例子引入
:比如你需要查找某个单词,大数据会将查找频率高(此处查找频率对应权值Wi)的单词优先展示,放在根节点位置,使用户能用更少的检索快速查到单词
最优二叉树问题
以下为最优二叉树问题的输入输出

假设有两个结点1,2。对应权值为W1W2,那么,有两种排序方式,如下图,计算公式为:该结点权值×(结点深度+1)。然后取两种情况中的较小值,便是我们要求的数。

再举一个例子,以下为n=3的求解,可以发现,当n越大时我们要列举的可能性越来越多,那么,怎么样才能更快速地找到最优二叉树的排列情况呢?

我们发现,贪心算法并不可靠,寻找不出最优情况,因而,应该采用动态规划思想

动态规划求解思路
以下为运用动态规划思想求解的相关思路: (绿色 标记部分为我们dp【1,2】最终需要的解)

将公式总结整理,可得到:

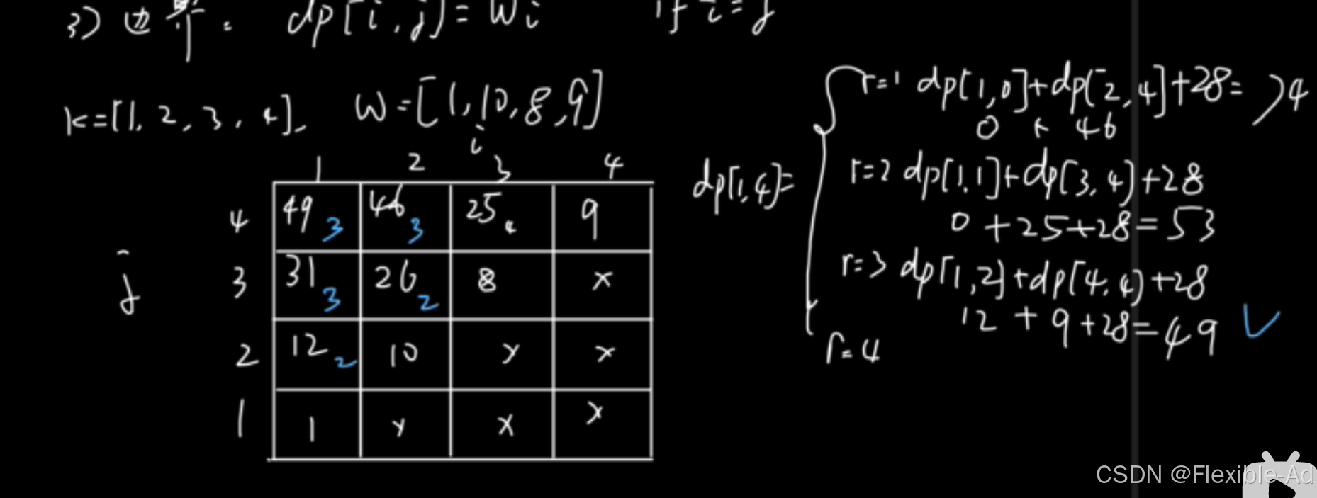
现在来构建相关表格,i表示起始结点序号,j表示终止结点序号
由于i<j,所以i>j处都打×(在算法里就是相当于把他们都标记为0),当i=j时,最小求值就为它本身,先将以上两种情况填入表格

我们再来填一填其他的,举个例子,求出d【1,2】的最小值,可知,当根节点为2的时候能得到最小值,在表格内记录下最小值与该最小值的根节点的位置

将其他结点按照以上方法填入表格后,我们来看看最后一个结点,也就是我们要找的整棵树的排序方式,是怎么计算出来的呢

由表格,我们画出对应的树

代码实现
def optimal_bst(k,w):
#创建一个二维数组,大小为n+1*n+1,最后一行一列是为了防止,当root=j时,
# root+1形成溢出设置的
n=len(k)
#现将所有结点置为0
arr=[[0]*(n+1) for i in range(n+1)]
#当i=j时,将结点值等于权值w
for i in range(n):
arr[i][i]=w[i]
for length in range(2,n+1):#树的长度2~n
for i in range(n-length+1):#i的起始位置为0~n-length
j=i+length-1
#初始化为最大值,方便最小值的查找
arr[i][j]=float('inf')
sumw=sum(w[i:j+1])#规则是包含了i到j的总和
#划分出了不同规模的树,从i-j
#寻找最优的根节点,范围为第i个数到第j个数
for root in range(i,j+1):
sumAll=arr[i][root-1]+arr[root+1][j]+sumw
if sumAll<arr[i][j]:
arr[i][j]=sumAll
return arr[0][n-1]
ki = [1, 2, 3,4]
wi = [1,10,8,9]
result = optimal_bst(ki, wi)
print("最优二叉搜索树的最小成本:", result)
外层循环 for length in range(2, n + 1):控制子树的长度(节点数量)。从长度为 2 开始,逐步增加到 n(即整个关键字序列构成的树),因为长度为 1 的情况已经在前面单独处理过了。
中层循环 for i in range(n - length + 1):对于每个子树长度 length,确定子树的起始索引 i。通过 n - length + 1 可以确保在关键字序列范围内遍历所有可能的子树起始位置。例如,当 length 为 2 时,i 可以从 0 到 n - 1;当 length 为 3 时,i 可以从 0 到 n - 2,以此类推。
内层循环 for root in range(i, j + 1):对于每个确定的子树范围(由 i 和 j 确定,其中 j = i + length - 1),尝试不同的根节点 root。这里的 root 从 i 到 j 遍历,即遍历子树范围内的每个关键字作为可能的根节点。
b站相关视频
Ch9.8
3525

被折叠的 条评论
为什么被折叠?



