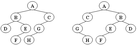
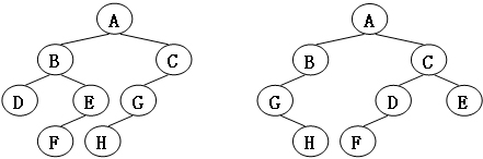
给定两棵树 T1 和 T2。如果 T1 可以通过若干次左右孩子互换就变成 T2,则我们称两棵树是“同构”的。例如图1给出的两棵树就是同构的,因为我们把其中一棵树的结点A、B、G的左右孩子互换后,就得到另外一棵树。而图2就不是同构的。
|
|
|---|
| 图1 |
|
|
| 图2 |
现给定两棵树,请你判断它们是否是同构的。
输入格式:
输入给出2棵二叉树的信息。对于每棵树,首先在一行中给出一个非负整数 n (≤10),即该树的结点数(此时假设结点从 0 到 n−1 编号);随后 n 行,第 i 行对应编号第 i 个结点,给出该结点中存储的 1 个英文大写字母、其左孩子结点的编号、右孩子结点的编号。如果孩子结点为空,则在相应位置上给出 “-”。给出的数据间用一个空格分隔。注意:题目保证每个结点中存储的字母是不同的。
输出格式:
如果两棵树是同构的,输出“Yes”,否则输出“No”。
输入样例1(对应图1):
8
A 1 2
B 3 4
C 5 -
D - -
E 6 -
G 7 -
F - -
H - -
8
G - 4
B 7 6
F - -
A 5 1
H - -
C 0 -
D - -
E 2 -
输出样例1:
Yes
输入样例2(对应图2):
8
B 5 7
F - -
A 0 3
C 6 -
H - -
D - -
G 4 -
E 1 -
8
D 6 -
B 5 -
E - -
H - -
C 0 2
G - 3
F - -
A 1 4
输出样例2:
No
AC代码:
#include <iostream>
#include <string>
#include <unordered_map>
using namespace std;
typedef pair<char,char> PII;
struct Node
{
char value;
int l,r;
}node[15];
int main()
{
unordered_map<char,PII> ma1;
unordered_map<char,PII> ma2;
int n;
cin >>n;
for(int i=0;i<n;i++)
{
char c,a,b;
cin >>c>>a>>b;
node[i].value = c;
if(a == '-') node[i].l = -1;
else node[i].l = a - '0';
if(b == '-') node[i].r = -1;
else node[i].r = b - '0';
}
for(int i=0;i<n;i++)
{
if(node[i].l>=0)
{
ma1[node[i].value].first = node[node[i].l].value;
}
else ma1[node[i].value].first = '-';
if(node[i].r>=0)
{
ma1[node[i].value].second = node[node[i].r].value;
}
else ma1[node[i].value].second = '-';
}
int m;
cin >>m;
for(int i=0;i<n;i++)
{
char c,a,b;
cin >>c>>a>>b;
node[i].value = c;
if(a == '-') node[i].l = -1;
else node[i].l = a - '0';
if(b == '-') node[i].r = -1;
else node[i].r = b - '0';
}
for(int i=0;i<n;i++)
{
if(node[i].l>=0)
{
ma2[node[i].value].first = node[node[i].l].value;
}
else ma2[node[i].value].first = '-';
if(node[i].r>=0)
{
ma2[node[i].value].second = node[node[i].r].value;
}
else ma2[node[i].value].second = '-';
}
for(int i=0;i<n;i++)
{
if((ma1[node[i].value].first == ma2[node[i].value].second &&ma1[node[i].value].second == ma2[node[i].value].first) ||
(ma1[node[i].value].first == ma2[node[i].value].first && ma1[node[i].value].second == ma2[node[i].value].second))
continue;
else
{
cout <<"No"<<endl;
return 0;
}
}
cout <<"Yes"<<endl;
return 0;
}
非递归做法


446

被折叠的 条评论
为什么被折叠?



