因篇幅有限,仅展示部分资料,需要点击文章最下方名片即可前往获
作为普通人,入局大模型时代需要持续学习和实践,不断提高自己的技能和认知水平,同时也需要有责任感和伦理意识,为人工智能的健康发展贡献力量
AI大模型学习福利
作为一名热心肠的互联网老兵,我决定把宝贵的AI知识分享给大家。 至于能学习到多少就看你的学习毅力和能力了 。我已将重要的AI大模型资料包括AI大模型入门学习思维导图、精品AI大模型学习书籍手册、视频教程、实战学习等录播视频免费分享出来。
一、全套AGI大模型学习路线
AI大模型时代的学习之旅:从基础到前沿,掌握人工智能的核心技能!

因篇幅有限,仅展示部分资料,需要点击文章最下方名片即可前往获取
二、640套AI大模型报告合集
这套包含640份报告的合集,涵盖了AI大模型的理论研究、技术实现、行业应用等多个方面。无论您是科研人员、工程师,还是对AI大模型感兴趣的爱好者,这套报告合集都将为您提供宝贵的信息和启示。

因篇幅有限,仅展示部分资料,需要点击文章最下方名片即可前往获
三、AI大模型经典PDF籍
随着人工智能技术的飞速发展,AI大模型已经成为了当今科技领域的一大热点。这些大型预训练模型,如GPT-3、BERT、XLNet等,以其强大的语言理解和生成能力,正在改变我们对人工智能的认识。 那以下这些PDF籍就是非常不错的学习资源。

因篇幅有限,仅展示部分资料,需要点击文章最下方名片即可前往获
四、AI大模型商业化落地方案

因篇幅有限,仅展示部分资料,需要点击文章最下方名片即可前往获
作为普通人,入局大模型时代需要持续学习和实践,不断提高自己的技能和认知水平,同时也需要有责任感和伦理意识,为人工智能的健康发展贡献力量
781

被折叠的 条评论
为什么被折叠?



